线性回归pytorch框架实现
- 线性回归的简洁实现
- 生成数据集
- 读取数据
- 定义模型
- 初始化模型参数
- 定义损失函数
- 定义优化算法
- 训练模型
- 小结
- 完整代码:
线性回归的简洁实现
随着深度学习框架的发展,开发深度学习应用变得越来越便利。实践中,我们通常可以用比上一节更简洁的代码来实现同样的模型。在本节中,我们将介绍如何使用PyTorch更方便地实现线性回归的训练。
强烈建议和上一节无框架实现进行对比,比起读框架的源代码,能够直观地认识pytorch框架的功能。
生成数据集
该部分和上一节一样。其中features是训练数据特征,labels是标签。
#生成数据集以及计算grand-truth,和之前一样
num_inputs=2 #要训练的权重个数(面积和房龄两个特征(影响放假的因素)的权重)
num_examples=1000 #样本数量
true_w=[2,-4]
true_b=4.2
features=torch.randn(num_examples,num_inputs,dtype=torch.float32) #代表X矩阵
labels=torch.mm(features,torch.Tensor(true_w).view(-1,1)) #mm为矩阵相乘,此处为1000*2的矩阵乘以2*1的矩阵,mul为点乘
labels+=torch.tensor(np.random.normal(0, 0.01, size=labels.size()),dtype=torch.float32) #加均值为0,方差为1的随机噪声项
读取数据
PyTorch提供了data包来读取数据。由于data常用作变量名,我们将导入的data模块用Data代替。在每一次迭代中,我们将随机读取包含10个数据样本的小批量。
import torch.utils.data as Data
batch_size = 10
# 将训练数据的特征和标签组合
dataset = Data.TensorDataset(features, labels)
# 随机读取小批量
data_iter = Data.DataLoader(dataset, batch_size, shuffle=True)
这里data_iter的使用跟上一节中的一样。让我们读取并打印第一个小批量数据样本。
for X, y in data_iter:
print(X, y)
break
输出:
tensor([[-2.7723, -0.6627],
[-1.1058, 0.7688],
[ 0.4901, -1.2260],
[-0.7227, -0.2664],
[-0.3390, 0.1162],
[ 1.6705, -2.7930],
[ 0.2576, -0.2928],
[ 2.0475, -2.7440],
[ 1.0685, 1.1920],
[ 1.0996, 0.5106]])
tensor([ 0.9066, -0.6247, 9.3383, 3.6537, 3.1283, 17.0213, 5.6953, 17.6279,
2.2809, 4.6661])
定义模型
在上一节从零开始的实现中,我们需要定义模型参数,并使用它们一步步描述模型是怎样计算的。当模型结构变得更复杂时,这些步骤将变得更繁琐。其实,PyTorch提供了大量预定义的层,这使我们只需关注使用哪些层来构造模型。下面将介绍如何使用PyTorch更简洁地定义线性回归。
首先,导入torch.nn模块。实际上,“nn”是neural networks(神经网络)的缩写。顾名思义,该模块定义了大量神经网络的层。之前我们已经用过了autograd,而nn就是利用autograd来定义模型。nn的核心数据结构是Module,它是一个抽象概念,既可以表示神经网络中的某个层(layer),也可以表示一个包含很多层的神经网络。在实际使用中,最常见的做法是继承nn.Module,撰写自己的网络/层。一个nn.Module实例应该包含一些层以及返回输出的前向传播(forward)方法。下面先来看看如何用nn.Module实现一个线性回归模型。
class LinearNet(nn.Module):
def __init__(self, n_feature):
super().__init__()
self.linear = nn.Linear(n_feature, 1)
# forward 定义前向传播
def forward(self, x):
y = self.linear(x)
return y
net = LinearNet(num_inputs)
print(net) # 使用print可以打印出网络的结构
输出:
LinearNet(
(linear): Linear(in_features=2, out_features=1, bias=True)
)
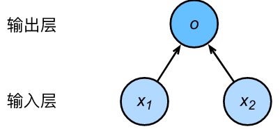
理解下nn.Linear(2,1),如下图,2代表输入层的2个结点,1代表输出层的1个结点。由此可见,参数(权重)个数等于2*1=2个。

图中线性回归在神经网络图中的表示。作为一个单层神经网络,线性回归输出层中的神经元和输入层中各个输入完全连接。因此,线性回归的输出层又叫全连接层。
注意:
torch.nn仅支持输入一个batch的样本不支持单个样本输入,如果只有单个样本,可使用input.unsqueeze(0)来添加一维。
可以通过net.parameters()来查看模型所有的可学习参数,此函数将返回一个生成器。
for param in net.parameters():
print(param)
输出:
Parameter containing:
tensor([[-0.0277, 0.2771]], requires_grad=True)
Parameter containing:
tensor([0.3395], requires_grad=True)
权重参数为w和b,分别对应这上面w和b的矩阵形状。
事实上我们还可以用nn.Sequential来更加方便地搭建网络,Sequential是一个有序的容器,网络层将按照在传入Sequential的顺序依次被添加到计算图中。
# 写法一
net = nn.Sequential(
nn.Linear(num_inputs, 1)
# 此处还可以传入其他层
)
# 写法二
net = nn.Sequential()
net.add_module('linear', nn.Linear(num_inputs, 1))
