教育
-科学计算与MATLAB语言-章节资料考试资料-中南大学【】
随堂测验
1、【单选题】MATLAB一词来自( )的缩写。
A、Mathematica Laboratory
B、Matrix Laboratory
C、MathWorks Lab
D、Matrices Lab
参考资料【 】
2、【单选题】下列选项中能反应MATLAB特点的是( )。
A、算法最优
B、不需要写程序
C、程序执行效率高
D、编程效率高
参考资料【 】
3、【判断题】科学计算是继科学实验和理论研究之后的第三种科学研究方法。
A、正确
B、错误
参考资料【 】
4、【判断题】利用MATLAB求解科学计算问题,完全不需要数值计算方法。
A、正确
B、错误
参考资料【 】
随堂测验
1、【单选题】当在命令行窗口执行命令时,如果不想立即在命令行窗口中输出结果,可以在命令后加上( )。
A、冒号(:)
B、逗号(,)
C、 分号(;)
D、 百分号(%)
参考资料【 】
2、【单选题】MATLAB命令行窗口中提示用户输入命令的符号是( )。
A、>
B、>>
C、>>>
D、>>>>
参考资料【 】
3、【单选题】在当前文件夹和搜索路径中都有fpp.m文件,那么在命令行窗口输入fpp时,执行的文件是( )。
A、先执行搜索路径中的fpp.m文件,再执行当前文件夹的fpp.m文件
B、搜索路径中的fpp.m文件
C、先执行当前文件夹的fpp.m文件,再执行搜索路径中的fpp.m文件
D、当前文件夹的fpp.m文件
参考资料【 】
随堂测验
1、【单选题】在命令行窗口输入: x=int8(130)则x的结果为( )。
A、127
B、129
C、128
D、-127
参考资料【 】
2、【单选题】fix(264/100)+mod(264,10)10的值是( )。
A、86
B、62
C、423
D、42
参考资料【 】
3、【判断题】函数sin(pi/2)与sind(90)的值相等。
A、正确
B、错误
参考资料【 】
随堂测验
1、【单选题】下列可作为MATLAB合法变量名的是( )。
A、合计
B、_123
C、@h
D、xyz_2a
参考资料【 】
2、【单选题】在命令行窗口输入下列命令后,x的值是( )。 clear x=ij
A、不确定
B、-1
C、1
D、ij
参考资料【 】
3、【判断题】内存变量文件是二进制格式文件,扩展名为.mat。
A、正确
B、错误
参考资料【 】
随堂测验
1、【单选题】建立矩阵时,不同行的元素之间用( )分隔。
A、逗号
B、 空格
C、分号
D、引号
参考资料【 】
2、【单选题】使用语句t=0:9生成的是( )个元素的向量。
A、8
B、9
C、6
D、10
参考资料【 】
3、【单选题】使用语句x=linspace(0,pi,6)生成的是( )个元素的向量。
A、8
B、7
C、6
D、5
参考资料【 】
随堂测验
1、【单选题】已知a为3×3矩阵,则a(:,end)是指( )。
A、所有元素
B、第一行元素
C、第三行元素
D、第三列元素
参考资料【 】
2、【单选题】执行语句A=[1,2,3;4,5,6]后,A(3)的值是( )。
A、1
B、2
C、3
D、4
参考资料【 】
3、【单选题】已知a为3×5矩阵,则执行完a(:,[2,4])=[]后( )。
A、a变成行向量
B、a变为3行2列
C、a变为3行3列
D、a变为2行3列
参考资料【 】
4、【单选题】已知a为2×3矩阵,则执行a=a(:)后( )。
A、a变成列向量
B、a变为3行2列
C、a变为3行3列
D、a变为2行3列
参考资料【 】
5、【单选题】reshape(1:6,2,3)函数执行后得到的结果是( )。
A、6个元素的行向量
B、6个元素的列向量
C、2×3矩阵
D、3×2矩阵
参考资料【 】
随堂测验
1、【判断题】在MATLAB中,右除运算符(/)和左除等价()等价。
A、正确
B、错误
参考资料【 】
2、【判断题】如果A矩阵是非奇异方阵,则B/A等效于inv(A)B。
A、正确
B、错误
参考资料【 】
3、【判断题】两个矩阵进行点乘运算时,要求它们是同型的。
A、正确
B、错误
参考资料【 】
4、【判断题】表达式(9==1)与表达式9==1的值相等。
A、正确
B、错误
参考资料【 】
随堂测验
1、【单选题】输入字符串时,要用( )将字符序列括起来。
A、[ ]
B、{ }
C、’ ’
D、" "
参考资料【 】
2、【单选题】已知ch=[‘abcdef’;‘123456’],则ch(2,4)代表的字符是( )。
A、4
B、3
C、c
D、d
参考资料【 】
3、【单选题】表达式’www0’='W123’的结果是( )。
A、1 1 0 0
B、1 1 1 0
C、1 0 0 0
D、0 0 0 1
参考资料【 】
4、【单选题】eval(‘sqrt(4)+2’)的值是( )。
A、sqrt(4)+2
B、4
C、2
D、2+2
参考资料【 】
专题一单元作业
专题一单元测验
1、【单选题】当在命令行窗口执行命令时,如果不想立即在命令行窗口中输出结果,可以在命令后加上( )。
A、冒号(:)
B、逗号(,)
C、分号(;)
D、百分号(%)
参考资料【 】
2、【单选题】fix(264/100)+mod(264,10)10的值是( )。
A、86
B、62
C、423
D、42
参考资料【 】
3、【单选题】在命令行窗口输入下列命令后,x的值是( )。 clear x=ij
A、不确定
B、1
C、-1
D、ij
参考资料【 】
4、【单选题】使用语句x=linspace(0,pi,6)生成的是( )个元素的向量。
A、5
B、6
C、7
D、8
参考资料【 】
5、【单选题】ceil(-2.1)的结果为( )。
A、-2
B、-3
C、1
D、2
参考资料【 】
6、【单选题】eval(‘sqrt(4)+2’)的值是( )。
