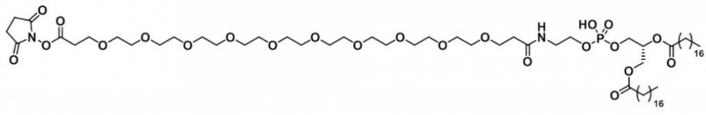
英文名称:DSPE-PEG10-NHS ester
分子式:C69H129N2O23P
分子量:1385.76
储存条件:-20°C
纯度:95%
结构式:

其他产品列表:
Bis-PEG10-NHS ester
CAS号:2221949-02-4
分子式:C32H52N2O18
Iodoacetyl-PEG4-NHS ester
CAS号:2517899-65-7
分子式:C17H27IN2O9
Bromo-PEG2-NHS ester
CAS号:2148295-96-7
分子式:C11H16BrNO6
Aeide-C1-NHS ester
CAS号:824426-32-6
分子式:C6H6N4O4
Bromo-PEG4-NHS ester
CAS号:2148295-98-9
分子式:C15H24BrNO8
Bis-PEG3-NHS ester
CAS号:1314378-16-9
分子式:C18H24N2O11
TAMRA-PEG4-NHS ester
CAS号:2171068-83-8
分子式:C40H46N4O12
m-PEG12-NHS ester
CAS号:756525-94-7
分子式:C30H55NO16
BODIPY TMR NHS Ester
CAS号:485397-12-4
分子式:C25H24BF2N3O5
Bis-PEG5-NHS ester
CAS号:756526-03-1
分子式:C22H32N2O13
Paclitaxel succinate NHS ester
CAS号:245110-80-9
分子式:C55H58N2O19
borondipyrromethene TR NHS ester
CAS号:150152-65-1
分子式:C25H18BF2N3O5S
N3-C4-NHS ester
CAS号:478801-48-8
分子式:C9H12N4O4
Azido-PEG12-NHS ester
CAS号:1108750-59-9
分子式:C31H56N4O16
Bis-PEG11-NHS ester
CAS号:123502-57-8
分子式:C34H56N2O19
Methyltetrazine-PEG5-NHS ester
CAS号:1802907-92-1
分子式:C24H31N5O9
Methyltetrazine-PEG8-NHS ester
CAS号:2183440-34-6
分子式:C32H47N5O13
Mal-C2-NHS ester
CAS号:103750-03-4
分子式:C13H14N2O6
Methyltetrazine-Sulfo-NHS ester sodium
CAS号:1821017-46-2
分子式:C15H12N5NaO7S
m-PEG12-NHS ester
CAS号:2207596-93-6
分子式:C30H55NO16
m-PEG24-NHS ester
CAS号:2395839-96-8
分子式:C54H103NO28
Fmoc-PEG12-NHS ester
CAS号:2227246-92-4
分子式:C46H68N2O18
以上信息均由陕西新研博美生物科技有限公司提供技术支持
最后
以上就是沉默朋友最近收集整理的关于DSPE-PEG10-NHS ester,科研中常见的功能性多肽的peg的全部内容,更多相关DSPE-PEG10-NHS内容请搜索靠谱客的其他文章。
发表评论 取消回复