PS:很久以前转载自 http://blog.jobbole.com/110835/ ,此链接已经404,学习使用,有问题联系本人删除。谢谢!
技术面试宝典: 很全面的算法和数据结构知识(含代码实现)
目录
- 在线练习
- 在线编程面试
- 数据结构
- 算法
- 贪心算法
- 位运算
- 复杂度分析
- 视频教程
- 面试宝典
- 计算机科学资讯
- 文件结构
在线练习
- LeetCode
- Virtual Judge
- CareerCup
- HackerRank
- CodeFights
- Kattis
- HackerEarth
- Codility
- Code Forces
- Code Chef
- Sphere Online Judge – SPOJ
在线编程面试
- Gainlo
- Refdash
数据结构
链表
- 链表是一种由节点(Node)组成的线性数据集合,每个节点通过指针指向下一个节点。它是一种由节点组成,并能用于表示序列的数据结构。
- 单链表:每个节点仅指向下一个节点,最后一个节点指向空(null)。
- 双链表:每个节点有两个指针p,n。p指向前一个节点,n指向下一个节点;最后一个节点指向空。
- 循环链表:每个节点指向下一个节点,最后一个节点指向第一个节点。
- 时间复杂度:
- 索引:O(n)
- 查找:O(n)
- 插入:O(1)
- 删除:O(1)
栈
- 栈是一个元素集合,支持两个基本操作:push用于将元素压入栈,pop用于删除栈顶元素。
- 后进先出的数据结构(Last In First Out, LIFO)
- 时间复杂度
- 索引:O(n)
- 查找:O(n)
- 插入:O(1)
- 删除:O(1)
队列
- 队列是一个元素集合,支持两种基本操作:enqueue 用于添加一个元素到队列,dequeue 用于删除队列中的一个元素。
- 先进先出的数据结构(First In First Out, FIFO)。
- 时间复杂度
- 索引:O(n)
- 查找:O(n)
- 插入:O(1)
- 删除:O(1)
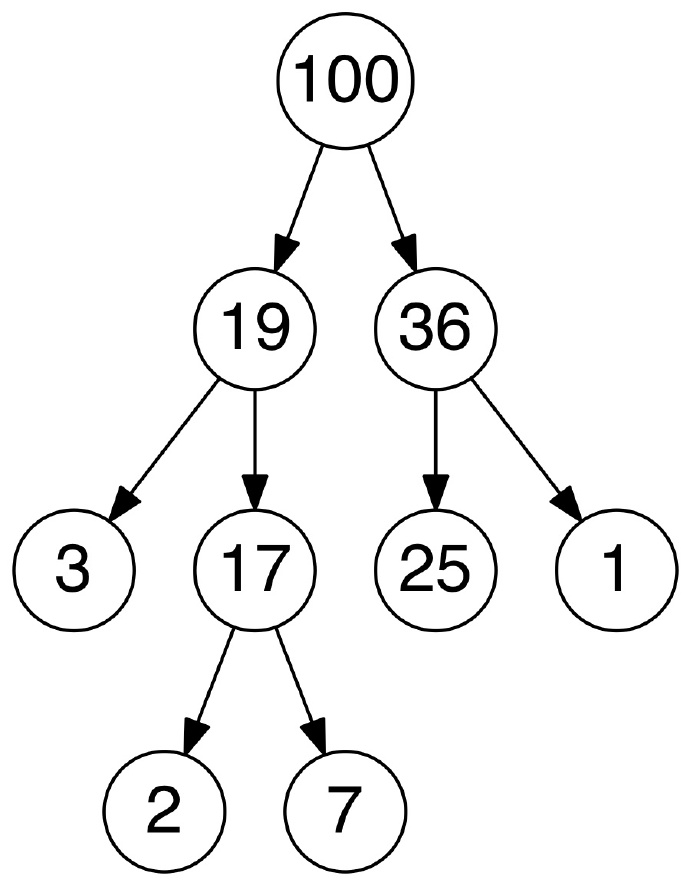
树
- 树是无向、联通的无环图。
二叉树
- 二叉树是一个树形数据结构,每个节点最多可以有两个子节点,称为左子节点和右子节点。
- 满二叉树(Full Tree):二叉树中的每个节点有 0 或者 2 个子节点。
- 完美二叉树(Perfect Binary):二叉树中的每个节点有两个子节点,并且所有的叶子节点的深度是一样的。
- 完全二叉树:二叉树中除最后一层外其他各层的节点数均达到最大值,最后一层的节点都连续集中在最左边。
二叉查找树
- 二叉查找树(BST)是一种二叉树。其任何节点的值都大于等于左子树中的值,小于等于右子树中的值。
- 时间复杂度
- 索引:O(log(n))
- 查找:O(log(n))
- 插入:O(log(n))
- 删除:O(log(n))

