文章目录
- Question1-14
- Question15-PLA
- Question16-PLA平均迭代次数
- Question17-不同迭代系数的PLA
- Question18-Pocket_PLA
- Question19-PLA的错误率
- Question20-修改Pocket_PLA迭代次数
Question1-14

对于有明确公式和定义的不需要使用到ml

智能系统在与环境的连续互动中学习最优行为策略的机器学习问题,学习最优的序贯决策

无标签分类

从标注数据 学习预测模型

主动地提出一些标注请求,将一些经过筛选的数据提交给专家进行标注

- 解题关键是计算N+1到N+L上的偶数个数
- 0到N的偶数个数是 ⌊ N ⌋ 2 frac{ ⌊N⌋}{2} 2⌊N⌋
- 问题转化成(0到N+L的偶数个数-0到N的偶数个数)

generate了D,但是N+1到N+L上L个点没有generate。每个点都有{被generate,没被generate}两种可能,所以是 2 L 2^L 2L

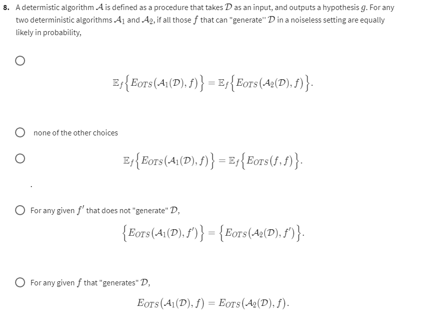
由“无免费午餐定理”可知,任何算法在没有噪声时对于未知样本期望相等

P ( 5 o r a n g e & 5 e l s e ) = C 10 5 2 10 P(5orange&5else)=frac{C_{10}^5}{2^{10}} P(5orange&5else)=210C105

from scipy.special import comb
print(comb(10,5)/2**10)

P
(
9
o
r
a
n
g
e
&
1
e
l
s
e
)
=
C
10
9
0.
9
9
×
0.1
P(9orange&1else)=frac{C_{10}^9}{0.9^{9}times0.1}
P(9orange&1else)=0.99×0.1C109

print(comb(10,9)*((0.9)**9)*0.1)

- 分v=0.1和0时讨论
P = C 10 1 ( 9 10 ) 1 ( 1 10 ) 9 + C 10 0 ( 1 10 ) 10 P=C_{10}^1{(frac 9{10})^{1}{(frac 1 {10})}^{9} }+C_{10}^0{{(frac 1 {10})}^{10}} P=C101(109)1(101)9+C100(101)10


H o e f f d i n g : P [ ∣ μ − v ∣ > ϵ ] ≤ 2 e − 2 ϵ 2 N P [ v ≤ 0.1 ] = P [ 0.9 − v ≥ 0.8 ] = P [ μ − v ≥ 0.8 ] ≤ P [ ∣ μ − v ∣ ≥ 0.8 ] ≤ 2 e − 2 × 0. 8 2 × 10 ≈ 5.5215451440744015 × 1 0 − 6 Hoeffding:mathbb P[| mu-v|>epsilon]le 2e^{-2epsilon ^2N}\ begin{aligned} mathbb P[vle 0.1] &=P[0.9-vge 0.8]\ &=P[mu-vge 0.8]\ &le P[|mu-v|ge 0.8]\ &le 2e^{-2times 0.8^2times 10}\ &approx5.5215451440744015times 10^{-6} end{aligned} Hoeffding:P[∣μ−v∣>ϵ]≤2e−2ϵ2NP[v≤0.1]=P[0.9−v≥0.8]=P[μ−v≥0.8]≤P[∣μ−v∣≥0.8]≤2e−2×0.82×10≈5.5215451440744015×10−6

- A:奇数绿,偶数橙
- B:奇数橙,偶数绿
- C:1-3橙,4-6绿
- D:1-3绿,4-6橙
5个橙1,只可能是BC中,所以 1 32 = 8 256 frac{1}{32}=frac{8}{256} 321=2568

- 1全橙:BC
- 2全橙:AC
- 3全橙:BC
- 4全橙:AD
- 5全橙:BD
- 6全橙:AD
- 全A,B,C,D被重复算了一遍,要减去4
P = 4 × 2 5 − 4 4 5 = 31 256 P=frac{4times2^5-4}{4^5}=frac {31}{256} P=454×25−4=25631

