当我们学习到离散时间非周期信号的傅里叶变换的时候,我们已经走到了频域分析的尾声。回顾之前所学,我们发现,其实连续时间和离散时间的傅里叶变换是有诸多相似之处的,但是两者之间却又有某些重大的不同。那么,下面我们就一起来看看 DTFT。
文章目录
- 一、基本公式
- 二、离散时间傅里叶变换的收敛性
- 三、常见信号的 DTFT
- 3.1 单边指数信号: a n u [ n ] a^nu[n] anu[n]
- 3.2 单位冲激函数
- 3.3 直流信号
- 3.4 门信号
- 3.5 离散时间周期信号的傅里叶变换
- 四、DTFT 有别于 CTFT 的几点性质
- 4.1 时域内插
- 4.2 频域微分
- 4.3 帕斯瓦尔定理
一、基本公式
我们先回顾一下对于离散时间的周期方波,它的 DFS 是长什么样的:

N 表示周期,N1 表示脉冲宽度。我们都可以看到,对于 DFS 而言,它是以 N 为周期的
当周期 N 趋于无穷时,周期信号就演变成了非周期信号。频谱也变成了上述 DFS 的包络。那么这就是傅里叶变换了。
离散时间非周期信号的傅里叶正变换:
X
(
e
j
ω
)
=
∑
n
−
∞
+
∞
x
[
n
]
e
−
j
ω
n
X(e^{jω}) = sum_{n - ∞}^{+∞}x[n]e^{-jωn}
X(ejω)=n−∞∑+∞x[n]e−jωn
离散时间非周期信号傅里叶逆变换公式:
x
[
n
]
=
1
2
π
∫
2
π
X
(
e
j
ω
)
e
j
ω
n
d
ω
x[n] =frac{1}{2π} int_{2π}X(e^{jω})e^{jωn}dω
x[n]=2π1∫2πX(ejω)ejωndω
我们对比这两幅图,思考下面的一个问题:离散时间傅里叶变换得到的
X
(
e
j
ω
)
X(e^{jω})
X(ejω) 是否具有周期性?
—— 答案是:YES!
X
(
e
j
ω
)
X(e^{jω})
X(ejω) 是以
2
π
2π
2π 为周期的。
二、离散时间傅里叶变换的收敛性
大家回顾一下,我们在上一篇 B l o g Blog Blog 里面说过:对于 DFS 来说,它是一定收敛的,所以不存在收敛条件的问题。但是对于 DTFT 而言,我们有下面两个条件,满足其中之一即可收敛: ∑ n = − ∞ + ∞ ∣ x [ n ] ∣ 2 < ∞ ∑ n = − ∞ + ∞ ∣ x [ n ] ∣ < ∞ sum_{n = -∞}^{+∞}|x[n]|^2 < ∞\ space\ sum_{n=-∞}^{+∞}|x[n]| < ∞ n=−∞∑+∞∣x[n]∣2<∞ n=−∞∑+∞∣x[n]∣<∞
三、常见信号的 DTFT
3.1 单边指数信号: a n u [ n ] a^nu[n] anu[n]
它的频谱我们是必须要记住的:
X
(
e
j
ω
)
=
1
1
−
a
e
−
j
ω
X(e^{jω}) = frac{1}{1 - ae^{-jω}}
X(ejω)=1−ae−jω1
不过这里需要区别于连续时间的单边复指数信号
e
−
a
t
u
(
t
)
e^{-at}u(t)
e−atu(t),它的频谱是:
X
(
j
ω
)
=
1
a
+
j
ω
X(jω) = frac{1}{a + jω}
X(jω)=a+jω1
对于这个 X ( e j ω ) = 1 1 − a e − j ω X(e^{jω}) = frac{1}{1 - ae^{-jω}} X(ejω)=1−ae−jω1 我们还是有很多东西需要挖掘一下的:首先,这个频谱是一个复数,那么,我们需要从幅值和相角两个方面来讨论。其二、这个 a a a 的取值也会使得频谱形状有较大的改变。
它的幅度我们可以表示为:
∣
X
(
e
j
ω
)
∣
=
1
1
+
a
2
−
2
a
c
o
s
ω
|X(e^{jω})| = frac{1}{sqrt{1+a^2 - 2acosω}}
∣X(ejω)∣=1+a2−2acosω1
相位这里不再赘述,我们下面看看在
0
<
a
<
1
0 < a < 1
0<a<1 的情况下的幅频特性和相频特性:
通过幅频特性曲线我们可以发现:该频谱在 频率为 2 k π 2kπ 2kπ 附近有较大的幅值,这就是所谓的低通滤波器(注意了:我们认为频率在 2 k π 2kπ 2kπ 附近的,都可以称之为低频成分),(频率在 k π kπ kπ 附近的,可以称之为高频成分!)
下面,我们再看看当 − 1 < a < 0 -1 < a < 0 −1<a<0 时的频响:
我们看到,只有在频率在 k π kπ kπ 附近时,幅度才有较大的值,这就变成了高通滤波器!
3.2 单位冲激函数
单位冲激函数
δ
[
n
]
δ[n]
δ[n] 的傅里叶变换就是幅度为 1 的直流信号