A、sqrt(4)+2
B、4
C、2+2
D、2
参考资料【 】
7、【单选题】已知a为3×5矩阵,则执行完a(:,[2,4])=[]后( )。
A、 a变成行向量
B、a变为3行2列
C、a变为3行3列
D、a变为2行3列
参考资料【 】
8、【单选题】在命令行窗口输入以下命令 A=[1:3;4:6]; D=sub2ind(size(A),[1,1],[2,3])D的值为( )。
A、3 6
B、2 5
C、4 5
D、3 5
参考资料【 】
9、【多选题】建立矩阵时,同一行的元素之间用( )分隔。
A、逗号
B、空格
C、分号
D、中括号
参考资料【 】
10、【多选题】在当前文件夹和搜索路径中都有fpp.m文件,那么在命令行窗口输入fpp时,下列说法错误的是( )。
A、先执行搜索路径中的fpp.m文件,再执行当前文件夹的fpp.m文件
B、执行搜索路径中的fpp.m文件
C、先执行当前文件夹的fpp.m文件,再执行搜索路径中的fpp.m文件
D、执行当前文件夹的fpp.m文件
参考资料【 】
11、【判断题】标准函数名以及命令名一般用小写字母。
A、正确
B、错误
参考资料【 】
12、【判断题】format命令影响数据输出格式,也会影响数据的计算和存储。
A、正确
B、错误
参考资料【 】
13、【判断题】对一个3行3列的矩阵A来说,A(4)代表矩阵A中第二行第一列的元素。
A、正确
B、错误
参考资料【 】
14、【判断题】表达式(9==1)与表达式9==1的值不相等。
A、正确
B、错误
参考资料【 】
随堂测验
1、【单选题】建立3阶单位矩阵A的命令是( )。
A、A=eye(3)
B、A=eye(3,1)
C、A=eye(1,3)
D、 A=ones(3)
参考资料【 】
2、【单选题】产生和A同样大小的幺矩阵的命令是( )。
A、eye(size(A))
B、ones(size(A))
C、size(eye(A))
D、size(ones(A))
参考资料【 】
3、【单选题】建立5×6随机矩阵A,其元素为[100,200]范围内的随机整数,相应的命令是( )。
A、A= fix(100+200rand(5,6))
B、A= fix(200+100rand(5,6))
C、A= fix(100+300rand(5,6))
D、A=fix(100+101rand(5,6))
参考资料【 】
4、【单选题】产生均值为1、方差为0.2的500个正态分布的随机数,相应的命令是( )。
A、0.2+randn(500)
B、1+0.2randn(500)
C、1+sqrt(0.2)randn(25,20)
D、0.2+randn(25,20)
参考资料【 】
5、【判断题】范德蒙矩阵常用在各种通信系统的纠错编码中。
A、正确
B、错误
参考资料【 】
6、【判断题】希尔伯特矩阵是病态矩阵,其病态程度和矩阵的阶数相关,随着阶数的减少病态越严重。
A、正确
B、错误
参考资料【 】
随堂测验
1、【单选题】用A矩阵主对角线以下第2条对角线的元素形成一个对角阵B,相应的命令是( )。
A、B=diag(A,-2)
B、B=diag(diag(A,-2))
C、B=diag(triu(A,-2))
D、B=diag(tril(A,-2))
参考资料【 】
2、【单选题】下列命令对中,结果互不相同的一对是( )。
A、x=(-2:2)‘与x=[-2:2]’
B、x=diag(diag(ones(3)))与x=eye(3)
C、x=rot90(A)与x=fliplr(A)
D、x=triu(A,1)+tril(A,-1)与x=A-diag(diag(A))(A为方阵)
参考资料【 】
3、【单选题】将矩阵A对角线元素加30的命令是( )。
A、A+30eye(size(A))
B、A+30eye(A)
C、A+30ones(size(A))
D、A+30eye(4)
参考资料【 】
4、【单选题】设A为6阶方阵,将其副对角线的元素生成2×3矩阵B(要求不改变副对角线元素的列号),相应的命令是( )。
A、B=reshape(diag(fliplr(A)),3,2)
B、B=reshape(diag(fliplr(A)),2,3)
C、B=reshape(diag(flipud(A)),3,2)
D、B=reshape(diag(flipud(A)),2,3)
参考资料【 】
随堂测验
1、【判断题】范数一定是非负数。
A、正确
B、错误
参考资料【 】
2、【判断题】偶数阶魔方阵的秩均为3。
A、正确
B、错误
参考资料【 】
3、【判断题】条件数总是大于1,且接近于1的。
A、正确
B、错误
参考资料【 】
随堂测验
1、【单选题】语句“[X,D]=eig(A)”执行后,D是一个( )。
A、数量矩阵
B、单位阵
C、三角阵
D、对角阵
参考资料【 】
2、【单选题】MATLAB用于演示向量x和Ax之间关系的命令是( )。
A、eigshow
B、showeig
C、eigdisp
D、dispeig
参考资料【 】
3、【判断题】连续取单位向量x,Ax能将圆弧拉伸成椭圆。
A、正确
B、错误
参考资料【 】
随堂测验
1、【单选题】采用稀疏存储方式的主要目的是( )。
A、改变存储顺序
B、提高运算精度
C、节约内存空间
D、设计高效算法
参考资料【 】
2、【单选题】语句“A=sparse([0,1,1;0,0,1])”执行后,输出结果的最后一行是( )。
A、(1,2) 1
B、 (1,3) 1
C、(1,3) 0
D、(2,3) 1
参考资料【 】
3、【判断题】采用稀疏存储方式的矩阵一定是稀疏矩阵。
A、正确
B、错误
参考资料【 】
4、【判断题】full(speye(5))与eye(5)的功能一样。
A、正确
B、错误
参考资料【 】
专题二单元作业
专题二单元测验
1、【单选题】建立3阶幺矩阵A的语句是( )。