# net.add_module ......
# 写法三
from collections import OrderedDict
net = nn.Sequential(OrderedDict([
('linear', nn.Linear(num_inputs, 1))
# ......
]))
print(net)
print(net[0])
输出:
Sequential(
(linear): Linear(in_features=2, out_features=1, bias=True)
)
Linear(in_features=2, out_features=1, bias=True)
初始化模型参数
在使用net前,我们需要初始化模型参数,如线性回归模型中的权重和偏差。PyTorch在init模块中提供了多种参数初始化方法。这里的init是initializer的缩写形式。我们通过init.normal_将权重参数每个元素初始化为随机采样于均值为0、标准差为0.01的正态分布。偏差会初始化为零。
from torch.nn import init
init.normal_(net[0].weight, mean=0, std=0.01)
init.constant_(net[0].bias, val=0) # 也可以直接修改bias的data: net[0].bias.data.fill_(0)
注:如果这里的
net是用上面的代码自定义的,那么上面代码会报错,net[0].weight应改为net.linear.weight,bias亦然。因为net[0]这样根据下标访问子模块的写法只有当net是个ModuleList或者Sequential实例时才可以。
定义损失函数
PyTorch在nn模块中提供了各种损失函数,这些损失函数可看作是一种特殊的层,PyTorch也将这些损失函数实现为nn.Module的子类。我们现在使用它提供的均方误差损失作为模型的损失函数。
loss = nn.MSELoss()
定义优化算法
同样,我们也无须自己实现小批量随机梯度下降算法。torch.optim模块提供了很多常用的优化算法比如SGD、Adam和RMSProp等。下面我们创建一个用于优化net所有参数的优化器实例,并指定学习率为0.03的小批量随机梯度下降(SGD)为优化算法。
import torch.optim as optim
optimizer = optim.SGD(net.parameters(), lr=0.03)
print(optimizer)
输出:
SGD (
Parameter Group 0
dampening: 0
lr: 0.03
momentum: 0
nesterov: False
weight_decay: 0
)
我们还可以为不同子网络设置不同的学习率,这在finetune时经常用到。例:
optimizer =optim.SGD([
# 如果对某个参数不指定学习率,就使用最外层的默认学习率
{'params': net.subnet1.parameters()}, # lr=0.03
{'params': net.subnet2.parameters(), 'lr': 0.01}
], lr=0.03)
这里会报bug,因为本例没有子网络
有时候我们不想让学习率固定成一个常数,那如何调整学习率呢?主要有两种做法。一种是修改optimizer.param_groups中对应的学习率,另一种是更简单也是较为推荐的做法——新建优化器,由于optimizer十分轻量级,构建开销很小,故而可以构建新的optimizer。但是后者对于使用动量的优化器(如Adam),会丢失动量等状态信息,可能会造成损失函数的收敛出现震荡等情况。
# 调整学习率
for param_group in optimizer.param_groups:
param_group['lr'] *= 0.1 # 学习率为之前的0.1倍
如有不懂可参考pytorch中文文档
训练模型
在训练模型时,我们通过调用optim实例的step函数来迭代模型参数。按照小批量随机梯度下降的定义,我们在step函数中指明批量大小,从而对批量中样本梯度求平均。
num_epochs=5
for epoch in range(num_epochs):
for X,y in data_iter:
output=net(X)
l=loss(output,y.view(-1,1))
optimizer.zero_grad() #梯度清零,等价于net.zero_grad()
l.backward()
optimizer.step()
print('epoch %d, loss: %f' % (epoch+1, l.item()))
输出:
epoch 1, loss: 5.381509
epoch 2, loss: 1.179612
epoch 3, loss: 0.390883
epoch 4, loss: 0.268623
epoch 5, loss: 0.036446
下面我们分别比较学到的模型参数和真实的模型参数。我们从net获得需要的层,并访问其权重(weight)和偏差(bias)。学到的参数和真实的参数很接近。