3.3 直流信号
x [ n ] = 1 x[n] = 1 x[n]=1 的傅里叶变换为: ∑ k = − ∞ + ∞ 2 π δ ( ω − 2 k π ) sum_{k=-∞}^{+∞}2πδ(ω - 2kπ) ∑k=−∞+∞2πδ(ω−2kπ)
3.4 门信号
这个大家也不需要特别记忆,但是万一遇到了要会推导。(这里的推导还是需要一定的技巧的)
对于:
x
[
n
]
=
{
1
∣
n
∣
≤
N
1
0
∣
n
∣
>
N
1
x[n] = begin{cases} 1 quad |n| ≤ N_1\ 0 quad |n| > N_1 end{cases}
x[n]={1∣n∣≤N10∣n∣>N1
首先,我们直接上公式:
X
(
e
j
ω
)
=
∑
n
=
−
∞
+
∞
x
[
n
]
e
−
j
ω
n
=
∑
n
=
−
N
1
+
N
1
x
[
n
]
e
−
j
ω
n
begin{aligned} X(e^{jω}) &= sum_{n = -∞}^{+∞}x[n]e^{-jωn}\ &=sum_{n = -N_1}^{+N_1}x[n]e^{-jωn}\ end{aligned}
X(ejω)=n=−∞∑+∞x[n]e−jωn=n=−N1∑+N1x[n]e−jωn
下面我们令:
m
=
n
+
N
1
m = n + N_1
m=n+N1,那么带入上式,就得到:
X
(
e
j
ω
)
=
∑
m
=
0
2
N
1
e
−
j
ω
(
m
−
N
1
)
(
x
[
n
]
=
1
)
=
e
j
ω
N
1
∑
m
=
0
2
N
1
e
−
j
ω
m
begin{aligned} X(e^{jω}) &= sum_{m=0}^{2N_1}e^{-jω(m-N_1)}quad(x[n] = 1)\ & = e^{jωN_1}sum_{m=0}^{2N_1}e^{-jωm} end{aligned}
X(ejω)=m=0∑2N1e−jω(m−N1)(x[n]=1)=ejωN1m=0∑2N1e−jωm
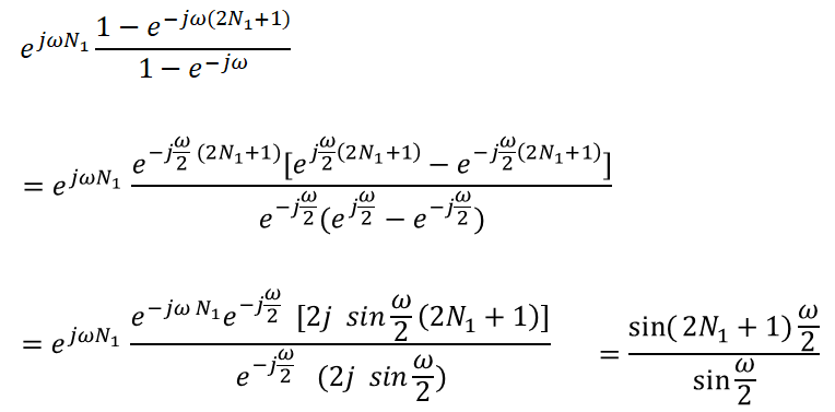
对于:
∑
m
=
0
2
N
1
e
−
j
ω
m
sum_{m=0}^{2N_1}e^{-jωm}
∑m=02N1e−jωm ,我们就可以看成是一个等比数列求和了:
因此,我们得到下面的一系列推导:

大家特别注意一下:提取因子的技巧(提取半频率)

3.5 离散时间周期信号的傅里叶变换
大家记住这个公式: X ( e j ω ) = 2 π ∑ k = − ∞ + ∞ a k δ ( ω − k 2 π N ) X(e^{jω}) = 2πsum_{k=-∞}^{+∞}a_kδ(ω - kfrac{2π}{N}) X(ejω)=2πk=−∞∑+∞akδ(ω−kN2π)
四、DTFT 有别于 CTFT 的几点性质
4.1 时域内插
我们知道,对于连续时间信号而言,假设把它做一定比例的压缩,再做一个拉伸,信号是能够恢复成原来的样子的。但是对于离散时间信号而言,对他的压缩相当于丢掉了一部分信息,那么此时再拉伸是无法变回去的。因此,下面我们看看对于离散时间信号而言,时域内插对 DTFT 有什么影响:
我们定义: x ( k ) [ n ] = { x [ n k ] , n 为 k 的 整 数 倍 时 0 , n 不 是 k 的 整 数 倍 时 x_{(k)}[n] = begin{cases} x[frac{n}{k}], quad n为k 的整数倍时\ 0, quad n 不是k的整数倍时 end{cases} x(k)[n]={x[kn],n为k的整数倍时0,n不是k的整数倍时
那么,当 k 是正数的时候,这样的操作就是相当于拉伸。那么我们记住: x ( k ) [ n ] F ↔ X ( e j k ω ) x_{(k)}[n] space underleftrightarrow{mathscr{F}} space X(e^{jkω}) x(k)[n] F X(ejkω)

另外,还给了我们一个启发:时域扩展,对频谱而言就表现成压缩。
4.2 频域微分
注意是 “频域”,我们之前学习 CTFT 的时候讲的是时域微分。这里需要区分。我们下面直接给出i性质: x [ n ] F ↔ X ( e j ω ) ( − j n ) x [ n ] F ↔ d ( X ( e j ω ) ) d ω x[n] space underleftrightarrow{mathscr{F}} space X(e^{jω})\ space\ (-jn)x[n] space underleftrightarrow{mathscr{F}} space frac{d(X(e^{jω}))}{dω} x[n] F X(ejω) (−jn)x[n] F dωd(X(ejω))
4.3 帕斯瓦尔定理
等式左边是时域信号的能量: ∑ n = − ∞ + ∞ ∣ x [ n ] ∣ 2 = 1 2 π ∫ 2 π ∣ X ( e j ω ) ∣ 2 d ω sum_{n=-∞}^{+∞}|x[n]|^2 = frac{1}{2π}int_{2π}|X(e^{jω})|^2dω n=−∞∑+∞∣x[n]∣2=2π1∫2π∣X(ejω)∣2dω
至此,我们关于信号频域分析的系列 B l o g Blog Blog 就要告一段落啦!后面的 B l o g Blog Blog 将会重点聚焦滤波器、采样、通信系统、拉普拉斯变换等内容。see you!
最后
以上就是神勇玉米最近收集整理的关于【信号与系统学习笔记】—— 离散时间非周期信号的傅里叶变换 (DTFT)【概念+性质 一站式全解析】一、基本公式二、离散时间傅里叶变换的收敛性三、常见信号的 DTFT四、DTFT 有别于 CTFT 的几点性质的全部内容,更多相关【信号与系统学习笔记】——内容请搜索靠谱客的其他文章。
发表评论 取消回复