给定一个长度为 n 的整数数组 A 。
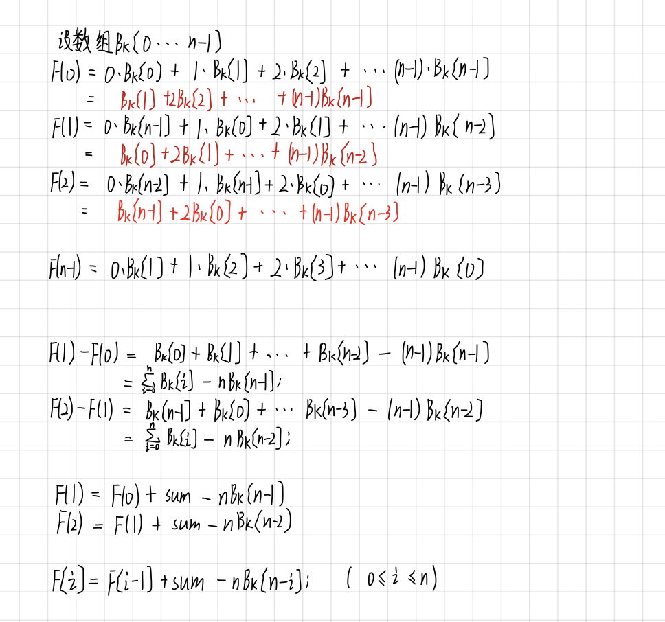
假设 Bk 是数组 A 顺时针旋转 k 个位置后的数组,我们定义 A 的“旋转函数” F 为:
F(k) = 0 * Bk[0] + 1 * Bk[1] + … + (n-1) * Bk[n-1]。
计算F(0), F(1), …, F(n-1)中的最大值。
注意:
可以认为 n 的值小于 105。
示例:
A = [4, 3, 2, 6]
F(0) = (0 * 4) + (1 * 3) + (2 * 2) + (3 * 6) = 0 + 3 + 4 + 18 = 25
F(1) = (0 * 6) + (1 * 4) + (2 * 3) + (3 * 2) = 0 + 4 + 6 + 6 = 16
F(2) = (0 * 2) + (1 * 6) + (2 * 4) + (3 * 3) = 0 + 6 + 8 + 9 = 23
F(3) = (0 * 3) + (1 * 2) + (2 * 6) + (3 * 4) = 0 + 2 + 12 + 12 = 26
所以 F(0), F(1), F(2), F(3) 中的最大值是 F(3) = 26 。
解题思路:错位相减
普通思路的时间复杂度普遍为O(n^2)
通过数学运算找到规律后可实现O(n)的时间复杂度

代码实现
int maxRotateFunction(int* nums, int n){
double f0 = 0, sum = 0,max,temp;
for(int i = 0; i < n; i++)
{
f0 += i * nums[i];
sum += nums[i];
}
max = f0;
double f1 = f0;
for(int i = 1; i <= n; i++)
{
temp = f1 - n * (double)nums[n - i] + sum;
f1 =temp;
if(temp > max)
max = temp;
}
return (int)max;
}
最后
以上就是称心老师最近收集整理的关于leetcode396旋转数组的全部内容,更多相关leetcode396旋转数组内容请搜索靠谱客的其他文章。
本图文内容来源于网友提供,作为学习参考使用,或来自网络收集整理,版权属于原作者所有。
发表评论 取消回复