A、A=one(3)
B、A=ones(3,1)
C、A=one(3,3)
D、A=ones(3,3)
参考资料【 】
2、【单选题】建立5阶由两位随机整数构成的矩阵A,其语句是( )。
A、A= fix(10+89rand(5))
B、A= fix(20+90rand(5,5))
C、A= fix(10+90rand(5))
D、A=fix(10+100rand(5))
参考资料【 】
3、【单选题】建立3阶魔方阵M的语句是( )。
A、M=magic(3)
B、M=MAGIC(3)
C、M=Magic(3)
D、M=magic(1,3)
参考资料【 】
4、【单选题】产生以(x+y)^5展开后的系数构成的对角阵P,可以采用的语句是( )。
A、P=diag(flipud(pascal(6)))
B、P=diag(diag(flipud(pascal(6))))
C、P=diag(flipud(pascal(5)))
D、P=diag(diag(flipud(pascal(5))))
参考资料【 】
5、【单选题】将矩阵A对角线元素加30的命令是( )。
A、A+30eye(size(A))
B、 A+30eye(A)
C、A+30ones(size(A))
D、A+30eye(4)
参考资料【 】
6、【单选题】用来描述矩阵性能的数是( )。
A、条件数
B、范数
C、秩
D、迹
参考资料【 】
7、【单选题】求矩阵A的范数的函数是( )。
A、trace(A)
B、cond(A)
C、rank(A)
D、norm(A)
参考资料【 】
8、【单选题】语句“[X,D]=eig(A)”执行后,D是一个( )。
A、三角阵
B、对角阵
C、数量矩阵
D、单位阵
参考资料【 】
9、【单选题】采用稀疏存储方式的主要目的是( )。
A、改变存储顺序
B、提高运算精度
C、节约内存空间
D、设计高效算法
参考资料【 】
10、【单选题】语句“A=sparse([0,2,5;2,0,1])”执行后,输出结果的最后一行是( )。
A、(2,1) 2
B、(1,2) 2
C、(1,3) 5
D、(2,3) 1
参考资料【 】
11、【多选题】下列命令对中,结果互为相同的是( )。
A、x=(-2:2)‘与x=[-2:2]’
B、x=diag(diag(ones(3)))与x=eye(3)
C、x=triu(A,1)+tril(A,-1)与x=A-diag(diag(A))
D、x=rot90(A)与x=fliplr(A)
参考资料【 】
12、【多选题】矩阵的迹等于矩阵的对角线元素之和,以下方法中能求矩阵迹的有( )。
A、trace(A)
B、sum(diag(A))
C、prod(eig(A))
D、sum(eig(A))
参考资料【 】
13、【判断题】稀疏矩阵一定要采用稀疏存储方式。
A、正确
B、错误
参考资料【 】
14、【判断题】speye(5)与sparse(eye(5))的功能一样。
A、正确
B、错误
参考资料【 】
随堂测验
1、【判断题】任何复杂的程序都是由顺序结构、选择结构和循环结构这三种基本结构组成的。
A、正确
B、错误
参考资料【 】
2、【判断题】在MATLAB中,程序文件的扩展名为.m,所以程序文件也称为M文件。
A、正确
B、错误
参考资料【 】
3、【判断题】在命令行窗口,既可以直接运行函数文件,也可以以函数调用的方式来调用它。
A、正确
B、错误
参考资料【 】
随堂测验
1、【单选题】在if语句中,当条件为以下表示形式时,表示条件成立的是( )。
A、[1, 2; 0, 4]
B、[ ]
C、[1, 2; 3, 4]
D、0
参考资料【 】
2、【单选题】下列程序的输出结果是( )。y=30;if y==30 y=y2;elseif y0 y=10enddisp(y)
A、1
B、30
C、10
D、60
参考资料【 】
3、【判断题】在多分支if语句中不管有几个分支,程序执行完一个分支后,其余分支将不会再执行,这时整个if语句结束。
A、正确
B、错误
参考资料【 】
随堂测验
1、【单选题】case结果表为switch表达式的取值,当取值有多个时,用( )表示。
A、结构数据
B、数值数据
C、枚举数据
D、单元数据
参考资料【 】
2、【单选题】下列程序的输出结果是( )。a=1;switch a case 3|4 disp(‘ok’) case {1,2} disp(‘perfect’) otherwise disp(‘no’)end
A、ok
B、perfect
C、no
D、2
参考资料【 】
3、【判断题】在很多情况下,switch语句和多分支if语句可以相互等价使用。
A、正确
B、错误
参考资料【 】
随堂测验
1、【单选题】以下语句循环( )次。for k=2:-2:13 kend
A、0
B、6
C、13
D、1
参考资料【 】
2、【单选题】有以下语句:a=eye(6);for n=a(3:end,:) nendfor循环的循环次数是( )。
A、3
B、4
C、5
D、6
参考资料【 】
3、【单选题】退出循环之后,k的值为( )。for k=1:3:11endk
A、3
B、11
C、10
D、7
参考资料【 】
4、【单选题】有以下程序:x=reshape(1:12,3,4);m=0;n=0;for k=1:4 if x(:,k)=6 m=m+1; else n=n+1; endend则m和n的值分别是( )。
A、 6,6
B、2,1
C、 2,2
D、1,2
参考资料【 】
随堂测验
1、【单选题】设有程序段:k=10;while k k=k-1end则下面描述中正确的是( )。
A、while循环执行10次
B、循环是无限循环
C、循环体语句一次也不执行
D、 循环体语句执行一次
参考资料【 】
