二叉树设计
/**
* Definition for a binary tree node.
* public class TreeNode {
* int val;
* TreeNode left;
* TreeNode right;
* TreeNode() {}
* TreeNode(int val) { this.val = val; }
* TreeNode(int val, TreeNode left, TreeNode right) {
* this.val = val;
* this.left = left;
* this.right = right;
* }
* }
*/
1. 二叉搜索树中的搜索
题目描述
力扣链接
给定二叉搜索树(BST)的根节点 root 和一个整数值 val。
你需要在 BST 中找到节点值等于 val 的节点。 返回以该节点为根的子树。 如果节点不存在,则返回 null 。

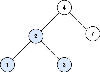
示例 1:
输入:root = [4,2,7,1,3], val = 2
输出:[2,1,3]
代码
class Solution {
public TreeNode searchBST(TreeNode root, int val) {
if(root == null) return null;
TreeNode node = root;
while(node != null){
if(val == node.val) return node;
if(val < node.val) node = node.left;
else if(val > node.val) node = node.right;
}
return null;
}
}
2. 验证二叉搜索树(双指针 + 中序遍历)
题目描述
力扣链接
给你一个二叉树的根节点 root ,判断其是否是一个有效的二叉搜索树。
有效 二叉搜索树定义如下:
-
节点的左子树只包含 小于 当前节点的数。
-
节点的右子树只包含 大于 当前节点的数。
-
所有左子树和右子树自身必须也是二叉搜索树。
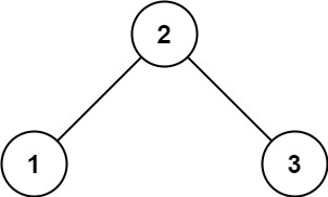
示例 1:

输入:root = [2,1,3]
输出:true
代码
//(双指针 + 中序遍历)
class Solution {
public boolean isValidBST(TreeNode root) {
if(root == null) return true;
TreeNode pre = null; //定义前置指针
Deque<TreeNode> stack = new ArrayDeque<>();
TreeNode cur = root;
while(cur != null || !stack.isEmpty()){
if(cur != null){
stack.push(cur);
cur = cur.left;
}else{
cur = stack.pop();
//vist
if(pre != null && pre.val >= cur.val){
return false;
}
pre = cur;
cur = cur.right;
}
}
return true;
}
}
//递归
class Solution {
//记录前一个节点
long val = Long.MIN_VALUE;
boolean flag = true;
public boolean isValidBST(TreeNode root) {
if(root == null) return flag;
isValidBST(root.left);
if(root.val <= val){
flag = false;
}
val = root.val;
isValidBST(root.right);
return flag;
}
}
3. 删除二叉搜索树中的节点
题目描述
力扣链接
给定一个二叉搜索树的根节点 root 和一个值 key,删除二叉搜索树中的 key 对应的节点,并保证二叉搜索树的性质不变。返回二叉搜索树(有可能被更新)的根节点的引用。
一般来说,删除节点可分为两个步骤:
首先找到需要删除的节点;
如果找到了,删除它。
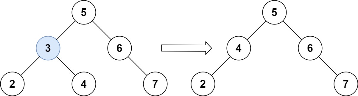
示例 1:

输入:root = [5,3,6,2,4,null,7], key = 3
输出:[5,4,6,2,null,null,7]
解释:给定需要删除的节点值是 3,所以我们首先找到 3 这个节点,然后删除它。
一个正确的答案是 [5,4,6,2,null,null,7], 如下图所示。
另一个正确答案是 [5,2,6,null,4,null,7]。

代码
class Solution {
public TreeNode deleteNode(TreeNode root, int key) {
root = delete(root,key);
return root;
}
private TreeNode delete(TreeNode root, int key) {
if (root == null) return null;
if(root.val > key) root.left = delete(root.left, key);
else if(root.val < key) root.right = delete(root.right, key);
else{//删除逻辑
if(root.left == null) return root.right; //左子树为空,直返回右子树
if(root.right == null) return root.left; //有子树为空,直返回做子树
//选取右子树的最左叶子结点作为删除结点的根节点
TreeNode tmp = root.right;
//找到最左叶子节点
while (tmp.left != null) {
tmp = tmp.left;
}
//将该节点赋给当前结点,其实是一种交换逻辑
root.val = tmp.val;
//然后将该叶子结点删除
root.right = delete(root.right,tmp.val);
}
return root;
}
}
最后
以上就是火星上茉莉最近收集整理的关于二叉搜索树二叉树设计1. 二叉搜索树中的搜索2. 验证二叉搜索树(双指针 + 中序遍历)3. 删除二叉搜索树中的节点的全部内容,更多相关二叉搜索树二叉树设计1.内容请搜索靠谱客的其他文章。
本图文内容来源于网友提供,作为学习参考使用,或来自网络收集整理,版权属于原作者所有。
发表评论 取消回复