本文作者:L_Leisure,行者AI工作室;转载请注明来源;

背景
在工作中需要对一些 违禁词进行拦截,实际应用场景中,需保证匹配过程在数百毫秒内给出结果。因此,如何快速,准确的识别文本中是否包含了这些关键词就变得尤为重要。
对于上述问题我们描述为以下形式。
给定关键词集合P={p1,p2,……,pk},在目标串T[1…m]中找到出现了哪些关键词。
最容易想到的方法就是针对每个单词去匹配一遍,最后总结出都哪些单词匹配成功。
考虑KMP算法,单个关键词匹配的时间复杂度是O(|pk|+m),所以,所有关键词都匹配一遍的时间复杂度为O(|p1|+m+|p2|+m+…+|pk|+m)。令n=|p1|+…+|pk|,上式化简为O(n+km),因此,当关键词的数量变得非常多时,这种算法就变得无法忍受了。
Alfred V.Aho和Margaret J.Corasick在1974年提出了一个经典的多模式匹配算法-AC算法,这个算法可以保证对于给定的长度为n的文本,和模式集合P{p1,p2,…pm},在O(n)的时间复杂度内找到文本中的所有目标模式,而与模式集合的规模m无关。
1. AC算法详解
AC自动机的基础是Trie树, 和Trie树不同的是,树中的每个结点除了有指向孩子的指针,根据被查找的目标字段开始往叶子节点逐字符匹配。在这个过程中,如果发生失配,要根据失配跳转点进行跳转,如果找到匹配的模式串则进行打印输出。AC算法在扫描文本时完全不需要回溯,如果只考虑匹配的过程,该算法的时间复杂度为O(n),也就是只跟待匹配文本的长度相关。
1.1 自动机
首先,我们解释下什么是AC自动机? 什么是自动机?

图1. 自动机状态转换图
自动机是有限状态机的数学模型,状态是什么? 比如:开关有两种状态,筛子有6种状态,如图中所示有A、B、C三种状态。自动机就是在某些外界刺激下,能够改变状态的机器。图中A状态,通过0,3,6,9的刺激,能够回滚到本身状态,通过1,4,7刺激可以到达B状态。
AC将字符匹配转换为了状态转移。即AC通过构建自动机,将字串匹配的过程,转换为了在状态机之间状态的跳转来表示字符匹配过程。
1.2 具体实现
AC算法的实现可由以下三个部分构成:
- goto表:由模式集合中的所有模式构成的状态转移自动机
- failure表:在goto表中匹配失败后状态跳转的依据
- output表:表示输出,又称:emits,即代表到达某个状态后某个模式串匹配成功
(1)构造goto表
这里我们以集合P={“he”,”she”,”his”,”hers”} 为例
首先是构建转向函数(goto),指的是一种状态之间的转向关系,为了构建goto函数,我们需要建立一个状态转移图。开始,这个图只包含一个状态0,然后通过添加一条从起始状态出发的路径的方式,依次向图中输入每个关键字keyword,新的顶点和边被加入到图表中,这样就产生了一条能拼写出关键字keyword的路径。
添加第一个关键词“he”得到下图,其中从状态0到状态2的路径就拼写出了关键字“he”。

图2. he状态转移图
接着我们构建第二个关键词 "she"。

图3. she状态转移图
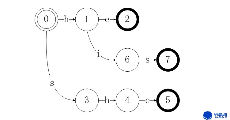
当我们增加“his”时,因为已经存在一条从状态0在输入h的条件下到达状态1的边,因此我们这里不需要另外添加一条同样的边。

图4. his状态转移图
最后我们添加 "hers",得到如下的链路,输出“hers”和状态9相关联,最后对除了h和s外的每个字符都增加一个从状态0到0的循环。

图5. hers状态转移图
至此,我们就构造了整个模式集合的状态转移图,也就是goto函数。
(2)构造failure表
失效函数failure决定了当goto函数得到的下一个状态无效时,应该回退到哪一个状态。
在构造fail函数时,我们首先要引入深度的概念,状态s的深度depth(s)定义为在goto表中从起始状态0到状态s的最短路径长度。如goto表中状态1和3的深度为1。
- 计算思路
先计算所有深度是1的状态的失效函数值,然后计算所有深度为2的状态,以此类推,直到所有状态(除了状态0,因为它的失效函数没有定义)的失效函数值都被计算出。
- 计算方法
用于计算某个状态失效函数值的算法在概念上是非常简单的。首先,令所有深度为1的状态s的函数值为f(s) = 0。假设所有深度小于d的状态的f值都已经被算出了,那么深度为d的状态的失效函数值将根据深度小于d的状态的失效函数值来计算。
- 计算过程
- 对于所有的字符a,如果goto(r,a) = fail,那么什么也不做(当r为我们上面构造的trie树的叶子节点时,就符合这种情况)
- 如果goto(r,a) == s,我们记state = fail®,执行state = f(state)零次或者若干次,直到使得goto(state,a) != fail,因为goto(0,a) != fail,所以这个状态是一定存在的
- 记fail(s) = goto(state,a)
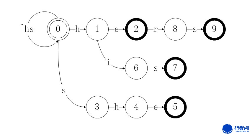
以我们上面构造的状态图为例, 我们构造出的failure表如下:

(3)构造output表
output表示输出,即代表到达某个状态后某个模式串匹配成功。该表的构造过程融合在goto表和failure表的构造过程中。
- 在构造goto表时,每个模式串结束的状态都加入到output表中,也就是goto表中的黑色加粗圆圈。得到:

在构造failure表时,若f(s) = s’,则将s和s‘对应的output集合求并集。如f(5) = 2,则得到最终的output表为:

2. AC算法具体实现
以python为例

最后
以上就是诚心雪糕最近收集整理的关于AC算法在文本匹配中的应用|谛听安全智能审核的全部内容,更多相关AC算法在文本匹配中内容请搜索靠谱客的其他文章。
发表评论 取消回复