2、【单选题】下列程序的输出结果是( )。s=0; for i=1:10 if rem(i,2)0 continue end if rem(i,7)0 break end s=s+i;enddisp(s)
A、3
B、9
C、10
D、7
参考资料【 】
3、【判断题】break语句用来结束本次循环,continue语句用来结束整个循环。
A、正确
B、错误
参考资料【 】
随堂测验
1、【单选题】执行下列命令,描述错误的是( )。 clear fcos=@cos; a=fcos(pi);
A、a的值是 -1
B、a的值与cosd(180)的值相等
C、a的值与cos(pi)的值相等
D、a的值不确定
参考资料【 】
2、【单选题】执行下列语句后,变量A的值是( )。 f=@(x,y) 2*(x+y); A=f(2,3);
A、 2,3
B、3
C、10
D、5
参考资料【 】
3、【判断题】当函数文件名与函数名不相同时,MATLAB将忽略函数文件名,调用时使用函数名。
A、正确
B、错误
参考资料【 】
随堂测验
1、【单选题】下列脚本文件运行后,输出结果是( )。函数文件fib.m:function f=fib(n)if n2 f=fib(n-1)+fib(n-2);else f=1;end脚本文件:F=[];for k=1:6 F=[F,fib(k)];enddisp(F(k))
A、2
B、3
C、5
D、8
参考资料【 】
2、【判断题】函数中递归调用有两种形式,一种是直接递归,另一种是间接递归。
A、正确
B、错误
参考资料【 】
3、【判断题】递归调用也会降低存储空间和执行时间的开销,提高程序的执行效率。
A、正确
B、错误
参考资料【 】
随堂测验
1、【单选题】定义了一个函数文件test.m:function fout=test(a,b,c)if nargin1 fout=2*a;elseif nargin2 fout=2*(a+b);elseif nargin3 fout=2*(a.*b.c);end在命令行窗口调用test函数的结果为( )。 test(1:3,[-1,0,3])
A、2 4 6
B、0 3 3
C、-2 6 12
D、0 4 12
参考资料【 】
2、【判断题】在一个函数文件中定义的变量为全局变量。
A、正确
B、错误
参考资料【 】
3、【判断题】MATLAB有两个预定义变量nargin和nargout可以记录调用这个函数时的输入实参的个数和输出实参的个数。
A、正确
B、错误
参考资料【 】
专题三单元作业
专题三单元测验
1、【单选题】case结果表为switch表达式的取值,当取值有多个时,用( )表示。
A、结构数据
B、数值数据
C、枚举数据
D、单元数据
参考资料【 】
2、【单选题】下列程序的输出结果是( )。a=1;switch a case 3|4 disp(‘perfect’) case {1,2} disp(‘ok’) otherwise disp(‘no’)end
A、ok
B、perfect
C、no
D、2
参考资料【 】
3、【单选题】看下面两个for循环,描述正确的是( )。循环一:for k=[12,3,1,0]…end循环二:for k=[12;3;1;0]…end
A、循环一循环4次,循环二循环1次
B、循环一循环1次,循环二循环4次
C、循环一和循环二均循环4次
D、循环一和循环二均循环1次
参考资料【 】
4、【单选题】设有程序如下:k=10;while k k=k-1;endk程序执行后k的是( )。
A、10
B、1
C、0
D、-1
参考资料【 】
5、【单选题】定义了一个函数文件fun.m:function f=fun(n)f=sum(n.(n+1));在命令行窗口调用fun函数的结果为( )。 fun(1:5)
A、30
B、50
C、65
D、70
参考资料【 】
6、【单选题】定义了一个函数文件fsum.m:function s=fsum(n)if n=1 s=1;else s=fsum(n-1)+n; end在命令行窗口调用fsum函数的结果为( )。 fsum(10)
A、45
B、55
C、65
D、75
参考资料【 】
7、【单选题】定义了一个函数文件test.m:function fout=test(a,b,c)if nargin1 fout=2a;elseif nargin==2 fout=2(a+b);elseif nargin==3 fout=2*(a.b.c);end在命令行窗口调用test函数的结果为( )。 test(1:3,[-1,0,3])
A、2 4 6
B、0 3 3
C、-2 6 12
D、0 4 12
参考资料【 】
8、【多选题】求分段函数的值,正确的程序是( )。
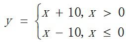
A、x=input(‘x=:’);y=(x+10)(x>0)+(x-10)(x<=0);disp(y)
B、x=input(‘x=:’);y=x+10;if x<=0 y=x-10;enddisp(y)
C、x=input(‘x=:’);if x>0 y=x+10;else y=x-10;enddisp(y)
D、x=input(‘x=:’);if x>0 y=x+10;elseif x<=0 y=x-10;enddisp(y)
参考资料【 】
9、【多选题】执行下列语句,描述正确的是( )。 clear fcos=@cos; a=fcos(pi);
A、a的值不确定
B、a的值是-1
C、a的值与cosd(180)的值相等
D、a的值与cos(pi)的值相等
参考资料【 】
10、【判断题】在命令行窗口,既可以直接运行函数文件,也可以以函数调用的方式来调用它。
A、正确
B、错误
参考资料【 】
11、【判断题】disp函数不会显示变量的名字和空行。
A、正确
B、错误
参考资料【 】
