题目描述
输入两个链表,找出它们的第一个公共结点。(注意因为传入数据是链表,所以错误测试数据的提示是用其他方式显示的,保证传入数据是正确的)
方法:双指针法
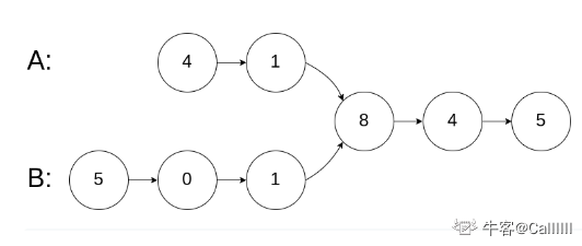
假如例子如下:

显然第一个公共结点为8,但是链表A头结点到8的长度为2,链表B头结点到8的长度为3,显然不好办?
如果我们能够制造一种理想情况,如下:

这里先假设链表A头结点与结点8的长度 与 链表B头结点与结点8的长度相等,那么就可以用双指针。
- 初始化:指针
ta指向链表A头结点,指针tb指向链表B头结点 - 如果
ta == tb, 说明找到了第一个公共的头结点,直接返回即可。 - 否则,
ta != tb,则++ta,++tb
所以现在的问题就变成,如何让本来长度不相等的变为相等的?
假设链表A长度为a, 链表B的长度为b,此时a != b
但是,a+b == b+a
因此,可以让a+b作为链表A的新长度,b+a作为链表B的新长度。
如图:

这样,长度就一致了,可以用上述的双指针解法了。
代码
class Solution {
public:
ListNode* FindFirstCommonNode( ListNode* pHead1, ListNode* pHead2) {
ListNode* p1 = pHead1;
ListNode* p2 = pHead2;
while(p1 != p2)
{
p1 = (p1 == NULL)? pHead2 : p1->next;
p2 = (p2 == NULL)? pHead1 : p2->next;
}
return p1;
}
};
最后
以上就是年轻大碗最近收集整理的关于剑指offer-36 -- 两个链表的第一个公共结点 - C++的全部内容,更多相关剑指offer-36内容请搜索靠谱客的其他文章。
本图文内容来源于网友提供,作为学习参考使用,或来自网络收集整理,版权属于原作者所有。
发表评论 取消回复