Upper Confidence Bound Apply to Tree,即ucb公式应用于蒙特卡洛搜索树
前段时间用这个算法参加了计算机博弈比赛,写的很糙,以为要爆炸,没想到效果还不错。
先简单介绍一下标题的几个名词,不了解的同学想闹明白的话自行查阅相关资料。
蒙特卡洛算法
理论基础是大数定律,多次数重复模拟的各种结果的概率接近于真实概率,模拟次数越多越接近。就像那个用多个随机点求圆的面积的方法。
ucb公式
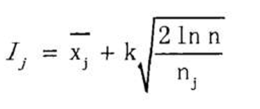
ucb值可以理解为这条路的预期价值,价值由两个部分来组成。
该节点的ucb值 = 对该节点模拟得来的平均收益 + 该节点渴望被模拟的欲望
很明显,节点被拜访的相对次数越少,欲望就越强,为的就是不放过有潜在价值的节点。
(凭什么对别人那么好,拜访那么多次?就因为第一次拜访我就让你失望了吗?就这?就再也不相信我了?)

xj就是平局收益,(k是常数,一般就是1),nj是当前节点被访问次数,n是当前节点的父节点的访问次数。为什么要写成这样俺也不知道,但已经被证明了这样效果最佳。
uct算法
uct算法主要有四个步骤:选择、模拟、扩展、更新
先举个不用树结构的uct算法吧(呃,这样应该就不叫uct了,应该叫ucb算法?)。总之就是只用一层孩子节点,先理解一下原理。
干说说不出个一二三来,网上清一色拿多臂赌博机举的例子,我拿井字棋举个例子吧(默认大家都知道规则),好比我们是’X’,局面如下图,该我们走子了。
_ X O
X _ O
_ O _
首先我们把当前局面状态拿出来作为根节点,现在我们有四条路可以走,那就从根节点衍生出四个子节点,每个节点对应一条走法。
刚开始并不知道这几条路哪个好,那就先认为全部走法的价值都很高(给所有孩子都赋一个无限大的ucb值),选择孩子中ucb值最大的一个(刚开始都是无限大,但后边会变),对其进行模拟(由电脑随机走子至终局),同时本身拜访次数也加一,它的父节点,这里也是根节点的拜访次数也加一,这里代表总拜访次数,用来求节点被模拟的欲望。模拟是随机模拟,可以模拟多局,得到一个平均收益。然后重新计算该节点的ucb值(肯定比无限大小了)。
我们每次都从根节点开始选ucb值最大的孩子,对它进行模拟,更新拜访次数,并得到一个新的ucb值。电脑的运行速度是很快的,虽然是随机模拟,但大数定律是跑不了的,最终我们选择ucb值最大的那条路。
现在加上树结构说一下uct算法。
大家可能有个疑问,对于上边的井字棋,其实可以直接用树结构直接把所有情况全写出来,这样不是更简单明了?为什么不这样呢?因为一般的博弈问题,像五子棋、围棋等,用树把所有情况写到底是不现实的,单一个围棋都算到世界末日了(可以搜一下)。因此一个比较好的办法就是,挑价值比较高的走法,对它进行更深层次的搜索。
深层次树结构有什么好处?
对一般博弈问题来说,如果只生成一层孩子,也许离终局还有很远,还要走n多步,而且我们的时间有限,随机模拟次数也有限,这种局面下大数定律就有点招呼不住了。uct的思想就是挖掘深层的路线,对其中表现好的(ucb值高的)进行投资(花时间对其进行模拟),而不是把时间和资源浪费在低层次的无脑模拟上。
选择、扩展、模拟、反向传播
选择:从根节点开始,计算所有孩子的ucb值,并选择其中ucb值最大的,直到到达叶子节点。
模拟:以此局面为基础随机走子模拟至终局。
扩展:若上一步选择得到的叶子节点已经被模拟过了,则往下扩展,即生孩子,反之对其进行模拟。
更新:更新模拟收益和拜访次数,不仅自己,所有祖宗都要更新,为了正确计算各个节点的ucb值。完事儿之后再从第一步选择开始,直到时间或预设次数结束。
最后我们就走第一层孩子中ucb值最大的那条路。
个人粗浅理解,可能有纰漏,欢迎补充-v-
最后
以上就是俏皮哈密瓜最近收集整理的关于uct博弈算法的全部内容,更多相关uct博弈算法内容请搜索靠谱客的其他文章。
发表评论 取消回复