以华顺利200万pixels工业摄像机为例:
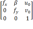
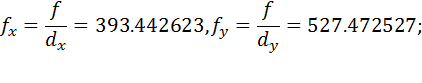
已知摄像头的焦距为4mm,像片的尺寸大小为640x480,传感器尺寸为5856 μm x 3276 μm,像素大小为3μm x 3μm。由上面已知条件可求得内参矩阵如下:


若焦距为4mm时,可得

若焦距为3.6mmm,则

注意:倾斜参数β一般是默认为0的。
最后
以上就是高高小猫咪最近收集整理的关于由相机的自身参数求解内参矩阵的全部内容,更多相关由相机内容请搜索靠谱客的其他文章。
本图文内容来源于网友提供,作为学习参考使用,或来自网络收集整理,版权属于原作者所有。
发表评论 取消回复