C语言实现二叉树
今天我们来介绍一下二叉树,上一节说到堆的实现,即为一种二叉树的顺序结构的应用,通过顺序表来维护堆
二叉树也可以通过链式结构来实现,即二叉链,结构如下图所示。

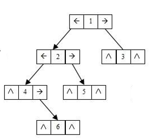
二叉树的链式存储结构是指,用链表来表示一棵二叉树,即用链来指示元素的逻辑关系。 通常的方法是链表 中每个结点由三个域组成,数据域和左右指针域,左右指针分别用来给出该结点左孩子和右孩子所在的链结 点的存储地址 。
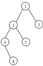
例如下图这棵二叉树:

其二叉链存储表示如下:

下面具体通过代码来详细了解二叉链的实现过程:
-
二叉树结构定义
typedef char BTDataType;
typedef struct BinaryTreeNode//二叉树节点
{
BTDataType _data;
struct BinaryTreeNode* _left;
struct BinaryTreeNode* _right;
}BTNode;
typedef struct BTree
{
BTNode* _root;
}BTree;
-
二叉树链表实现接口
// 创建二叉树,返回二叉树的根结点指针
BTNode* BinaryTreeCreate(BTDataType* arr, int idx);
// 二叉树销毁
void BinaryTreeDestory(BTNode** root);
// 二叉树节点个数
int BinaryTreeSize(BTNode* root);
// 二叉树叶子节点个数
int BinaryTreeLeafSize(BTNode* root);
// 二叉树第k层节点个数
int BinaryTreeLevelKSize(BTNode* root, int k);
// 二叉树查找值为x的节点
BTNode* BinaryTreeFind(BTNode* root, BTDataType x);
// 二叉树前序遍历
void BinaryTreePrevOrder(BTNode* root);
// 二叉树中序遍历
void BinaryTreeInOrder(BTNode* root);
// 二叉树后序遍历
void BinaryTreePostOrder(BTNode* root);
// 层序遍历
void BinaryTreeLevelOrder(BTNode* root);
// 判断二叉树是否是完全二叉树
int BinaryTreeComplete(BTNode* root);
//二叉树高度,层数
int BinaryTreeHigh(BTNode* root);
-
创建二叉树
在创建二叉树的过程中发现,注意:索引如果是局部变量。在递归过程中,索引无法更新
//解决方法:要么定义为全局变量,要么给指针存地址
BTNode* BinaryTreeCreate(BTDataType* arr, int *idx)
{
if (arr[*idx] == '#')
{
(*idx)++;//索引后移
return NULL;//为空返回null
}
BTNode* root = (BTNode*)malloc(sizeof(BTNode));//不为空创建节点,并根据当前索引赋数组值
root->_data = arr[*idx];
(*idx)++;//索引后移
root->_left = BinaryTreeCreate(arr,idx);
root->_right = BinaryTreeCreate(arr,idx);
return root;
}
通过前序遍历的数组"ABD##E#H##CF##G##"构建二叉树,为#返回空,否则创建根结点赋值,然后递归遍历创建左子树和右子树,在回溯的过程中,注意索引需要随之变化,要么为全局变量,要么为指针变量(存地址)
-
二叉树的销毁
void BinaryTreeDestory(BTNode** root)
{
if (*root)
{
BinaryTreeDestory(&((*root)->_left));
BinaryTreeDestory(&((*root)->_right));
free(*root);
*root = NULL;
}
}
void BinaryTreeDestory(BTNode* root)
{
if (root)
{
BinaryTreeDestory(root->_left);
BinaryTreeDestory(root->_right);
free(root);
root = NULL;
}
}
比较上述二者的区别,
代码1 参数为二级指针,指向存放root地址的地址,调用过程中,指针置空,无野指针,
代码2 参数为一级指针,指向root地址,调用过程中,指针没有置空,置空的为指针的拷贝,存在野指针
-
二叉树的遍历
前序/中序/后序的递归结构遍历:是根据访问结点操作发生位置命名
1. NLR:前序遍历(Preorder Traversal 亦称先序遍历)——访问根结点的操作发生在遍历其左右子树之前。
2. LNR:中序遍历(Inorder Traversal)——访问根结点的操作发生在遍历其左右子树之中(间)。
3. LRN:后序遍历(Postorder Traversal)——访问根结点的操作发生在遍历其左右子树之后。
由于被访问的结点必是某子树的根,所以N(Node)、L(Left subtree)和R(Right subtree)又可解释为 根、根的左子树和根的右子树。NLR、LNR和LRN分别又称为先根遍历、中根遍历和后根遍历。