12、【判断题】任何复杂的程序都是由顺序结构、选择结构和循环结构这三种基本结构组成的。
A、正确
B、错误
参考资料【 】
13、【判断题】在很多情况下,for语句和while语句可以等价使用。
A、正确
B、错误
参考资料【 】
14、【判断题】如果在一个函数的定义中调用了该函数本身,这就是函数的嵌套调用。
A、正确
B、错误
参考资料【 】
随堂测验
1、【单选题】如果x、y均为4×3矩阵,则执行plot(x,y)命令后在图形窗口中绘制( )条曲线。
A、12
B、7
C、4
D、3
参考资料【 】
2、【单选题】在曲线颜色设置中,字符b表示的颜色是( )。
A、红色
B、绿色
C、 蓝色
D、黑色
参考资料【 】
3、【单选题】设A是一个100×2数值矩阵,若要把A的第一列数据作为横坐标,把A的第二列数据作为纵坐标,画出一条曲线,则使用的命令是( )。
A、plot(A(:,1),A(:,2))
B、plot(A)
C、plot(A(1,:),A(2,:))
D、plot(A(1),A(2))
参考资料【 】
4、【判断题】若x为m×n的矩阵, plot(x)命令为矩阵的每一行绘制一条线,共m条。
A、正确
B、错误
参考资料【 】
随堂测验
1、【单选题】图形窗口显示网格的命令是( )。
A、hold on
B、box on
C、grid on
D、figure
参考资料【 】
2、【单选题】将一个图形窗口分成2×3个绘图区,且指定在中上子图绘制出图形,使用的命令是( )。
A、subplot(2,3,1)
B、subplot(2,3,3)
C、subplot(2,3,2)
D、subplot(2,3,4)
参考资料【 】
3、【单选题】下列程序的运行结果是( )。x=0:pi/100:2pi;for n=1:2:10 plot(nsin(x),ncos(x)) hold onendaxis square
A、5个同心圆
B、5根平行线
C、一根正弦曲线和一根余弦曲线
D、5根正弦曲线和5根余弦曲线
参考资料【 】
4、【判断题】text函数可用于给坐标轴添加标签。
A、正确
B、错误
参考资料【 】
5、【判断题】执行命令title(gca,‘An example’)后,当前图形窗口的标题被设置为“An example”。
A、正确
B、错误
参考资料【 】
6、【判断题】命令axis([1 10 100 200])将x轴刻度的最大值设定为100。
A、正确
B、错误
参考资料【 】
随堂测验
1、【单选题】绘制条形图调用( )函数来实现。
A、polar
B、pie
C、bar
D、area
参考资料【 】
2、【单选题】绘制极坐标图形需要调用( )函数。
A、 plot
B、polar
C、rose
D、fplot
参考资料【 】
3、【单选题】要使函数:<img style=“width: 67px; height: 41px;” src="http://edu-image.nosdn.127.net/581279E55A52E900A368FE805B271ABD.jpg?imageView的曲线绘制成直线,应采用的绘图函数是( )。
A、plot
B、semilogx
C、semilogy
D、loglog
参考资料【 】
4、【判断题】quiver函数绘制的图形可以反映平面空间中的点的运动方向。
A、正确
B、错误
参考资料【 】
5、【判断题】已知x=1:0.1:2;y=2.^(0.1+1.2log(x));此时采用loglog(x,y)命令绘制的是一条直线。
A、正确
B、错误
参考资料【 】
随堂测验
1、【单选题】执行以下命令,绘制的图形是( )。x = 0:pi/50:10pi;y=cos(x);z=sin(x)plot3(z,y,x)grid onaxis square
A、
B、
C、
D、
参考资料【 】
2、【多选题】已知t = linspace(0,20pi, 501);plot3(t.sin(t), t.cos(t), t);命令执行后绘制出上图, 如要绘制下图可以使用的命令是( )。<img style=“width: 328px; height: 254px;” src="http://edu-image.nosdn.127.net/7C58DD33C9886FD56F9BD6DBF060F946.jpg?imageView
A、plot3(t.sin(t),t.cos(t),t);hold onplot3(t.sin(t), t.cos(t), -t);
B、plot3(t.sin(t),t.cos(t),t,t.sin(t),t.cos(t),-t);
C、plot3(t.sin(t),t.cos(t),[t;-t]);
D、plot3(t.sin(t),t.cos(t),[t,-t]);
参考资料【 】
3、【判断题】运行以下程序,绘制的是3条直线。X=[1,2,3];Y=[1,2,3];Z=[1,2,3];plot3(X,Y,Z,‘b’)
A、正确
B、错误
参考资料【 】
随堂测验
1、【单选题】下列程序的运行结果是( )。[x,y]=meshgrid(1:5);surf(x,y,5ones(size(x)));
A、z=x+y平面
B、与xy平面平行的平面
C、与xy平面垂直的平面
D、z=5x平面
参考资料【 】
2、【单选题】调用meshc函数输出的图形是( )。
A、
B、
C、


D、
参考资料【 】
3、【判断题】mesh函数以x为横坐标、以y为纵坐标,以x与y的m × n个组合构建网格点,计算网格点(x,y)上的z值,再以z为垂直坐标在网格点上方描点,直线连接相邻4个点形成曲面网格,最终绘出表达二元函数z=f(x,y)的三维网格图。
A、正确
B、错误
参考资料【 】
随堂测验
1、【单选题】下列程序运行后,看到的图形是( )。[x,y,z]=cylinder(10,40);surf(x,y,z)view(90,0);axis square
