
中文名称:二苯基环辛炔-聚乙二醇-二苯基环辛炔
英文名称:DBCO-PEG-DBCO
分子量:1k,2k,3.4k,5k,10k,20k(可按需定制)
质量控制:95%+
存储条件:-20°C,避光,避湿
用 途:仅供科研实验使用,不用于诊治
外 观:粘稠液体或者固体粉末,取决于分子量
注意事项:取用一定要干燥,避免频繁的溶解和冻干
溶解性:溶于大部分有机溶剂,如:DCM、DMF、DMSO、THF等等。在水中有很好的溶解性
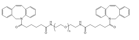
结构式:

二苯并环辛炔基(DBCO)与含有叠氮基(N3)的分子反应在无铜点击化学中。DBCO对叠氮化物具有非常高的反应选择性,可用于修饰生物分子,包括肽、蛋白质、酶、活细胞、整个生物体等。在生理温度和pH值范围内,DBCO基团不与胺或羟基反应,DBCO也与叠氮化物基团发生反应DBCO也被称为ADIBO(=氮杂二苯并环辛炔)或DIBAC(=二苯并氮杂环辛炔)。
不同分子量的PEG衍生物,小分子PEG的循环节可以做到1-36个,高分子PEG分子量从1000-40000不等,可以修饰的基团有:氨基类,NHBOC类,Fmoc类,羧酸类,Mal类,NHS类,叠氮类,DBCO类,Cy3/Cy5/Cy7类,THP类,苄基类,丙炔基类,溴代类,丙酸叔丁酯类,乙酸叔丁酯类,甲基类,生物素类,五氟苯酚类,磺酸酯类,巯基类,产品纯度高达98%以上。
相关推荐:
DBCO-PEG-Biotin,MW:2000
DBCO-PEG-Biotin,MW:3400
DBCO-PEG-Biotin,MW:5000
DBCO-PEG-Biotin,MW:10000
DBCO-PEG-COOH,MW:2000
DBCO-PEG-COOH,MW:3400
DBCO-PEG-COOH,MW:5000
DBCO-PEG-COOH,MW:10000
DBCO-PEG-Folate,MW:2000
DBCO-PEG-Folate,MW:3400
DBCO-PEG-Folate,MW:5000
以上资料由陕西新研博美生物科技有限公司小编提供~~
最后
以上就是心灵美大炮最近收集整理的关于DBCO-PEG-DBCO 在水中有很好的溶解性,取用一定要干燥的全部内容,更多相关DBCO-PEG-DBCO内容请搜索靠谱客的其他文章。
发表评论 取消回复