需要全部代码请点赞关注收藏后评论区留言私信~~~
全连接层与线性回归
神经网络模型也是参数学习模型,因为对它的学习只是得到神经网络参数的最优值,而神经网络的结构必须事先设计好。如果确实不能通过改进学习过程来达到理想效果,则要重新设计神经网络的结构。
层状神经网络的隐层和输出层具有处理信息的能力,它们又可细分为全连接层、卷积层、池化层、LSTM层等等,通过适当排列可以组合成适应不同任务的网络。
全连接层是层状神经网络最基本的层,本小节从线性回归模型入手,深入讨论全连接层。
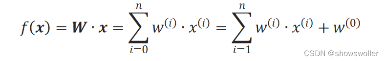
线性回归模型改写为:


神经元模型

可以将线性回归看成是神经元模型,其阈值θ=w^(0),其激励函数为等值函数f(x)=x,即该神经元是没有激励函数的特殊神经元。
先定义一个二维平面上的线性目标函数并用它来生成训练样本,再定义一个代表线性回归模型的神经网络,然后用训练样本对该网络进行训练,并在训练的过程中动态显示线性模型的拟合过程。
效果如下

代码如下
### 定义训练样本生成函数
import numpy as np
np.random.seed(1101) # 指定随机数种子,产生相同的随机数,便于观察试验结果
def f(x, w=3.0, b=1.0): # 目标函数
return x * w + b
def get_data(num):
for _ in range(num):
x = np.random.uniform(-10.0, 10.0)
noise = np.random.normal(0, 3)
y = f(x) + noise
yield np.array([x]).astype(np.float32), np.array([y]).astype(np.float32)
### 生成训练样本并增强
from mindspore import dataset as ds
import matplotlib.pyplot as plt
data_number = 80 # 样本总数
batch_size = 16 # 每批训练样本数(批梯度下降法)
repeat_size = 1
train_data = list(get_data(data_number))
X, y = zip(*train_data)
plt.scatter(X, y, color="black", s=10)
xx = np.arange(-10.0, 10, 1)
yy = f(xx)
plt.plot(xx, yy, color="red", linewidth=1, linestyle='-')
plt.show()
按上述方法构建的层被称为全连接层(fully connected layers),它是层状神经网络最基本的层。
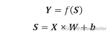
全连接层的每一个节点都与上一层的所有节点相连。设前一层的输出为X=(x_1, x_2,…,x_i,…,x_m),本层的输出为Y=(y_1, y_2,…,y_j,…,y_n),其中:


定义连接系数矩阵:

和阈值系数向量:

全连接层的计算可以写成矩阵形式:

在全连接层中,连接系数和阈值系数是要训练的参数,它们一共有m×n+n个。
动态拟合过程,当训练到第十轮左右的时候模型拟合度已经十分高了

代码如下
import numpy as np
np.random.seed(1101) # 指定随机数种子,产生相同的随机数,便于观察试验结果
def f(x, w=3.0, b=1.0): # 目标函数
return x * w + b
def get_data(num):
for _ in range(num):
x = np.random.uniform(-10.0, 10.0)
noise = np.random.normal(0, 3)
y = f(x) + noise
yield np.array([x]).astype(np.float32), np.array([y]).astype(np.float32)
from mindspore import dataset as ds
import matplotlib.pyplot as plt
data_number = 80 # 样本总数
batch_size = 16 # 每批训练样本数(批梯度下降法)
repeat_size = 1
train_data = list(get_data(data_number))
X, y = zip(*train_data)
plt.scatter(X, y, color="black", s=10)
xx = np.arange(-10.0, 10, 1)
yy = f(xx)
plt.plot(xx, yy, color="red", linewidth=1, linestyle='-')
plt.show()
import time
from mindspore import Tensor
def plot_model_and_datasets(net, train_data):
weight = net.trainable_params()[0]
bias = net.trainable_params()[1]
x = np.arange(-10, 10, 1)
y = x * Tensor(weight).asnumpy()[0][0] + Tensor(bias).asnumpy()[0]
x1, y1 = zip(*train_data)
x_target = x
y_target = f(x_target)
plt.axis([-11, 11, -20, 25])
plt.scatter(x1, y1, color="black", s=10)
plt.plot(x, y, color="blue", linestyle=':', linewidth=2)
plt.plot(x_target, y_target, color="red")
plt.show()
time.sleep(0.02)
from IPython import display
from mindspore.train.callback import Callback
class ImageShowCallback(Callback): # 回调类
def __init__(self, net, train_data):
self.net = net
self.train_data = train_data
def step_end(self, run_context):
plot_model_and_datasets(self.net, self.train_data)
display.clear_output(wait=True)
创作不易 觉得有帮助请点赞关注收藏~~~
最后
以上就是爱笑星月最近收集整理的关于【Python机器学习】神经网络中全连接层与线性回归的讲解及实战(Tensorflow、MindSpore平台 附源码)全连接层与线性回归的全部内容,更多相关【Python机器学习】神经网络中全连接层与线性回归的讲解及实战(Tensorflow、MindSpore平台内容请搜索靠谱客的其他文章。
发表评论 取消回复