作者:桂。
时间:2018-01-10 18:41:05
链接:http://www.cnblogs.com/xingshansi/p/8260315.html
前言
主要记录工程应用中的自相关操作,以及自相关的一些理论性质。
代码实现可参考:Xilinx 常用模块汇总(verilog)【03】
一、自相关函数
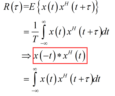
自相关的定义式:
![]()
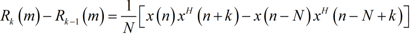
实际操作中,通常假设随机信号独立同分布,依托遍历性近似估计R矩阵:

k表示相关函数的时间间隔,m表示起始时刻,N表示截取的时间片。
为了便于表示,假设:
![]()
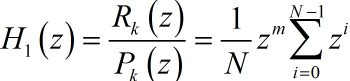
相关矩阵的估计,可以提取系统的响应函数:

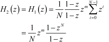
进一步处理系统响应函数:

由此得出结论:
重复累加的操作可以通过递归的思路实现,这样一来节省了乘法器资源。
递归的结构:

即:

至此便完成了自相关的硬件估计思路:3加法器 + 复数乘法器,即可完成估计。
二、参数的选取
自相关的参数,其影响因素主要包括:对信噪比SNR的提升、兔耳效应的抑制、对窄脉冲的适应能力。
1-对SNR的提升
该部分参考:《基于多相滤波的超宽带接收机研究及FPGA实现》。
信号形式定义为:

m点自相关:

其中

该信号均值为0,方差为
,当m>>1时其近似为高斯分布,输出信噪比:

可以看出信噪比增益近似为:
,增益的下限由灵敏度及最小检测门限有关。
2-兔耳效应的抑制
该部分为优化内容,即使不能严格满足,依然可以借助其他方式改善性能,自相关点数不必严格受此局限。信道化体制下,假设每个信道的滤波器阶数为M0,则兔耳宽度为M0-1,信号宽度为N0(受窄脉冲要求限定),则自相关间隔(第一部分的k值)在M0-1<x<N0,较为理想。
3-对窄脉冲的适应能力
窄脉冲宽度与AD性能决定了信号的数字宽度,此时的间隔k+点数N应<=信号宽度。
三、自相关函数与卷积的对应关系
自相关函数的傅里叶变换是功率谱,自相关与卷积具有数学上的关联,二者在硬件实现时可互相借鉴思路:

转载于:https://www.cnblogs.com/xingshansi/p/8260315.html
最后
以上就是老迟到玉米最近收集整理的关于工程应用中的自相关操作的全部内容,更多相关工程应用中内容请搜索靠谱客的其他文章。
发表评论 取消回复