dense = net[0]
print(true_w, dense.weight)
print(true_b, dense.bias)
#如果出错就用下面的代码,原因见上面初始化参数
print(true_w, net.linear.weight)
print(true_b, net.linear.bias)
输出:
[2, -3.4] tensor([[ 1.9999, -3.4005]])
4.2 tensor([4.2011])
小结
- 使用PyTorch可以更简洁地实现模型。
torch.utils.data模块提供了有关数据处理的工具,torch.nn模块定义了大量神经网络的层,torch.nn.init模块定义了各种初始化方法,torch.optim模块提供了很多常用的优化算法。
注:本节除了代码之外与原书基本相同,原书传送门
完整代码:
#使用框架简洁实现线性回归案例
import torch
import numpy as np
import torch.utils.data as Data
import torch.nn as nn
import torch.optim as optim
from torch.nn import init #初始化参数
#生成数据集以及计算grand-truth,和之前一样
num_inputs=2 #要训练的权重个数(面积和房龄两个特征(影响放假的因素)的权重)
num_examples=1000 #样本数量
true_w=[2,-4]
true_b=4.2
features=torch.randn(num_examples,num_inputs,dtype=torch.float32) #代表X矩阵
labels=torch.mm(features,torch.Tensor(true_w).view(-1,1)) #mm为矩阵相乘,此处为1000*2的矩阵乘以2*1的矩阵,mul为点乘
labels+=torch.tensor(np.random.normal(0, 0.01, size=labels.size()),dtype=torch.float32) #加均值为0,方差为1的随机噪声项
#读取数据
batch_size = 10
dataset = Data.TensorDataset(features, labels)# 将训练数据的特征和标签组合
data_iter = Data.DataLoader(dataset, batch_size, shuffle=True) # 随机读取小批量,此处的data_iter和上一节生成的data_iter是一样的
#定义模型(模型就是一层网络)
class LinearNet(nn.Module):
def __init__(self,n_feature):
super().__init__()
self.linear=nn.Linear(n_feature,1) #表示n_feature个神经元经过乘权重加权求和,得到一个输出
#前馈传播
def forward(self,x):
y=self.linear(x)
return y
#实例化模型
net=LinearNet(num_inputs)
#print(net) 打印其网络结构
#初始化模型参数
init.normal_(net.linear.weight, mean=0, std=0.01) #均值为0,标准差为0.01的随机分布
init.constant_(net.linear.bias, val=0) # 也可以直接修改bias的data: net[0].bias.data.fill_(0)
#查看模型参数
for param in net.parameters():
print(param)
#定义损失函数,均方误差
loss=nn.MSELoss()
#定义优化算法
optimizer=optim.SGD(net.parameters(),lr=0.03)
#print(optimizer)
# 调整学习率
for param_group in optimizer.param_groups:
param_group['lr'] *= 0.1 # 学习率为之前的0.1倍
#训练模型
num_epochs=5
for epoch in range(num_epochs):
for X,y in data_iter:
output=net(X)
l=loss(output,y.view(-1,1))
optimizer.zero_grad() #梯度清零,等价于net.zero_grad()
l.backward()
optimizer.step()
print('epoch %d, loss: %f' % (epoch+1, l.item()))
print(true_w, net.linear.weight)
print(true_b, net.linear.bias)
最后
以上就是大胆猫咪最近收集整理的关于深度学习pytorch--线性回归(三)线性回归的简洁实现的全部内容,更多相关深度学习pytorch--线性回归(三)线性回归内容请搜索靠谱客的其他文章。
发表评论 取消回复