DBCO聚乙二醇荧光素,DBCO-PEG-FITC基本信息:
中文名称:二苯并环辛烯聚乙二醇荧光素
英文名称:DBCO-PEG-FITC
CAS:-
分子量:400、600、1K、2K、3.4K、4K、5K、10K
纯度:95%以上
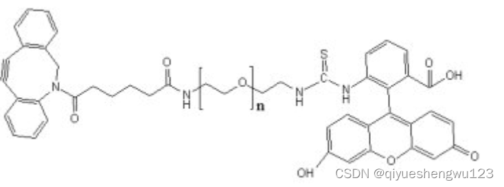
结构式:

物理性质:
状态:淡黄色到黄色固体,或者半固体,取决于分子量。
溶解性:溶于DMSO,DMF等溶剂。
保持条件:-20℃长期保存,避光,干燥。
注意事项:取用一定要干燥,避免频繁的溶解和冻干。
反应性:DBCO于含有N3基团的反应。
应用简介:
DBCO(二苯并环辛炔)是一种环炔,可在水溶液中通过应变促进的1,3-偶极环加成与叠氮化合物反应,这是一种生物正交反应,也称为无铜点击反应。该反应具有选择性和生物相容性,使得互补试剂可以与功能生物系统形成共价键。无铜点击反应是无催化剂生物结合的有力工具。DBCO试剂在水性缓冲液中具有快速动力学和稳定性,可用于标记叠氮化物修饰的生物分子,具有较高的特异性和反应性。
无铜点击反应程序:
在反应缓冲液中制备含叠氮化物的样品。将DBCO共轭物添加到含叠氮化物的样品中。建议:在1.5-3.0摩尔当量的最高丰度试剂中添加1摩尔当量的限制试剂。将反应在室温下在4摄氏度下孵育2-4小时或2-12小时。反应现在准备好进行纯化。
相关产品:
DBCO-PEG-FITC 二苯并环辛炔-聚乙二醇-异硫氰基荧光素
DBCO-PEG-CY3 二苯并环辛炔-聚乙二醇-菁染料CY3
DBCO-PEG-CY5 二苯并环辛炔-聚乙二醇-菁染料CY5
DBCO-PEG-CY5.5 二苯并环辛炔-聚乙二醇-菁染料CY5.5
DBCO-PEG-CY7 二苯并环辛炔-聚乙二醇-菁染料CY7
DBCO-PEG-CY7.5 二苯并环辛炔-聚乙二醇-菁染料CY7.5
DBCO-PEG-Rhodamine B 二苯并环辛炔-聚乙二醇-罗丹明B
DBCO-PEG-Indocyanine green 二苯并环辛炔-聚乙二醇-吲哚菁绿
DBCO-PEG-Comarin 二苯并环辛炔-聚乙二醇-香豆素
DBCO-PEG-NIR-II dyes 二苯并环辛炔-聚乙二醇-近红外二区染料
QY小编zyl2022.9.19
最后
以上就是迷你电话最近收集整理的关于点击化学DBCO、TCO、N3功能化修饰FITC异硫氰基荧光素的全部内容,更多相关点击化学DBCO、TCO、N3功能化修饰FITC异硫氰基荧光素内容请搜索靠谱客的其他文章。
发表评论 取消回复