Question15-PLA

data链接

代码部分:
utils函数:
import numpy as np
#判别函数,判断所有数据是否分类完成
def Judge(X, y, w):
n = X.shape[0]
num = np.sum(X.dot(w) * y > 0)
return num == n
def PLA(X, y, eta=1, max_step=np.inf):
# 获取维度
n, d = X.shape
# 初始化
w = np.zeros(d)
# 迭代次数
t = 0
# 元素的下标
i = 0
# 错误的下标
last = 0
while not (Judge(X, y, w)) :
if np.sign(X[i, :].dot(w) * y[i]) <= 0:
t += 1
w += eta * y[i] * X[i, :]
# 更新错误
last = i
# 移动到下一个元素,如果达到n,则重置为0
i += 1
if i == n:
i = 0
return t, last, w
主函数:
import numpy as np
import utils as util
#读取数据
data = np.genfromtxt("hw1_15_train.dat")
#获取维度
n, d = data.shape
#分离X
X = data[:, :-1]
#添加偏置项1
X = np.c_[np.ones(n), X]
#分离y
y = data[:, -1]
print(util.PLA(X, y))
运行结果:

Question16-PLA平均迭代次数

代码部分:
utils函数:
import numpy as np
import matplotlib.pyplot as plt
def Judge(X, y, w):
n = X.shape[0]
num = np.sum(X.dot(w) * y > 0)
return num == n
def PLA(X, y, eta=1):
n, d = X.shape
w = np.zeros(d)
t = 0
i = 0
last = 0
while not (Judge(X, y, w)):
if np.sign(X[i, :].dot(w) * y[i]) <= 0:
t += 1
w += eta * y[i] * X[i, :]
last = i
i += 1
if i == n:
i = 0
return t, last, w
#运行g算法n次并返回平均的迭代次数
def average_of_n(g, X, y, n, eta=1):
result = []
data = np.c_[X, y]
for i in range(n):
np.random.shuffle(data)
X = data[:, :-1]
y = data[:, -1]
result.append(g(X, y, eta=eta)[0])
plt.hist(result)
plt.xlabel("迭代次数")
plt.title("平均运行次数为" + str(np.mean(result)))
plt.show()
主函数:
import numpy as np
import utils as util
import matplotlib.pyplot as plt
plt.rcParams['font.sans-serif']=['SimHei'] #显示中文标签
plt.rcParams['axes.unicode_minus']=False #显示负号
data = np.genfromtxt("hw1_15_train.dat")
#获取维度
n, d = data.shape
#分离X
X = data[:, :-1]
#添加偏置项1
X = np.c_[np.ones(n), X]
#分离y
y = data[:, -1]
util.average_of_n(util.PLA, X, y, 2000, 1)

Question17-不同迭代系数的PLA

修改迭代系数即可:
util.average_of_n(util.PLA, X, y, 2000, 0.5)

Question18-Pocket_PLA

utils函数:
import matplotlib.pyplot as plt
import numpy as np
#统计错误数量
def count(X, y, w):
num = np.sum(X.dot(w) * y <= 0)
return np.sum(num)
#预处理
def preprocess(data):
# 获取维度
n, d = data.shape
# 分离X
X = data[:, :-1]
# 添加偏置项1
X = np.c_[np.ones(n), X]
# 分离y
y = data[:, -1]
return X, y
def Pocket_PLA(X, y, eta=1, max_step=np.inf):#max_step 限制迭代次数
#获得数据维度
n, d = X.shape
#初始化
w = np.zeros(d)
#记录最优向量
w0 = np.zeros(d)
#记录次数
t = 0
#记录最少错误数量
error = count(X, y, w0)
#记录元素的下标
i = 0
while (error != 0 and t < max_step):
if np.sign(X[i, :].dot(w) * y[i]) <= 0:
w += eta * y[i] * X[i, :]
#迭代次数增加
t += 1
#记录当前错误
error_now = count(X, y, w)
if error_now < error:
error = error_now
w0 = np.copy(w)
#移动到下一个元素
i += 1
#如果达到n,则重置为0
if i == n:
i = 0
return error, w0
#运行g算法n次,1代表训练集,2代表测试集
def average_of_n(g, X1, y1, X2, y2, n, eta=1, max_step=np.inf):
result = []
data = np.c_[X1, y1]
m = X2.shape[0]
for i in range(n):
np.random.shuffle(data)
X = data[:, :-1]
y = data[:, -1]
w = g(X, y, eta=eta, max_step=max_step)[-1]
result.append(count(X2, y2, w) / m)
plt.hist(result)
plt.xlabel("错误率")
plt.title("平均错误率为"+str(np.mean(result)))
plt.show()
主函数:
import matplotlib.pyplot as plt
import numpy as np
import utils as util
plt.rcParams['font.sans-serif']=['SimHei'] #用来正常显示中文标签
plt.rcParams['axes.unicode_minus']=False #用来正常显示负号
data_train = np.genfromtxt("hw1_18_train.dat")
data_test = np.genfromtxt("hw1_18_test.dat")
X_train, y_train = util.preprocess(data_train)
X_test, y_test = util.preprocess(data_test)
util.average_of_n(util.Pocket_PLA, X_train, y_train, X_test, y_test, 2000, max_step=50)

