leetcode144-二叉树的前序遍历
- 1、问题描述
- 2、递归解法
1、问题描述
给你二叉树的根节点 root ,返回它节点值的 前序 遍历。
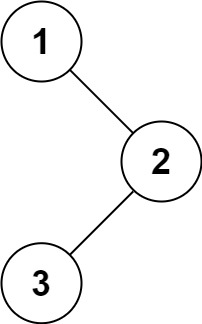
示例1:

输入:root = [1,null,2,3]
输出:[1,2,3]
示例2:
输入:root = []
输出:[]
示例3:
输入:root = [1]
输出:[1]
示例4:

输入:root = [1,2]
输出:[1,2]
最后
以上就是奋斗香水最近收集整理的关于leetcode144-二叉树的前序遍历1、问题描述2、递归解法的全部内容,更多相关leetcode144-二叉树内容请搜索靠谱客的其他文章。
本图文内容来源于网友提供,作为学习参考使用,或来自网络收集整理,版权属于原作者所有。
发表评论 取消回复