A、一个实心圆
B、一个空心圆
C、一个矩形
D、一个柱面
参考资料【 】
2、【单选题】下列程序运行后得到的图形是( )。 [x,y]=meshgrid(-2:2);z=x+y;i=find(abs(x)1 abs(y)1);z(i)=NaN;surf(x,y,z);shading interp
A、在一个正方形的正中心挖掉了一个小的正方形
B、在一个正方形的正中心挖掉了一个小的长方形
C、在一个正方形的上端挖掉了一个小的正方形
D、在一个正方形的下端挖掉了一个小的正方形
参考资料【 】
3、【单选题】下列程序运行后,看到的图形是( )。[x,y,z]=sphere;M=[0 0 1];z(find(z0))=NaN;surf(x,y,z)colormap(M)axis equal
A、半个蓝色球面
B、一个蓝色圆环
C、一个蓝色圆
D、一个蓝色柱面
参考资料【 】
随堂测验
1、【单选题】在使用MATLAB“绘图”选项卡中的命令按钮绘图之前,需要( )。
A、在命令行窗口中输入绘图命令
B、在工作区中选择绘图变量
C、打开绘图窗口
D、建立M文件
参考资料【 】
2、【判断题】图形窗口只能显示一个图形。
A、正确
B、错误
参考资料【 】
3、【判断题】绘制的图形与在工作区选中变量的先后顺序无关。
A、正确
B、错误
参考资料【 】
4、【判断题】在已有三维图形的同一坐标轴上不能添加二维图形。
A、正确
B、错误
参考资料【 】
专题四单元作业
专题四单元测验
1、【单选题】如果x、y均为5×6矩阵,则执行plot(x,y)命令后在图形窗口中绘制( )条曲线。
A、5
B、6
C、11
D、30
参考资料【 】
2、【单选题】下列程序的运行结果是( )。x=[0,1,1,0,0];y=[0,0,1,1,0];for n=1:3 plot(nx,ny) hold onendaxis equal
A、3个左下角在原点的矩形
B、3个中心在原点的矩形
C、3条直线
D、15个点
参考资料【 】
3、【单选题】命令text(1,1,’{alpha}leq{2pi}’)执行后,得到的标注效果是( )。
A、{alpha}leq{2pi}
B、α≥2π
C、α≤2π
D、{α}leq{2π}
参考资料【 】
4、【单选题】subplot(2,2,3)是指( )的子图。
A、两行两列的左下图
B、两行两列的右下图
C、 两行两列的左上图
D、两行两列的右上图
参考资料【 】
5、【单选题】要使函数y=lnx的曲线绘制成直线,应采用的绘图函数是( )。
A、polar
B、semilogx
C、semilogy
D、loglog
参考资料【 】
6、【单选题】下列程序的运行结果是( )。[x, y] = meshgrid(1:5);surf(x, 5ones(size(x)), y);
A、z=y平面
B、与xy平面平行的平面
C、与xy平面垂直的平面
D、y=5x平面
参考资料【 】
7、【单选题】下列函数中不能用于绘制散点类图形的函数是( )。
A、scatter
B、stairs
C、stem
D、pie
参考资料【 】
8、【单选题】下列程序运行后,看到的图形( )。t=0:pi/6:2pi;[x,y,z]=cylinder(t, 6);surf(x,y,z)view(0,90);axis equal
A、6个同心圆
B、6个同心的六边形
C、12个同心圆
D、12个同心的六边形
参考资料【 】
9、【单选题】下列程序运行后得到的图形是( )。[x,y]=meshgrid(-2:2);z=x+y;i=find(abs(x)1 abs(y)1);z(i)=NaN;surf(x,y,z);shading interp
A、在一个正方形的正中心挖掉了一个小的正方形
B、在一个正方形的正中心挖掉了一个小的长方形
C、在一个正方形的上端挖掉了一个小的正方形
D、在一个正方形的下端挖掉了一个小的正方形
参考资料【 】
10、【单选题】在使用MATLAB“绘图”选项卡中的命令按钮绘图之前,需要( )。
A、在命令行窗口中输入绘图命令
B、在工作区中选择绘图变量
C、打开绘图窗口
D、建立M文件
参考资料【 】
11、【多选题】在0≤x≤2π区间内,绘制正弦曲线,可以使用命令( )。
A、x=linspace(0,2pi,100); plot(x,sin(x));
B、x=linspace(0,2pi,100)’; plot(x,sin(x));
C、 x=linspace(0,2pi,100)’; X=[x,sin(x)];plot(X);
D、fplot(@(x)sin(x),[0,2pi]);
参考资料【 】
12、【多选题】在一个图形窗口同时绘制[0,2π]的正弦曲线、余弦曲线,可以使用命令( )。
A、x=(0:0.01:2pi)’; Y=[sin(x),cos(x)]; plot(x,Y);
B、x=(0:0.01:2pi); Y=[sin(x);cos(x)]; plot(x,Y);
C、fplot(@(x)sin(x),@(x)cos(x),[0,2pi])
D、fplot(@(x)[sin(x),cos(x)],[0,2pi])
参考资料【 】
13、【判断题】执行命令 colormap(gray(6)) 后,用surf绘制的图形采用6种不同浓度的灰色描述。
A、正确
B、错误
参考资料【 】
14、【判断题】调用fplot3函数绘制空间曲线时,需要先计算曲线上各点的坐标。
A、正确
B、错误
参考资料【 】
随堂测验
1、【单选题】若x是一个行向量,则在执行语句[a,b]=min(x)后,向量中最小元素的序号是存储在( )中。
A、a
B、b
C、a和b都是
D、a和b都不是
参考资料【 】
2、【单选题】若A为矩阵,则语句max(A(????)的功能是( )。
A、函数调用错误
