原文链接:https://blog.csdn.net/justidle/article/details/106297779
前置知识
C 和 C++ 的数组、指针。
什么是双指针
严格的来说,双指针只能说是是算法中的一种技巧。
双指针指的是在遍历对象的过程中,不是普通的使用单个指针进行访问,而是使用两个相同方向(快慢指针)或者相反方向(对撞指针)的指针进行扫描,从而达到相应的目的。
双指针问题套路
通俗的说,就是在数组遍历中,我们使用两个指针进行操作。所以双指针问题基本有以下几个细节:
1、双指针的初始位置。根据双指针的分类,有两种可能。具体看下面的介绍。
2、双指针的移动方法。根据双指针的分类,有两种可能。具体看下面的介绍。
3、遍历的结束条件。根据双指针的分类,有两种可能。具体看下面的介绍。
对撞指针
对撞指针是指在数组中,将指向最左侧的索引定义为左指针(left),最右侧的定义为右指针(right),然后从两头向中间进行数组遍历。快速排序就是典型的双指针问题。
我们假设数组名字为 nums,数组长度为 n,数组首元素对应的位置为 0。
代码细节
指针初始位置
左指针(left)一般指向数组的第一个元素。即 left = 0。
右指针(right)一般指向数组的第一个元素。即 right = n-1。
指针移动方法
左指针(left)向右边????移动,一般每次移动一个位置,即 left++。
右指针(right)向左边????移动,一般每次移动一个位置,即 right–。
结束条件
左指针(left)位置和右指针(right)位置逆序。
从上面的描述可知,开始的时候,right >= left。因此结束的条件就是 right < left。
伪代码
function fn(int list[], int len) {
int left = 0;
int right = len - 1;
//遍历数组
while (left <= right) {
left++;
// 一些条件判断 和处理
... ...
right--;
}
}
例题
我们使用 LeetCode 881 救生艇为例,https://leetcode-cn.com/problems/boats-to-save-people/。
解题大致思路为:
1、排序。
2、初始化双指针。
3、遍历。每次都用一个最重的和一个最轻的进行配对,如果二人重量小于 Limit,则此时的最轻的上船,left++。不管最轻的是否上船,最重的都要上船,right–。并且所需船数量加一,num++。
AC 参考代码
class Solution {
public:
int numRescueBoats(vector<int>& people, int limit) {
sort(people.begin(), people.end());//排序
int ans = 0;//答案
int left = 0;//左指针
int right = people.size() - 1;//右指针
while (left<=right) {
if (people[left]+people[right]<=limit) {
left++;
}
right--;
ans++;
}
return ans;
}
};
快慢指针
快慢指针是两个指针从同一侧开始遍历数组,将这两个指针分别定义为快指针(fast)和慢指针(slow),两个指针以不同的策略移动,直到两个指针的值相等(或其他特殊条件)为止,如快指针(fast)每次增长两个,慢指针(slow)每次增长一个。
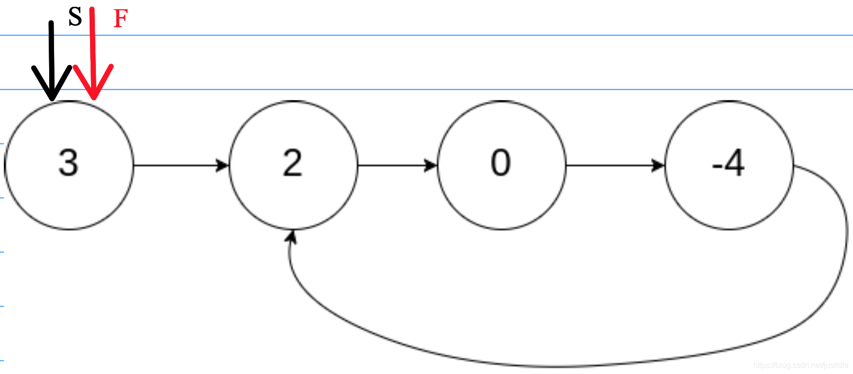
一般来说,快慢指针常用于判断链表等数据结构中是否有环。比如下图所示的一个链表。

图解
下面我们用一系列图像说明,快慢指针查找环的过程。
初始位置
如下图所示,慢指针(slow)和快指针(fast)同时指向第一个元素。

移动一次
慢指针(slow)向后移动一个位置,快指针(fast)向后移动两个位置,如下图所示。

移动两次
慢指针(slow)向后移动一个位置,快指针(fast)向后移动两个位置,如下图所示。

移动三次
慢指针(slow)向后移动一个位置,快指针(fast)向后移动两个位置,如下图所示。我们发现慢指针(slow)和快指针(fast)重合,说明有环。

代码细节
指针初始位置
慢指针(slow)一般指向数组的第一个元素。即 slow = 0。
快指针(fast)一般指向数组的第一个元素。即 fast = 1。
指针移动方法
慢指针(slow)向右边????移动,一般每次移动一个位置,即 slow++。
快指针(fast)向右边????移动,一般每次移动两个个位置,即 fast += 2。
结束条件
慢指针(slow)位置和快指针(fast)位置重合;快指针(fast)达到数组的最后一个元素。
特别注意,要判断达到最后一个元素。否则会出现死循环。
伪代码
注意:伪代码只是表示一种结构。
function fn(LinkList *list, int len) {
int slow = 0;
int fast = 1;
//遍历数组
while (slow != fast) {
slow++;
// 一些条件判断 和处理
... ...
fast+=2;
}
}
例题
我们使用 LeetCode 141 环形链表为例,https://leetcode-cn.com/problems/linked-list-cycle/。
解题大致思路为:
1、排序。
2、初始化双指针。
3、遍历。
AC 参考代码
/**
* Definition for singly-linked list.
* struct ListNode {
* int val;
* ListNode *next;
* ListNode(int x) : val(x), next(NULL) {}
* };
*/
class Solution {
public:
bool hasCycle(ListNode *head) {
ListNode *slow = head;//慢指针
ListNode *fast = head;//快指针
while (NULL!=fast && NULL!=fast->next && NULL!=fast->next->next) {
//修改位置
slow = slow->next;
fast = fast->next->next;
//判断有环
if (slow==fast) {
return true;
}
}
//无环
return false;
}
};
最后
以上就是开放鞋垫最近收集整理的关于算法技巧——双指针算法前置知识什么是双指针双指针问题套路对撞指针代码细节伪代码例题AC 参考代码快慢指针的全部内容,更多相关算法技巧——双指针算法前置知识什么是双指针双指针问题套路对撞指针代码细节伪代码例题AC内容请搜索靠谱客的其他文章。
发表评论 取消回复