目的
我们讨论线性分类

我们要做的:
- 定义一个损失函数,来衡量我们对于训练出来的分数的不满意程度
- 找到一个有效找到减少损失函数的参数的方式(优化)
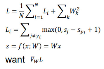
多类支持向量机损失(Multiclass SVM Loss)

上图为例,3个样例,共3类,每个数据表示为(xi, yi),分别表示图片和对应标签
这个数据集的总体损失为每组损失 Li 的平均值

上图右下角意思为:若正确类别的分数比其他的分数都大于1,则表现完美,损失记为0,否则记为与这个差值+1。
所以可以简写为 0与Sj - Syi + 1 的最大值
举例:

三个相加后得该数据集总损失:

相应代码:

import numpy as np
def L_i_vectorized(x, y, W):
scores = W.dot(x)
margins = np.maximum(0, scores - scores[y] + 1)
margins[y] = 0
loss_i = np.sum(margins)
return loss_i
W与X乘得分数(即上图的一列3个数)
margins 即为执行上面 max函数所得结果,其中 y 项为0(自己与自己不可比较)
最后将margins 相加
问题
若发现一个W使L=0,这个W是随机的吗?
答:不是,2W也可使L=0
如:

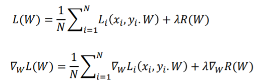
正则(Regularization)

正则后的损失函数包含两部分:原损失,和防止模型在训练集上太好的正则项
Lanka为一个超参
通常使用的 L2正则, L1正则等
正则化优点
- 权重偏好:L1 易产生稀疏解,L2 平滑稳定
- 偏好简单模型
- 通过添加曲率来改进优化

正则化阻止数据过拟合,所以可以减少噪声影响
关于正则化,可参考: 正则化
Softmax分类器(Multinomial Logistic Regression)
我们希望将原始的分数用概率来解释

对于每一个预测图片的每一个分数,取其e^x,标准化得其概率,取其 -log 为Li,由log图像可知,概率越接近1,Li损失函数越小
简单来说,我们有了(X,Y)数据,有了分数函数,有了损失函数

我们要得到最好的W
优化(Optimization)
策略一:随机寻找
精度很低
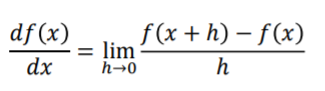
策略二:遵循斜率(梯度下降)
在一维中,函数的导数:

在多维度中,梯度是沿各维的(偏导数)向量。任何方向的斜率都是这个方向与梯度的点积。最陡下降的方向是负梯度
LOSS只是W的一个函数

可以用微积分来计算
随机梯度下降(SGD)

当N太大时,效率太低。我们使用minibatch来估算总体(通常选取32/64/128)
最后
以上就是认真饼干最近收集整理的关于神经网络与深度学习——损失函数与优化(CS231n)Loss Function and Optimization目的多类支持向量机损失(Multiclass SVM Loss)Softmax分类器(Multinomial Logistic Regression)优化(Optimization)的全部内容,更多相关神经网络与深度学习——损失函数与优化(CS231n)Loss内容请搜索靠谱客的其他文章。
发表评论 取消回复