Ⅰ.标准化处理
i.i. 正向指标(效益型)

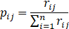
i.ii. 逆向指标(成本型)

Ⅱ.计算比重

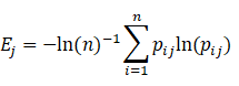
Ⅲ.计算信息熵

Ⅳ.计算冗余度

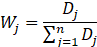
Ⅴ.计算权重

Ⅵ.举例演示
以下列数据为例,评判哪家企业更适合投资

vi.i. 标准化处理(一般只用正向指标的计算公式处理数据)


vi.ii. 计算比重

vi.iii. 计算信息熵



vi.iv. 计算冗余度

vi.v. 计算权重

vi.vi. 计算各企业得分


以企业1为例,得分的计算:
8350*0.21+5300*0.17+6135*0.24+0.82*0.21+0.17*0.17=4126.60
根据各企业得分,由此可知,企业3更适合投资
最后
以上就是爱撒娇八宝粥最近收集整理的关于权重的计算(熵权法)Ⅰ.标准化处理Ⅱ.计算比重Ⅲ.计算信息熵Ⅳ.计算冗余度Ⅴ.计算权重Ⅵ.举例演示的全部内容,更多相关权重内容请搜索靠谱客的其他文章。
本图文内容来源于网友提供,作为学习参考使用,或来自网络收集整理,版权属于原作者所有。
发表评论 取消回复