B、求矩阵每行的最大元素
C、求矩阵每列的最大元素
D、求整个矩阵的最大元素
参考资料【 】
3、【单选题】设A=[1,2,3,4,5;3,4,5,6,7],则min(max(A))的值是( )。
A、1
B、3
C、5
D、7
参考资料【 】
4、【单选题】已知a为3×3矩阵,则运行mean(a)命令是( )。
A、计算a每列的平均值
B、计算a每行的平均值
C、a增加一行平均值
D、a增加一列平均值
参考资料【 】
5、【判断题】对矩阵A按行取最大元素,可用语句max(A,2)实现。
A、正确
B、错误
参考资料【 】
6、【判断题】若x为一个向量,且a=std(x),那么a的值越大,说明该向量中的元素偏离其平均值的程度越大。
A、正确
B、错误
参考资料【 】
随堂测验
1、【单选题】若某多项式系数向量中包含有5个元素,则该多项式为( )次多项式。
A、4
B、5
C、6
D、7
参考资料【 】
2、【单选题】若a、b为多项式向量,a=[1,2],b=[3,4,5],要将两个多项式相加,以下正确的是( )。
A、a+b
B、[0,a]+b
C、[a,0]+b
D、以上都不是
参考资料【 】
3、【单选题】若p为某多项式系数向量,x为矩阵,若想求得x中每一个元素的多项式函数值,则以下正确的是( )。
A、polyval(p,x)
B、polyvalm(p,x)
C、polyfit(p,x)
D、polyder(p,x)
参考资料【 】
4、【单选题】若p为某多项式系数向量,x为自变量,则roots§的功能是( )。
A、求多项式在x=0点的函数值
B、求多项式的导函数
C、求多项式方程的根
D、判断多项式是否过零点
参考资料【 】
5、【单选题】在MATLAB命令行窗口输入下列命令: x=[1,2,3,4]; y=polyval(x,1);则y的值为( )。
A、5
B、8
C、24
D、10
参考资料【 】
6、【判断题】若已知多项式系数向量p=[1,2,3],则该多项式的常数项为1。
A、正确
B、错误
参考资料【 】
7、【判断题】若要求多项式P和Q的商的导函数,可以用语句p=polyder(P,Q)来实现。
A、正确
B、错误
参考资料【 】
随堂测验
1、【单选题】在以下四种数据插值方法中,具有保形性的方法是( )。
A、linear
B、nearest
C、pchip
D、spline
参考资料【 】
2、【单选题】在以下四种数据插值方法中,最为光滑、函数性态最好的方法是( )。
A、linear
B、nearest
C、pchip
D、spline
参考资料【 】
3、【单选题】在最近点插值方法中,若插值点位于两个采样点的正中间,则插值点的取值为( )。
A、前一个相邻点的函数值
B、后一个相邻点的函数值
C、前后两个相邻点函数值的平均值
D、前后两个相邻点函数值的较大值
参考资料【 】
4、【单选题】二维插值不支持的方法是( )。
A、linear
B、nearest
C、pchip
D、spline
参考资料【 】
5、【判断题】数据插值方法是一种函数逼近的方法,所以存在一个整体的逼近函数。
A、正确
B、错误
参考资料【 】
6、【判断题】在linear、nearest、pchip和spline四种插值方法中,spline方法是最好的。
A、正确
B、错误
参考资料【 】
7、【判断题】采用多项式进行插值计算时,多项式的次数越高计算越精确。
A、正确
B、错误
参考资料【 】
随堂测验
1、【单选题】在工程领域,若仅测得某连续区域一些离散采样点的值,现在想要得到区间内更多样本点的值,最合适的方法是( )。
A、解方程方法
B、数据插值方法
C、实验或测试方法
D、人工估算方法
参考资料【 】
2、【单选题】用插值方法绘制地形图时,若要使地形图更加光滑,需要( )。
A、增加采样点数目
B、增加样本值的精度
C、修改图形着色
D、以上都不对
参考资料【 】
3、【判断题】既然可以用数值插值的方法估算数据,因此不再需要通过实验或测试获取数据。
A、正确
B、错误
参考资料【 】
4、【判断题】数据插值可以通过已知数据估算采样区间内的未知数据。
A、正确
B、错误
参考资料【 】
随堂测验
1、【单选题】曲线拟合通常所采用的函数是( )。
A、随机函数
B、多项式函数
C、指数函数
D、三角函数
参考资料【 】
2、【单选题】最小二乘法中的误差最小指的是( )。
A、误差的平均值最小
B、误差之和最小
C、误差的平方和最小
D、误差的积最小
参考资料【 】
3、【多选题】为了使估算结果更加精确,曲线拟合的技巧有( )。
A、谨慎选取拟合多项式的次数
B、选取合适的采样点数据(并非越多越好)
C、根据问题的背景,分段进行拟合。
D、缩短采样间隔
参考资料【 】
4、【判断题】曲线拟合估算的数据比数据插值方法更加精确。
A、正确
B、错误
参考资料【 】
5、【判断题】曲线拟合所采用的多项式函数只能是3次多项式。
A、正确
B、错误
参考资料【 】
随堂测验
1、【单选题】以下不属于曲线拟合方法功能的是( )。
A、估算数据
B、预测趋势
C、总结规律
D、证明定理
参考资料【 】
2、【单选题】在数据插值和曲线拟合两种方法中,曲线一定经过样本点的方法是( )。
A、数据插值
B、曲线拟合
C、A和B都是
D、A和B都不是
参考资料【 】
3、【判断题】当实验或测试所获得的样本数据有误差时,适合采用曲线拟合来估算其他数据。
A、正确
B、错误
参考资料【 】
4、【判断题】通过曲线拟合方法预测股票数据的未来发展趋势时,得到的信息是完全可靠的。
A、正确
B、错误
参考资料【 】
专题五单元作业
专题五单元测验
1、【单选题】若A为矩阵,则语句max(A(????)的功能是( )。
A、函数调用错误
B、求矩阵每行的最大元素
C、求矩阵每列的最大元素
D、求整个矩阵的最大元素
参考资料【 】
