switch语句
switch语句又称开关语句,它与多重if语句类似,前者用于等值判断,后者用于区间值的判断。switch语句的作用是根据表达式的值,跳转到不同的语句。switch 语句用于基于不同的条件来执行不同的动作。
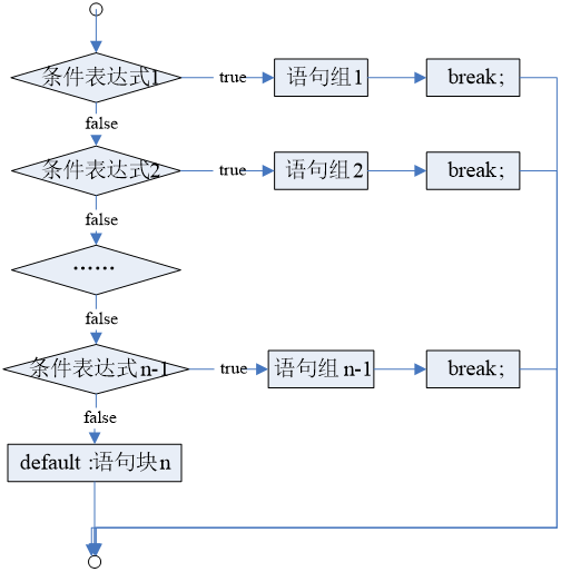
语法:
switch(表达式)
{
case常量表达式1;
语句1;
break;
case常量表达式2;
语句2;
break;
…
default:
语句m;
break;
}
首先设置表达式,随后表达式的值会与结构中的每个case 的常量表达式做比较。如果存在匹配,则与该 case 关联的代码块会被执行。使用 break 来阻止代码自动地向下一个 case 运行。default 关键词来规定匹配不存在时做的事情,也就是说,当没有匹配的值时,执行default下的语句。

例子:
var week=5;
switch(week) {
case 1:
alert("周一");
break;
case 2:
alert("周二");
break;
case 3:
alert("周三");
break;
case 4:
alert("周四");
break;
case 5:
alert("周五");
break;
case 6:
alert("周六");
break;
case 7:
alert("周日");
break;
default:
alert("数字不合法");
}
注意:
1、每个case语句下的break语句一般不可以省略,break语句表示退出switch语句,如果省略,则会继续执行下一个case语句中的代码,直到遇到break语句跳出switch语句。
2、default语句可以出现在switch语句中任何地方,如果放在最后,其中的break语句可省略。default语句也可省略。

最后
以上就是会撒娇大象最近收集整理的关于switch多条件选择语句的全部内容,更多相关switch多条件选择语句内容请搜索靠谱客的其他文章。
本图文内容来源于网友提供,作为学习参考使用,或来自网络收集整理,版权属于原作者所有。
发表评论 取消回复