01背包问题
有n个重量和价值分别为wi,vi的物品。从这些物品中挑选出总重量不超过W的物品 ,求所有挑选方案中价值总和的最大值,每件物品只可以挑选一次。
输入
n=4
(w,v)={(2,3),(1,2),(3,4),(2,2)}
W=5
输出
7
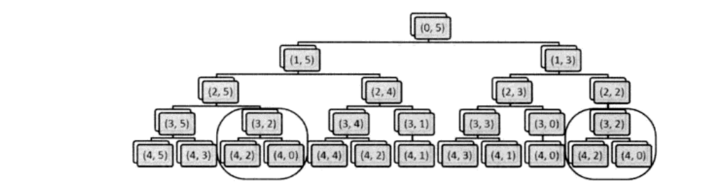
最朴素的递归求解
#include<iostream>
using namespace std;
int *w,*v;//物品的重量,价值
int n;//物品的个数
int Rec(int i,int weight)//是否选取第i个物品
{
int res;
if(i==n)//物品已经选取完毕
res=0;
else if(weight<w[i])//第i个物品重量大于剩余重量weight
res=Rec(i+1,weight);
else
res=max(Rec(i+1,weight),Rec(i+1,weight-w[i])+v[i]);//比较选取第i个物品和不选第i个物品的情况
return res;
}
int main()
{
int W;//物品最大重量
cin>>n>>W;
w=new int[n];
v=new int[n];
for(int i=0;i<n;i++)
cin>>w[i]>>v[i];
cout<<Rec(0,W);
return 0;
}
改进后
由上述代码可知,只要Rec函数的参数一样返回的结果就一样,可能会出现重复计算的可能

所以引入一个dp数组用来存储已经计算过的Rec(前i个物品重量不超过j的最大价值)。
#include<iostream>
#include<string.h>
#define MAX 10
using namespace std;
int *w,*v;//物品的重量,价值
int n;//物品的个数
int dp[MAX][MAX];
int Rec(int i,int weight)//是否选取第i个物品
{
if(dp[i][weight]>=0)//>=0表示已经计算过
return dp[i][weight];
int res;
if(i==n)//物品已经选取完毕
res=0;
else if(weight<w[i])//第i个物品重量大于剩余重量weight
res=Rec(i+1,weight);
else
res=max(Rec(i+1,weight),Rec(i+1,weight-w[i])+v[i]);//比较选取第i个物品和不选第i个物品的情况
return dp[i][weight]=res;
}
int main()
{
int W;//物品最大重量
memset(dp,-1,sizeof(dp));//初始化dp数组所有值为-1,表示未计算过
cin>>n>>W;
w=new int[n];
v=new int[n];
for(int i=0;i<n;i++)
cin>>w[i]>>v[i];
cout<<Rec(0,W);
return 0;
}
再作改进
根据上面的dp记忆化数组的定义可知,dp[i][j]表示,从第i个物品开始选取总重量不大于j的物品的价值最大值,它的递推关系式也可导出,

所以可以将上面改进过的算法再作一点改进(虽然算法复杂度是一样的,但是会很简洁)
void solve()
{
for(int i=n-1;i>=0;i--)
for(int j=0;j<=W;j++)
{
if(j<w[i])
dp[i][j]=dp[i+1][j];
else
dp[i][j]=max(dp[i+1][j],dp[i+1][j-w[i]]+v[i]);
}
cout<<dp[0][W];
}
01背包问题变种
最后改进的代码是以物品的重量为变量进行动态规划,但是一旦物品的重量很大,那么该算法的复杂度就会大大增加,现在就重量较大,价值较小的问题来进行解决,将DP的对象改为价值。
dp[i+1][j]代表前i个物品价值为j的最小重量,由此可以得到关于dp的递推关系式:
dp[0][0]=0
dp[0][j]=INF,不存在这种情况,所以赋予一个足够大的值
dp[i+1][j]=min(dp[i][j],dp[i][j-v[i]]+w[i])/dp[i][j]
于是由递推关系式就可以解决该问题
#include<iostream>
#define Max_v 10
#define Max_n 10
#define Max 10
#define INF 50
using namespace std;
int dp[Max][Max_n*Max_v];
int n;
int W;
int *w,*v;
void solve()
{
for(int i=0;i<n;i++)
for(int j=0;j<Max_n*Max_v;j++)
{
if(j<v[i])
dp[i+1][j]=dp[i][j];
else
dp[i+1][j]=min(dp[i][j],dp[i][j-v[i]]+w[i]);
}
int tmp;
for(int i=0;i<Max_n*Max_v;i++)
if(dp[n][i]<=W)
tmp=i;
cout<<tmp;
}
int main()
{
dp[0][0]=0;
for(int i=1;i<Max_n*Max_v;i++)
dp[0][i]=INF;
cin>>n>>W;
w=new int[n];
v=new int[n];
for(int i=0;i<n;i++)
cin>>w[i]>>v[i];
solve();
return 0;
}
最后
以上就是勤奋音响最近收集整理的关于DP动态规划之背包问题(一)的全部内容,更多相关DP动态规划之背包问题(一)内容请搜索靠谱客的其他文章。
本图文内容来源于网友提供,作为学习参考使用,或来自网络收集整理,版权属于原作者所有。
发表评论 取消回复