我是靠谱客的博主 满意凉面,这篇文章主要介绍现欲设计一个电子商务网站系统,该系统需要记录如下信息,其中下划线为标识信息: •客户有客户名、联系电话、配送地址; •商品有商品名、类别; •店铺有店铺名、信誉度、注册地址; •同一商品会在不,现在分享给大家,希望可以做个参考。
题目要求
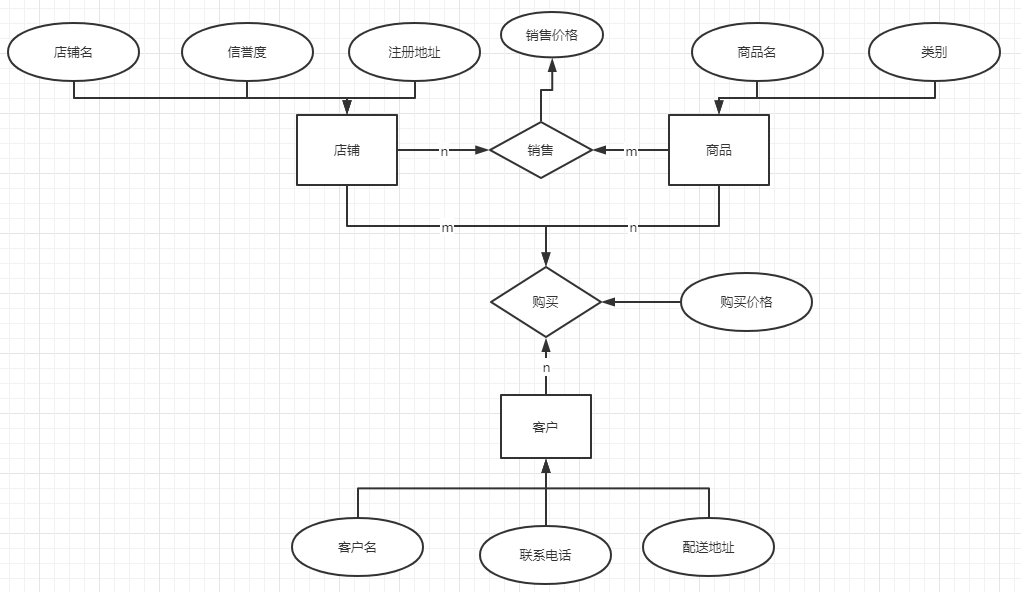
现欲设计一个电子商务网站系统,该系统需要记录如下信息,其中下划线为标识信息:
-
客户有客户名、联系电话、配送地址;
-
商品有商品名、类别;
-
店铺有店铺名、信誉度、注册地址;
-
同一商品会在不同的店铺销售,同一店铺会销售不同的商品,各个店铺销售同一商品的销售价格可以不同;
-
不同的客户会向不同的店铺购买不同的商品,不同客户在同一店铺购买相同商品时成交价格可以不同。
根据以上描述,试画出相应的ER图。
将上面的ER图转换为相应的关系模式,并说明各关系模式的主码。
er图

注意:er图中的箭头无特殊含义
关系模式
店铺(店铺名、信誉度、注册地址)
PK:店铺名
商品(商品名、类别)
PK:商品名
客户(客户名、联系电话、配送地址)
PK:客户名
购买(客户名,店铺名,商品名,商品价格)
PK:(客户名,店铺名,商品名)
销售(商品名,店铺名,销售价格)
PK:(商品名,店铺名)
最后
以上就是满意凉面最近收集整理的关于现欲设计一个电子商务网站系统,该系统需要记录如下信息,其中下划线为标识信息: •客户有客户名、联系电话、配送地址; •商品有商品名、类别; •店铺有店铺名、信誉度、注册地址; •同一商品会在不的全部内容,更多相关现欲设计一个电子商务网站系统,该系统需要记录如下信息,其中下划线为标识信息:内容请搜索靠谱客的其他文章。
本图文内容来源于网友提供,作为学习参考使用,或来自网络收集整理,版权属于原作者所有。
发表评论 取消回复