字典树
- 字典树,又称为基数树或前缀树,是一种用于存储键值为字符串的动态集合或关联数组的查找树。树中的节点并不直接存储关联键值,而是该节点在树中的位置决定了其关联键值。一个节点的所有子节点都有相同的前缀,根节点则是空字符串。

树状数组
- 树状数组,又称为二进制索引树(Binary Indexed Tree,BIT),其概念上是树,但以数组实现。数组中的下标代表树中的节点,每个节点的父节点或子节点的下标可以通过位运算获得。数组中的每个元素都包含了预计算的区间值之和,在整个树更新的过程中,这些计算的值也同样会被更新。
- 时间复杂度
- 区间求和:O(log(n))
- 更新:O(log(n))

线段树
- 线段树是用于存储区间和线段的树形数据结构。它允许查找一个节点在若干条线段中出现的次数。
- 时间复杂度
- 区间查找:O(log(n))
- 更新:O(log(n))

堆
- 堆是一种基于树的满足某些特性的数据结构:整个堆中的所有父子节点的键值都满足相同的排序条件。堆分为最大堆和最小堆。在最大堆中,父节点的键值永远大于等于所有子节点的键值,根节点的键值是最大的。最小堆中,父节点的键值永远小于等于所有子节点的键值,根节点的键值是最小的。
- 时间复杂度
- 索引:O(log(n))
- 查找:O(log(n))
- 插入:O(log(n))
- 删除:O(log(n))
- 删除最大值/最小值:O(1)

哈希
- 哈希用于将任意长度的数据映射到固定长度的数据。哈希函数的返回值被称为哈希值、哈希码或者哈希。如果不同的主键得到相同的哈希值,则发生了冲突。
- Hash Map:hash map 是一个存储键值间关系的数据结构。HashMap 通过哈希函数将键转化为桶或者槽中的下标,从而便于指定值的查找。
- 冲突解决
- 链地址法(Separate Chaining):在链地址法中,每个桶(bucket)是相互独立的,每一个索引对应一个元素列表。处理HashMap 的时间就是查找桶的时间(常量)与遍历列表元素的时间之和。
- 开放地址法(Open Addressing):在开放地址方法中,当插入新值时,会判断该值对应的哈希桶是否存在,如果存在则根据某种算法依次选择下一个可能的位置,直到找到一个未被占用的地址。开放地址即某个元素的位置并不永远由其哈希值决定。

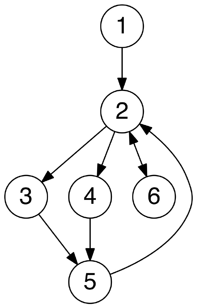
图
- 图是G =(V,E)的有序对,其包括顶点或节点的集合 V 以及边或弧的集合E,其中E包括了两个来自V的元素(即边与两个顶点相关联 ,并且该关联为这两个顶点的无序对)。
- 无向图:图的邻接矩阵是对称的,因此如果存在节点 u 到节点 v 的边,那节点 v 到节点 u 的边也一定存在。
- 有向图:图的邻接矩阵不是对称的。因此如果存在节点 u 到节点 v 的边并不意味着一定存在节点 v 到节点 u 的边。

算法
排序
快速排序
- 稳定:否
- 时间复杂度
- 最优:O(nlog(n))
- 最差:O(n^2)
- 平均:O(nlog(n))

合并排序
- 合并排序是一种分治算法。这个算法不断地将一个数组分为两部分,分别对左子数组和右子数组排序,然后将两个数组合并为新的有序数组。
- 稳定:是
- 时间复杂度:
- 最优:O(nlog(n))
- 最差:O(nlog(n))
- 平均:O(nlog(n))

桶排序
- 桶排序是一种将元素分到一定数量的桶中的排序算法。每个桶内部采用其他算法排序,或递归调用桶排序。
- 时间复杂度
- 最优:Ω(n + k)
- 最差: O(n^2)
- 平均:Θ(n + k)

基数排序
- 基数排序类似于桶排序,将元素分发到一定数目的桶中。不同的是,基数排序在分割元素之后没有让每个桶单独进行排序,而是直接做了合并操作。
- 时间复杂度
- 最优:Ω(nk)
- 最差: O(nk)
- 平均:Θ(nk)
图算法
深度优先搜索
- 深度优先搜索是一种先遍历子节点而不回溯的图遍历算法。
- 时间复杂度:O(|V| + |E|)

广度优先搜索
- 广度优先搜索是一种先遍历邻居节点而不是子节点的图遍历算法。
- 时间复杂度:O(|V| + |E|)

