神经网络
神经元模型
神经网络是由具有适应性的简单单元组成的广泛并行互连的网络,它的组织能够模拟生物神经系统对真实世界物体所作出的交互反应
神经网络中最基本的成分是神经元模型,即“简单单元”,在生物神经网络中,每个神经元与其他神经元相连,当它“兴奋”时,就会向相连的神经元发送化学物质,从而改变这些神经元内的电位;如果某神经元的电位超过一个“阈值”,那么它就会被激活,即“兴奋” 起来,向其他神经元发送化学物质。

激活函数
理想激活函数是阶跃函数,0 表示抑制神经元而1表示激活神经元
阶跃函数具有不连续、不光滑等不好的性质,常用的是Sigmoid函数

Sigmoid函数可能在较大范围内变化的输入值挤压到(0,1)输出值范围内,因此有时也称为”挤压函数”
把这样许多个神经元按一定的层次结构连接起来,就得到了神经网络。
感知机与多层网络
感知机有两层神经元组成

感知机只有输出层神经元进行激活函数处理,即只拥有一层功能神经元。

要解决非线性可分问题,需要考虑使用多层功能神经元

多层前馈网络结构
多层网络:包含隐层的网络
前馈网络:神经元之间不存在同层连接也不存在跨层连接
隐层和输出层神经元亦称“功能单元”
多层前馈网络有强大的表示能力 只需一个包含足够多神经元的隐层,多层前馈神经网络就能以任意精度逼近任意复杂度的连续函数
设置隐层神经元数,通常用“试错法”
误差逆传播算法
BP神经网络
它是迄今为止最成功的神经网络学习算法,显示任务中使用神经网络时,大多在使用BP算法进行训练
BP算法不仅可用于多层前馈神经网络,还可用于其他类型的神经网络

输入:d维特征向量
输出:l个输出值
隐层:假定使用q个隐层神经元
假定功能单元均使用Sigmoid函数

- 主要特点
信号是前向传播的,而误差是反向传播的。
主要过程
信号的前向传播,从输入层经过隐含层,最后到达输出层
误差的反向传播,从输出层到隐含层,最后到输入层,依次调节隐含层到输出层的权重和偏置,输入层到隐含层的权重和偏置
流程
网络的初始化
g(x)=11+e−x
隐含层的输出
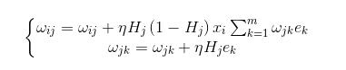
Hj=g(∑ni=1ωijxi+aj)
输出层的输出
Ok=∑lj=1Hjωjk+bk
误差的计算
取误差公式为
E=12∑mk=1(Yk−Ok)2
其中 Yk 为期望输出,我们计 Yk−Ok=ek ,则E可以表示为
E=12∑mk=1e2k
权值的更新

标准BP算法 与 累计BP算法
- 标准BP算法
- 每次针对单个训练样例更新权值与阈值
- 参数更新频繁,不同样例可以抵消,需要多次迭代
- 累计BP算法
- 其优化目标是最小化整个训练集上的累计误差
- 读取整个训练集一遍才对参数进行更新,参数更新频率较低
在很多任务中,累计误差下降到一定程度后,进一步下降会非常缓慢,这是标准BP算法往往会获得较好的解,尤其当训练集非常大时效果更明显。
缓解过拟合
主要策略
早停
若训练误差连续a轮的变化小于b,则停止训练
使用验证集:若训练误差降低,验证误差升高,则停止训练
正则化
在误差目标函数找那个增加一项描述网络复杂度
偏好比较小的连接权和阈值,使网络输出更“光滑”
全局最小与局部极小

神经网络的训练过程可看作一个参数寻优过程:
在参数空间中,寻找一组最优参数使得误差最小
特点
- 存在多个“局部极小”
- 只有一个“全局最小”
其他常见神经网络模型
RBF :分类任务中除BP之外最常用
单隐层前馈神经网络
使用径向基函数作为隐层神经元激活函数
输出层是隐层神经元输出的线性组合
训练
确定神经元中心,常用的方式包括随机残阳、聚类等
利用BP算法等确定参数
ART:”竞争学习”的代表
SOM:最常用的聚类方法之一

- 竞争型的无监督神经网络
- 将高维数据映射到低维空间,高维空间中相似的样本点映射到网络输出层中临近神经元
- 每个神经元拥有一个权向量
- 目标:为每个输出层神经元找到合适的权向量以保持拓扑结构
- 训练
- 网络接收输入样本后,将会确定输出层的“获胜”神经元(“胜者通吃”)
- 获胜神经元的权向量将向当前输入样本移动
级联相关网络:“构造性”神经网络的代表

构造性神经网络
将网络的结构也当做学习的目标之一,我往在训练过程中找到适合数据的网络结构
- 训练
- 开始时只有输入层和输出层
- 级联-新的隐层节点逐渐加入,从而创建起层级结构
- 相关-最大化新节点的输出与网络误差之间的相关性
Elman网络:递归神经网络的代表

- 网络可以有环形结构,可让使一些神经元的输出反馈回来最为输入
- t 时刻网络的输出状态: 由 t 时刻的输入状态和 t-1时刻的网络状态共同决定
Elman网络是最常用的递归神经网络之一
- 结构与前馈神经网络很相似,但隐层神经元的输出被反馈回来
- 使用推广的BP算法训练
Bolyzmann机:”基于能量的模型”的代表

深度学习
卷积神经网络

- 每个卷积层包含多个特征映射,每个特征映射是一个由多个神经元构成的“平面”,通过一种卷积滤波器提取输入的一种特征
- 采样层亦称“汇合层”,其作用是基于局部相关性原理进行亚采样,从而在减少数据量的同事保留有用信息
- 连接层就是传统神经网络对隐层与输出层的全连接
典型的深度学习模型就是很深层的神经网络
最后
以上就是矮小马里奥最近收集整理的关于《机器学习》--周志华 (第五章学习笔记)神经网络的全部内容,更多相关《机器学习》--周志华内容请搜索靠谱客的其他文章。
发表评论 取消回复