前提: 这学期的大物实验公式相比于上学期是非常复杂了,而上学期只是单纯的用Excel处理,十分麻烦所以就打算用所学的python写一个代码,输入数据即可得出答案,不仅处理数据起来方便,清晰而且还可以顺便熟悉python的操作(因为我并没有很系统的学习过python,所以很需要这样来练手)
该实验分为了两组实验,一个是动态一个是静态,内容大体一致,所以就用了一个代码解决两个问题。
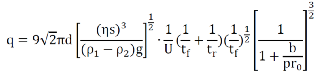
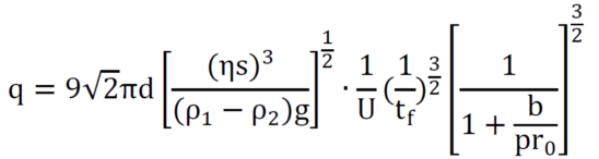
如下是一些实验需要的公式:



还有一些基础的数据:
油滴的密度:981kg/m3;空气密度:1.293kg/m3;
重力加速度:9.794m/s2;
空气粘滞系数:1.83E-5 Pa·s;
油滴匀速下降距离:2mm;
修正常数:8.22E-3N/m ;
大气压强:1.013E5 Pa;
电压板之间的距离:5mm;
单元电荷电量:1.602E-19C;
油滴在面板上移动的距离为:2mm
以下就是代码:
import math
x = input("静态or动态")
p_oil = 981
g = 9.80
p_air=1.293
s = 2.00e-3
b = 8.23e-3
p_qi = 0.101e6
d = 5.00e-3
n = 1.83e-5
e=1.602e-19
if x=="静态":
t_fall=float(input("plz enter the average fall time "))
U=float(input("plz enter U"))
v_fall=s/t_fall
r0 =pow ((9 * n * v_fall / (2 * (p_oil - p_air) * g)),1/2)
first=pow((pow((n*s),3))/((p_oil - p_air)*g),1/2)
second=(1/U)*pow((1/t_fall),(3/2))*pow(1/(1+(b/p_qi*r0)),3/2)
q=9*pow(2,1/2)*3.14159*d*first*second
n1 = q / (1.6e-19)
n2 = int(n1)
if (n1 - n2 >= 0.5):
n2 = n2 + 1
elif (0<=n1-n2 < 0.5):
n2 = n2
else:
print("Error")
e1 = q / n2
error=((e1-e)/e)
print("半径r=", r0)
print("油滴总带电量q=", q)
print("实实际单位电荷的电荷量e=", e1)
print("实验误差w=", error)
print("所含电子的个数:"n2)
if x == "动态":
t_up = float(input("plz enter the average up time "))
t_fall = float(input("plz enter the average fall time "))
U = float(input("plz enter U"))
v_fall = s / t_fall
r0 = pow((9 * n * v_fall / (2 * (p_oil - p_air) * g)), 1 / 2)
first=pow(pow((n*s),3)/((p_oil - p_air)*g),1/2)
second=(1/U)*(pow((1/t_fall),(1/2)))*pow(1/(1+(b/p_qi*r0)),3/2)*((1/t_fall)+(1/t_up))
q=9*pow(2,1/2)*3.14159*d*first*second
n1 = q / (1.6e-19)
n2 = int(n1)
if (n1 - n2 >= 0.5):
n2 = n2 + 1
elif (0<=n1-n2 < 0.5):
n2 = n2
else:
print("Error")
e1 = q / n2
error=((e1-e)/e)
if error<0:
error=0-error
else:
error=error
print("半径r=", r0)
print("油滴总带电量q=", q)
print("实际单位电荷的电荷量e=", e1)
print("实验误差w=", error)
print("所含电子的个数:"n2)
如果有任何问题,可以留言指出,毕竟俺只是一个python小白,希望可以一起学习一起进步!
最后
以上就是愤怒绿茶最近收集整理的关于大物实验密立根数据处理Python program1的全部内容,更多相关大物实验密立根数据处理Python内容请搜索靠谱客的其他文章。
本图文内容来源于网友提供,作为学习参考使用,或来自网络收集整理,版权属于原作者所有。
发表评论 取消回复