Question19-PLA的错误率

utils函数:
import matplotlib.pyplot as plt
import numpy as np
def count(X, y, w):
#判断是否同号
num = np.sum(X.dot(w) * y <= 0)
return np.sum(num)
def Judge(X, y, w):
n = X.shape[0]
#判断是否同号
num = np.sum(X.dot(w) * y > 0)
return num == n
def preprocess(data):
"""
数据预处理
"""
# 获取维度
n, d = data.shape
# 分离X
X = data[:, :-1]
# 添加偏置项1
X = np.c_[np.ones(n), X]
# 分离y
y = data[:, -1]
return X, y
def PLA(X, y, eta=1,max_step=np.inf):
n, d = X.shape
w = np.zeros(d)
t = 0
i = 0
last = 0
while not (Judge(X, y, w)) and t<max_step:
if np.sign(X[i, :].dot(w) * y[i]) <= 0:
t += 1
w += eta * y[i] * X[i, :]
last = i
i += 1
if i == n:
i = 0
return t, last, w
#运行g算法n次,1代表训练集,2代表测试集
def average_of_n(g, X1, y1, X2, y2, n, eta=1, max_step=np.inf):
result = []
data = np.c_[X1, y1]
m = X2.shape[0]
for i in range(n):
np.random.shuffle(data)
X = data[:, :-1]
y = data[:, -1]
w = g(X, y, eta=eta, max_step=max_step)[-1]
result.append(count(X2, y2, w) / m)
plt.hist(result)
plt.xlabel("错误率")
plt.title("平均错误率为"+str(np.mean(result)))
plt.show()
主函数:
import matplotlib.pyplot as plt
import numpy as np
import utils as util
plt.rcParams['font.sans-serif']=['SimHei'] #用来正常显示中文标签
plt.rcParams['axes.unicode_minus']=False #用来正常显示负号
data_train = np.genfromtxt("hw1_18_train.dat")
data_test = np.genfromtxt("hw1_18_test.dat")
X_train, y_train = util.preprocess(data_train)
X_test, y_test = util.preprocess(data_test)
util.average_of_n(util.PLA, X_train, y_train, X_test, y_test, 2000, max_step=50)
Question20-修改Pocket_PLA迭代次数

utils函数:
import matplotlib.pyplot as plt
import numpy as np
def count(X, y, w):
#判断是否同号
num = np.sum(X.dot(w) * y <= 0)
return np.sum(num)
def Judge(X, y, w):
n = X.shape[0]
#判断是否同号
num = np.sum(X.dot(w) * y > 0)
return num == n
def preprocess(data):
"""
数据预处理
"""
# 获取维度
n, d = data.shape
# 分离X
X = data[:, :-1]
# 添加偏置项1
X = np.c_[np.ones(n), X]
# 分离y
y = data[:, -1]
return X, y
def Pocket_PLA(X, y, eta=1, max_step=np.inf):#max_step 限制迭代次数
#获得数据维度
n, d = X.shape
#初始化
w = np.zeros(d)
#记录最优向量
w0 = np.zeros(d)
#记录次数
t = 0
#记录最少错误数量
error = count(X, y, w0)
#记录元素的下标
i = 0
while (error != 0 and t < max_step):
if np.sign(X[i, :].dot(w) * y[i]) <= 0:
w += eta * y[i] * X[i, :]
#迭代次数增加
t += 1
#记录当前错误
error_now = count(X, y, w)
if error_now < error:
error = error_now
w0 = np.copy(w)
#移动到下一个元素
i += 1
#如果达到n,则重置为0
if i == n:
i = 0
return error, w0
#运行g算法n次,1代表训练集,2代表测试集
def average_of_n(g, X1, y1, X2, y2, n, eta=1, max_step=np.inf):
result = []
data = np.c_[X1, y1]
m = X2.shape[0]
for i in range(n):
np.random.shuffle(data)
X = data[:, :-1]
y = data[:, -1]
w = g(X, y, eta=eta, max_step=max_step)[-1]
result.append(count(X2, y2, w) / m)
plt.hist(result)
plt.xlabel("错误率")
plt.title("平均错误率为"+str(np.mean(result)))
plt.show()
主函数:
import matplotlib.pyplot as plt
import numpy as np
import utils as util
plt.rcParams['font.sans-serif']=['SimHei'] #用来正常显示中文标签
plt.rcParams['axes.unicode_minus']=False #用来正常显示负号
data_train = np.genfromtxt("hw1_18_train.dat")
data_test = np.genfromtxt("hw1_18_test.dat")
X_train, y_train = util.preprocess(data_train)
X_test, y_test = util.preprocess(data_test)
util.average_of_n(util.Pocket_PLA, X_train, y_train, X_test, y_test, 2000, max_step=100)

最后
以上就是迷路秋天最近收集整理的关于ccc-台大林轩田机器学习基石-hw1的全部内容,更多相关ccc-台大林轩田机器学习基石-hw1内容请搜索靠谱客的其他文章。
发表评论 取消回复