在二叉树遍历过程中都是递归,回溯的过程:
// 二叉树前序遍历
void BinaryTreePrevOrder(BTNode* root)
{
if (root == NULL)
{
return;
}
printf("%c ",root->_data);
BinaryTreePrevOrder(root->_left);
BinaryTreePrevOrder(root->_right);
}
// 二叉树中序遍历
void BinaryTreeInOrder(BTNode* root)
{
if (root == NULL)
{
return;
}
BinaryTreeInOrder(root->_left);
printf("%c ", root->_data);
BinaryTreeInOrder(root->_right);
}
// 二叉树后序遍历
void BinaryTreePostOrder(BTNode* root)
{
if (root == NULL)
{
return;
}
BinaryTreePostOrder(root->_left);
BinaryTreePostOrder(root->_right);
printf("%c ", root->_data);
}
-
层序遍历
借助队列或链表,先进先出的原则,通过尾插,头删进行遍历,通过在队列的结构实现层序遍历(按序遍历)
// 层序遍历
void BinaryTreeLevelOrder(BTNode* root)
{
//通过队列尾插头删实现层序遍历
//借助队列保存节点
Queue q;
initQueue(&q);
//根节点存入队列
if (root)
{
queuePush(&q,root);
}
//遍历队列中每一个节点
while (!EmptyQueue(&q))
{
//获取队头元素
BTNode* front = queueFront(&q);
//出队
queuePop(&q);
printf("%c ",front->_data);
//保存队头元素的左右节点
if (front->_left)
{
queuePush(&q,front->_left);
}
if (front->_right)
{
queuePush(&q,front->_right);
}
}
printf("n");
}
-
节点数计算(递归回溯)
// 二叉树节点个数
int BinaryTreeSize(BTNode* root)
{
if (root == NULL)
return 0;
return BinaryTreeSize(root->_left) + BinaryTreeSize(root->_right) + 1;
}
// 二叉树叶子节点个数
int BinaryTreeLeafSize(BTNode* root)
{
//空树 为0
if (root == NULL)
{
return 0;
}
//叶子节点 为1
if (root->_left == NULL && root->_right == NULL)
return 1;
//非叶子 左子树叶子+右子树叶子
return BinaryTreeLeafSize(root->_left)+BinaryTreeLeafSize(root->_right);
}
// 二叉树第k层节点个数
//第k层节点个数=左右子树第k-1层节点个数和
//假设根为第一层
int BinaryTreeLevelKSize(BTNode* root, int k)
{
if (root == NULL)
return 0;
if (k == 1)
{
return 1;
}
return BinaryTreeLevelKSize(root->_left,k-1) + BinaryTreeLevelKSize(root->_right,k-1);
}
-
二叉树高度
//二叉树高度,层数
int BinaryTreeHigh(BTNode* root)
{
if (root == NULL)
return 0;
int left = BinaryTreeHigh(root->_left);
int right = BinaryTreeHigh(root->_right);
return left > right ? left + 1 : right + 1;
}
-
二叉树查找指定节点
// 二叉树查找值为x的节点
BTNode* BinaryTreeFind(BTNode* root, BTDataType x)
{
if (root)
{
if (root->_data == x)
{
return root;
}
if (BinaryTreeFind(root->_left, x))
{
return BinaryTreeFind(root->_left, x);
}
else
return BinaryTreeFind(root->_right, x);
}
-
判断是否为完全二叉树
// 判断二叉树是否是完全二叉树
int BinaryTreeComplete(BTNode* root)
{
//借助队列保存节点
Queue q;
initQueue(&q);
//根节点存入队列
if (root)
{
queuePush(&q, root);
}
//遍历队列中每一个节点
while (!EmptyQueue(&q))
{
//获取队头元素
BTNode* front = queueFront(&q);
//出队
queuePop(&q);
//此时无需判断左右孩子是否存在,只要当前节点存在,直接入,即使为空节点 作为后续判断依据
if (front)
{
queuePush(&q, front->_left);
queuePush(&q, front->_right);
}
else
break;
}
//剩余元素中,是否存在非空节点
while (!EmptyQueue(&q))
{
BTNode* front = queueFront(&q);
queuePop(&q);
if (front)
{
//如果剩余节点中存在非空节点 则说明该节点不连续
return 0;
}
}
return 1;
}
基于层序遍历的思想,当遍历到空节点时停止,遍历剩余元素,如果剩余元素中存在非空节点,说明节点不连续,为非完全二叉树。
-
测试代码
#include<stdio.h>
#include"BinaryTree.h"
#include"queue.h"
void test()
{
char arr[] = "ABD##E#H##CF##G##";
int idx = 0;
//创建二叉树
BTNode* root = BinaryTreeCreate(arr,&idx);
//前序遍历
printf("前序遍历: ");
BinaryTreePrevOrder(root);
printf("n");
//中序遍历
printf("中序遍历: ");
BinaryTreeInOrder(root);
printf("n");
//后序遍历
printf("后序遍历: ");
BinaryTreePostOrder(root);
printf("n");
printf("层序遍历:");
BinaryTreeLevelOrder(root);
printf("n");
printf("树高: %dn", BinaryTreeHigh(root));
printf("树节点数: %dn",BinaryTreeSize(root));
printf("叶子节点数: %dn", BinaryTreeLeafSize(root));
printf("第%d层子节点数: %dn",3, BinaryTreeLevelKSize(root,3));
int k = BinaryTreeComplete(root);
printf("%d ",k);
if (k)
printf("完全二叉树n");
else
printf("非完全二叉树n");
}
int main()
{
test();
return 0;
}
-
测试结果



最后
以上就是乐观手链最近收集整理的关于C语言实现二叉树C语言实现二叉树的全部内容,更多相关C语言实现二叉树C语言实现二叉树内容请搜索靠谱客的其他文章。
发表评论 取消回复