导读:困扰统计学家60多年的魔咒,时至今日也没有得到彻底解决。
作者:徐晟
来源:大数据DT(ID:hzdashuju)

在做重大决策时,我们总会参考一些统计数据,比如高考前关注学校的录取率,择业时参考各个行业的就业率等。统计数字可以帮助我们比较这些对象的优劣,做出更加合理的决定。但有时,统计数字并不靠谱,基于统计数据的因果推断甚至会出错。
举例来说,假设张三想去医院看病。他收集到了附近两家医院的医疗数据,如表2-1所示。
根据数据,医院A最近治疗了1000个病人,有900人存活,100人死亡,存活率为90%。医院B最近也治疗了1000个病人,有800人存活,200人死亡,存活率为80%。从统计数据来看,似乎医院A比医院B更好一点。
现在我们把收集到的样本数据做一些细分,按照重症病人和非重症病人进行统计,如表2-2所示。
▼表2-2 重症和非重症病人统计

我们只是进一步区分了病人病情的严重程度,结论就被变魔术般改变了。从表2-2中可以看出,无论是重症病人还是非重症病人,不管怎么看,最好的选择都是医院B,这与之前的情况大相径庭。一开始我们只关注整体的存活率,医院A明明是更好的选择,但是如果关心更细的病例存活率,医院B就变成了更好的选择。为何会出现这种情况?
这是因为数据中存在潜在变量(比如病情严重程度不同的病人占比),按照潜在变量分组后的数据是不均匀的。在上面的例子中,医院A和医院B对于不同分组病人的救治成功率差别很大。对于重症病人,存活率只有30%~50%,而对于非重症的病人,存活率超过了95%。
同时,两种病人去医院A和医院B就医的数据分布正好相反,大多数重症病人都去了医院B,大部分的非重症病人去了医院A就诊。这就导致医院B的总体救治率数据反而被拉低了,而医院A的统计数据反而更占优势。
在分组比较中占据优势的一方,在综合评估中却成为失势的一方,该现象被称为辛普森悖论。辛普森悖论最初是英国数学家辛普森(Edward Huge Simpson)于1951年发现并提出的。此悖论如同魔咒般,已困扰统计学家60多年,时至今日也没有得到彻底解决。它的出现揭示出一个令人震惊的事实——同一组数据的整体趋势和分组趋势有可能完全不同。
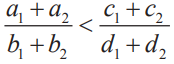
若使用数学语言,辛普森悖论可以表示为如下的关系式:
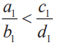
当
,
时,我们不能得出
的结论。反过来也一样,有兴趣的读者可以自行证明。
不少统计学家认为,由于辛普森悖论的存在,因此仅仅通过有限个统计数字,无法直接推导和还原事实真相。这是统计数据的致命缺陷。因为数据可以按照各种形式分类和比较,潜在变量无穷无尽,理论上总是可以用某个潜在变量得到某种结论。
对于那些不怀好意的人,他们很容易对数据进行拆分或归总,得到一个对自己有利的统计数据,从而误导甚至操纵别人。所以,为了避免辛普森悖论,我们应该仔细分析各种影响因素,不要笼统概括,更不能浅尝辄止地看问题。
关于作者:徐晟,某商业银行IT技术主管,毕业于上海交通大学,从事IT技术领域工作十余年,对科技发展、人工智能有自己独到的见解,专注于智能运维(AIOps)、数据可视化、容量管理等方面工作。
本文摘编自《大话机器智能:一书看透AI的底层运行逻辑》,经出版方授权发布。(ISBN:9787111696193)

《大话机器智能:一书看透AI的底层运行逻辑》
点击上图了解及购买
转载请联系微信:DoctorData
推荐语:AI是什么?机器如何拥有“智能”?“智能”如何起作用?本书以通俗易懂的方式,勾勒人工智能的全貌,展现AI的底层运行逻辑,即AI是如何工作的。

划重点????
干货直达????
图解元宇宙四象限
详解SaaS产品的5类核心指标
解读边缘计算在7大领域的研究趋势和最新进展
乌克兰国防系统的密码真的是123456?
更多精彩????
在公众号对话框输入以下关键词
查看更多优质内容!
读书 | 书单 | 干货 | 讲明白 | 神操作 | 手把手
大数据 | 云计算 | 数据库 | Python | 爬虫 | 可视化
AI | 人工智能 | 机器学习 | 深度学习 | NLP
5G | 中台 | 用户画像 | 数学 | 算法 | 数字孪生
据统计,99%的大咖都关注了这个公众号
????
最后
以上就是愤怒万宝路最近收集整理的关于终于有人把辛普森悖论讲明白了的全部内容,更多相关终于有人把辛普森悖论讲明白了内容请搜索靠谱客的其他文章。
发表评论 取消回复