Toggle navigation
首页
博客
下载
AI
科技
互联网
会员
中心
会员中心
发布资讯
发布博文
发布资源
首页
文章中心
Other
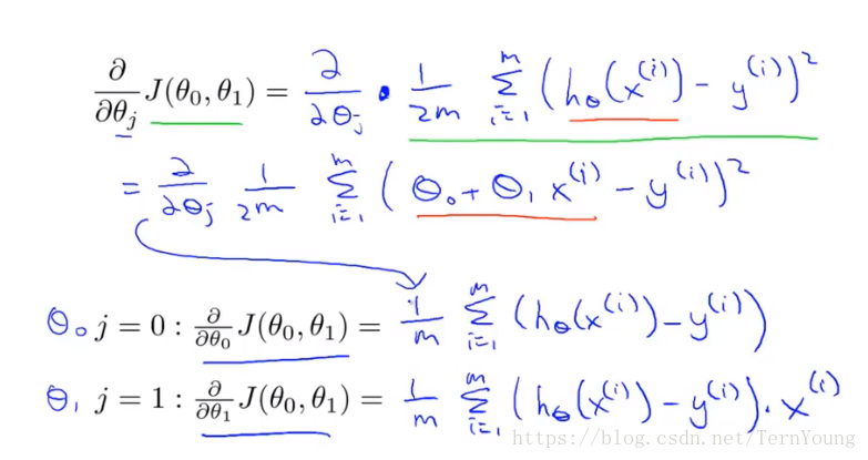
机器学习3(线性回归的梯度下降算法)机器学习
206 阅读
0 评论
136 点赞
我是
靠谱客
的博主
搞怪早晨
,这篇文章主要介绍
机器学习3(线性回归的梯度下降算法)机器学习
,现在分享给大家,希望可以做个参考。
机器学习
——线性回归的梯度下降算法
最后
以上就是
搞怪早晨
最近收集整理的关于
机器学习3(线性回归的梯度下降算法)机器学习
的全部内容,更多相关
机器学习3(线性回归
内容请搜索靠谱客的其他文章。
本图文内容来源于网友提供,作为学习参考使用,或来自网络收集整理,版权属于原作者所有。
点赞(
136
)
本文分类:
Other
浏览次数:
206
次浏览
发布日期:2024-07-20 22:20:03
本文链接:
https://www.kaopuke.com/article/k-p-k_13_u_7_o_18_fz_13_jc5.html
相关文章
梯度下降法------python实现
梯度下降解决线性回归
斯坦福机器学习视频笔记 Week1 线性回归和梯度下降 Linear Regression and Gradient Descent...Model Representation(模型表示)Cost Function(损失函数)Gradient Descent(梯度下降)Gradient Descent For Linear Regression(在线性回归中使用梯度下降)
吴恩达Machine Learning笔记-linear regression,gradient descent
机器学习3(线性回归的梯度下降算法)机器学习
(一)How to Do Linear Regression using Gradient DescentThe optimal values of m and b can be actually calculated with way less effort than doing a linear regression.this is just to demonstrate gradient descent
斯坦福机器学习视频笔记 Week1 线性回归和梯度下降 Linear Regression and Gradient Descent Model Representation(模型表示) Cost Function(损失函数) Gradient Descent(梯度下降) Gradient Descent For Linear Regression (在线性回归中使用梯度下降)
Linear Regression and Gradient Descent (English version)
评论列表
共有
0
条评论
发表评论
取消回复
登录
注册新账号
立即
投稿
返回
顶部
发表评论 取消回复