leetcode-222:完全二叉树的节点个数
- 题目
- 解题
题目
题目链接
给你一棵 完全二叉树 的根节点 root ,求出该树的节点个数。
完全二叉树 的定义如下:在完全二叉树中,除了最底层节点可能没填满外,其余每层节点数都达到最大值,并且最下面一层的节点都集中在该层最左边的若干位置。若最底层为第 h 层,则该层包含 1~ 2h 个节点。
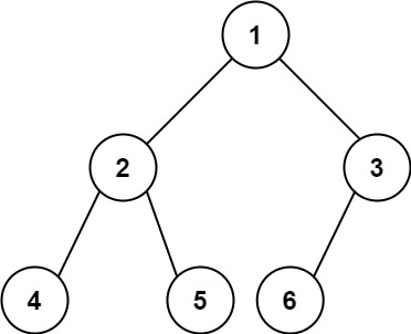
示例 1:

输入:root = [1,2,3,4,5,6]
输出:6
示例 2:
输入:root = []
输出:0
示例 3:
输入:root = [1]
输出:1

解题
python解法
# Definition for a binary tree node.
# class TreeNode:
# def __init__(self, val=0, left=None, right=None):
# self.val = val
# self.left = left
# self.right = right
class Solution:
def countNodes(self, root: TreeNode) -> int:
if not root:
return 0
queue = [root]
num = 1
while queue:
l = len(queue)
for _ in range(l):
cur = queue.pop(0)
left,right = cur.left,cur.right
if left:
queue.append(left)
num+=1
if right:
queue.append(right)
num+=1
return num
c++解法
class Solution {
public:
int countNodes(TreeNode* root) {
if(!root) return 0;
queue<TreeNode*> queue;
queue.push(root);
int num=0;
while(!queue.empty()){
int l=queue.size();
for(int i=0;i<l;i++){
TreeNode* cur=queue.front();
queue.pop();
num++;
if(cur->left) queue.push(cur->left);
if(cur->right) queue.push(cur->right);
}
}
return num;
}
};
java解法
class Solution {
public int countNodes(TreeNode root) {
if(root==null) return 0;
Queue<TreeNode> q=new LinkedList<>();
q.add(root);
int res=0;
while(!q.isEmpty()){
TreeNode cur=q.poll();
if(cur.left!=null) q.add(cur.left);
if(cur.right!=null) q.add(cur.right);
res++;
}
return res;
}
}
最后
以上就是虚心溪流最近收集整理的关于leetcode-222:完全二叉树的节点个数题目解题的全部内容,更多相关leetcode-222:完全二叉树内容请搜索靠谱客的其他文章。
本图文内容来源于网友提供,作为学习参考使用,或来自网络收集整理,版权属于原作者所有。
发表评论 取消回复