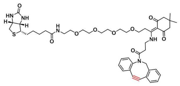
英文名称:Dde Biotin-PEG4-DBCO
分子式:C47H61N5O9S
分子量:872.1
CAS:1807512-43-1
纯度:≥95%
结构式:

用 途:仅供科研实验使用,不用于诊治
外 观:粘稠液体或者固体粉末,取决于分子量
注意事项:取用一定要干燥,避免频繁的溶解和冻干
溶解性:溶于大部分有机溶剂,如:DCM、DMF、DMSO、THF等等。在水中有很好的溶解性。
产品简介:Dde生物素-PEG4-DBCO是一种可切割的生物素试剂,通过无铜点击化学与叠氮化物部分反应。Dde保护组允许在温和的联氨条件下从链霉亲和素中有效释放捕获的生物素化分子。
其他产品列表:
Dde Biotin-PEG4-azide
Dde Biotin-PEG4-DBCO
PC DBCO-PEG3-Biotin
TAMRA-azide-PEG3-Biotin
endo-BCN-PEG3-Biotin
DBCO-PEG3-amine
DBCO-PEG3-F
DBCO-PEG3-OH
DBCO-PEG3-Gly
DBCO-PEG3-OTs
DBCO-PEG3400-Acid
DBCO-PEG3400-Thiol
DBCO-PEG3400-hydrazide
DBCO-PEG3400-Amine
DBCO-PEG3400-Aminooxy
DBCO-PEG3-Maleimide
DBCO-PEG3-NHS ester
以上信息均由陕西新研博美生物科技有限公司提供技术支持
最后
以上就是慈祥小土豆最近收集整理的关于1807512-43-1,Dde Biotin-PEG4-DBCO可切割的生物素试剂的全部内容,更多相关1807512-43-1,Dde内容请搜索靠谱客的其他文章。
本图文内容来源于网友提供,作为学习参考使用,或来自网络收集整理,版权属于原作者所有。
发表评论 取消回复