决策算法前景理论
step1,获得决策矩阵
step2,获得正负理想解
step3,计算正理想解集,负理想解集到方案解集的欧氏距离。
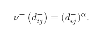
step4,计算决策方案的正负价值函数。
因为正理想解集作为参考对象,对于决策者而言方案均属损失型,得负前景价值函数

因为负理想解集作为参考对象,对于决策者而言方案均属于收益型,到正前景值价值函数

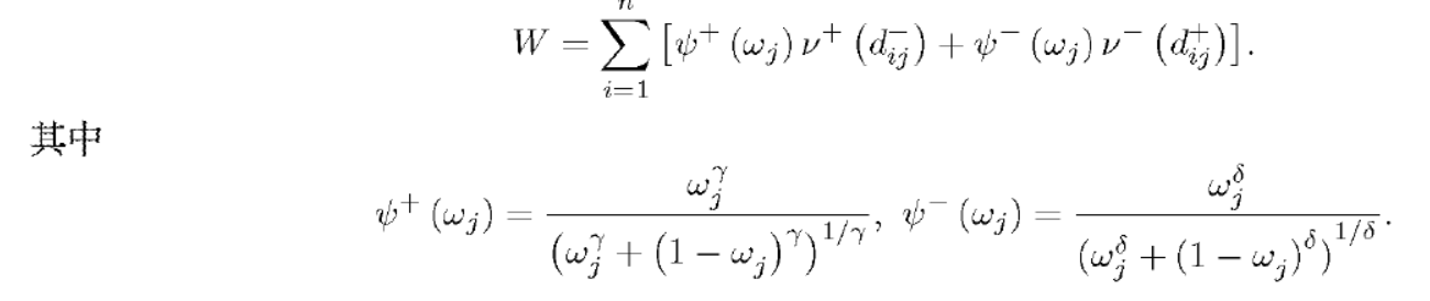
step5,计算前景值

论文数据来自《基于前景理论的勾股模糊多属性决策》和《基于前景理论的信息不完全的模糊多准则决策方法》



完整代码如下
'''罗南方前景理论论文代码,失败'''
import pandas as pd
import numpy as np
import myIO
def getw(dfp,dfn,w,gamma,delta):
wp=(w**gamma)/((w**gamma+(1-w)**gamma)**(1/gamma))
wn=(w**delta)/((w**delta+(1-w)**delta)**(1/delta))
df=np.multiply(wp,dfp)+np.multiply(wn,dfn)
return df.sum(axis=1)
if __name__ == '__main__':
gamma = 0.55
delta = 0.49
alpha = 1.21
beta = 1.02
thet = 2.25
w = np.array([0.16, 0.22, 0.21, 0.21, 0.2])
url='D:study\testdata\t16.xlsx'
df1 = myIO.getdef(url,0)
df2= myIO.getdef(url,1)
d=df1**beta#将正理想矩阵转为正价值矩阵
df1=-df1*thet
print(d)
f=df2*alpha
print(f)#将负理想矩阵转为负价值矩阵
print(getw(d,f,w,gamma,delta).tolist())
gamma1 = 0.61
delta1 = 0.69
alpha1 = 1.88
beta1 = 1.88
thet1= 2.25
url1 ='D:study\testdata\t17.xlsx'
w1 = np.array([0.1503, 0.1967, 0.2167, 0.05, 0.1954, 0.19])
df3 = myIO.getdef(url1,0)
df4= myIO.getdef(url1,1)
print(getw(df4,df3,w1,gamma1,delta1))
最后
以上就是超级紫菜最近收集整理的关于python实现前景理论的全部内容,更多相关python实现前景理论内容请搜索靠谱客的其他文章。
本图文内容来源于网友提供,作为学习参考使用,或来自网络收集整理,版权属于原作者所有。
发表评论 取消回复