拓扑排序
- 拓扑排序是有向图节点的线性排序。对于任何一条节点 u 到节点 v 的边,u 的下标先于 v。
- 时间复杂度:O(|V| + |E|)
Dijkstra算法
- Dijkstra 算法是一种在有向图中查找单源最短路径的算法。
- 时间复杂度:O(|V|^2)

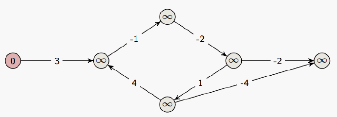
Bellman-Ford算法
- Bellman-Ford 是一种在带权图中查找单一源点到其他节点最短路径的算法。
- 虽然时间复杂度大于 Dijkstra 算法,但它可以处理包含了负值边的图。
- 时间复杂度:
- 最优:O(|E|)
- 最差:O(|V||E|)

Floyd-Warshall 算法
- Floyd-Warshall 算法是一种在无环带权图中寻找任意节点间最短路径的算法。
- 该算法执行一次即可找到所有节点间的最短路径(路径权重和)。
- 时间复杂度:
- 最优:O(|V|^3)
- 最差:O(|V|^3)
- 平均:O(|V|^3)
最小生成树算法
- 最小生成树算法是一种在无向带权图中查找最小生成树的贪心算法。换言之,最小生成树算法能在一个图中找到连接所有节点的边的最小子集。
- 时间复杂度:O(|V|^2)

Kruskal 算法
- Kruskal 算法也是一个计算最小生成树的贪心算法,但在 Kruskal 算法中,图不一定是连通的。
- 时间复杂度:O(|E|log|V|)

贪心算法
- 贪心算法总是做出在当前看来最优的选择,并希望最后整体也是最优的。
- 使用贪心算法可以解决的问题必须具有如下两种特性:
- 最优子结构
- 问题的最优解包含其子问题的最优解。
- 贪心选择
- 每一步的贪心选择可以得到问题的整体最优解。
- 最优子结构
- 实例-硬币选择问题
- 给定期望的硬币总和为 V 分,以及 n 种硬币,即类型是 i 的硬币共有 coinValue[i] 分,i的范围是 [0…n – 1]。假设每种类型的硬币都有无限个,求解为使和为 V 分最少需要多少硬币?
- 硬币:便士(1美分),镍(5美分),一角(10美分),四分之一(25美分)。
- 假设总和 V 为41,。我们可以使用贪心算法查找小于或者等于 V 的面值最大的硬币,然后从 V 中减掉该硬币的值,如此重复进行。
- V = 41 | 使用了0个硬币
- V = 16 | 使用了1个硬币(41 – 25 = 16)
- V = 6 | 使用了2个硬币(16 – 10 = 6)
- V = 1 | 使用了3个硬币(6 – 5 = 1)
- V = 0 | 使用了4个硬币(1 – 1 = 0)
位运算
- 位运算即在比特级别进行操作的技术。使用位运算技术可以带来更快的运行速度与更小的内存使用。
- 测试第 k 位:s & (1 << k);
- 设置第k位:s |= (1 << k);
- 关闭第k位:s &= ~(1 << k);
- 切换第k位:s ^= (1 << k);
- 乘以2n:s << n;
- 除以2n:s >> n;
- 交集:s & t;
- 并集:s | t;
- 减法:s & ~t;
- 提取最小非0位:s & (-s);
- 提取最小0位:~s & (s + 1);
- 交换值:x ^= y; y ^= x; x ^= y;
运行时分析
大 O 表示
- 大 O 表示用于表示某个算法的上界,用于描述最坏的情况。

小 O 表示
- 小 O 表示用于描述某个算法的渐进上界,二者逐渐趋近。
大 Ω 表示
- 大 Ω 表示用于描述某个算法的渐进下界。

小 ω 表示
- 小 ω 表示用于描述某个算法的渐进下界,二者逐渐趋近。
Theta Θ 表示
- Theta Θ 表示用于描述某个算法的确界,包括最小上界和最大下界。

以为这就结束了?No, 这些知识不仅仅是停留在理论,还有代码实现。

这其实是来自 GitHub 的一个 repo:https://github.com/kdn251/interviews
除了上述算法和数据结知识外,其中还有推荐了一些算法练习网站、视频教程、面试宝典、Google、Facebook 等知名公司面试题及解答代码。下载实例代码或者收藏练习网站。
Enjoy!
最后
以上就是甜美墨镜最近收集整理的关于很全面的算法和数据结构知识(含代码实现)技术面试宝典:的全部内容,更多相关很全面内容请搜索靠谱客的其他文章。
本图文内容来源于网友提供,作为学习参考使用,或来自网络收集整理,版权属于原作者所有。
发表评论 取消回复