2、【单选题】设P是多项式系数向量,A为方阵,则函数polyval(P,A)与函数polyvalm(P,A)的值( )。
A、 一个是标量,一个是方阵
B、都是标量
C、值不相等
D、值相等
参考资料【 】
3、【单选题】在MATLAB命令行窗口输入下列命令: p=[1,-2]; x=roots§则x的值为( )。
A、2
B、 -2
C、1
D、-1
参考资料【 】
4、【单选题】在以下四种数据插值方法中,具有保形性的方法是( )。
A、linear
B、nearest
C、pchip
D、spline
参考资料【 】
5、【单选题】最小二乘法中的误差最小指的是( )。
A、误差的平均值最小
B、误差之和最小
C、误差的平方和最小
D、误差的积最小
参考资料【 】
6、【单选题】当实验或测试所获得的样本数据有误差时,适合用来估算数据的方法是( )。
A、数据插值
B、曲线拟合
C、方程求解
D、求平均值
参考资料【 】
7、【单选题】曲线拟合通常所采用的函数是( )。
A、随机函数
B、多项式函数
C、指数函数
D、三角函数
参考资料【 】
8、【多选题】下列四种插值计算方法中,经过每一个样本点的方法是( )。
A、linear
B、nearest
C、pchip
D、spline
参考资料【 】
9、【多选题】以下属于曲线拟合方法功能的是( )。
A、估算数据
B、预测趋势
C、总结规律
D、证明定理
参考资料【 】
10、【多选题】若a、b为多项式系数向量,a=[1,2],b=[3,4,5],要将两个多项式相加,以下不正确的是( )。
A、a+b
B、[0,a]+b
C、[a,0]+b
D、a+b(1:2)
参考资料【 】
11、【多选题】设有三个多项式,其系数向量分别为q、r、s,现在求它们的乘积,可以使用的命令有( )。
A、conv(q,r,s)
B、conv(conv(q,r),s)
C、conv(q,conv(r,s))
D、conv(conv(s,r),q)
参考资料【 】
12、【判断题】数据插值可以通过已知数据估算采样区间内的未知数据。
A、正确
B、错误
参考资料【 】
13、【判断题】若某多项式系数向量中包含有5个元素,则该多项式为5次多项式。
A、正确
B、错误
参考资料【 】
随堂测验
1、【单选题】下列命令执行后,I的值是( )。 I=trapz([1,2],[7,9])
A、7
B、8
C、9
D、10
参考资料【 】
2、【多选题】计算行向量x的2阶向前差分,可以使用的函数有( )。
A、diff(x,2)
B、diff(diff(x))
C、diff(diff(x,1))
D、diff(x,2,2)
参考资料【 】
3、【判断题】函数f(x)在某点处的差商作为其导数的近似值。
A、正确
B、错误
参考资料【 】
随堂测验
1、【单选题】对于解线性方程组Ax=b,当det(A)≠0时,方程的解是( )。
A、Ab
B、b/A
C、bA
D、A/b
参考资料【 】
2、【单选题】对于线性方程组Ax=b,设A=LU是A的一个LU分解,则线性方程组的解为( )。
A、x=U(Lb)
B、x=ULb
C、x=(UL)b
D、x=U/L/b
参考资料【 】
3、【判断题】高斯-赛德尔迭代法比雅可比迭代法的收敛性能肯定要好些。
A、正确
B、错误
参考资料【 】
4、【判断题】矩阵求逆函数和左除运算符都可以用来解线性方程组,但求逆方法需要更多的计算量,而左除运算就只有一次除法运算。
A、正确
B、错误
参考资料【 】
随堂测验
1、【单选题】对于系数矩阵A的阶数很大,且零元素较多的大型稀疏矩阵线性方程组,非常适合采用( )求解。
A、直接法
B、迭代法
C、矩阵求逆
D、左除
参考资料【 】
2、【多选题】下列方法中与线性方程组求解有关的是( )。
A、左除
B、矩阵求逆
C、矩阵转置
D、矩阵分解
参考资料【 】
3、【判断题】直接法一般适合求解低阶稠密线性方程组。
A、正确
B、错误
参考资料【 】
随堂测验
1、【多选题】求方程在0.5附近的根,相应的命令是( )。<img style=“width: 156px; height: 68px;” src="http://edu-image.nosdn.127.net/88F1B38E336AAF1D0A3C022C24FE5C02.jpg?imageView
A、>> fx=@(x) x-sin(x)/x;>> z=fzero(fx,0.5)
B、>> z=fzero(@(x) x-sin(x)/x,0.5)
C、>> fx=@(x) x-sin(x)/x;>> z=fsolve(fx,0.5)
D、>> z=fsolve(@(x) x-sin(x)/x,0.5)
参考资料【 】
2、【多选题】求f(x)=x sin(2x-1)在0附近的最小值,相应的命令是( )。
A、[x,fval] = fminbnd(@(x) xsin(2x-1),0,0.5)
B、[x,fval] = fminsearch(@(x) xsin(2x-1),0)
C、[x,fval] = fminsearch(@(x) xsin(2x-1),0.5)
D、[x,fval] = fminunc(@(x) xsin(2x-1),0)
参考资料【 】
3、【判断题】MATLAB中,fzero函数用来求单变量非线性方程的根,而fsolve函数可以求非线性方程组的数值解。
A、正确
B、错误
参考资料【 】
随堂测验
1、【单选题】有一类常微分方程,其解的分量有的变化很快,有的变化很慢,且相差悬殊,这就是所谓的( )问题。
A、刚性
B、稳定性
C、收敛性
D、病态
参考资料【 】
2、【多选题】求常微分方程在[1,3]区间内的数值解,正确的命令有( )。<img style=“width: 180px; height: 104px;” src="http://edu-image.nosdn.127.net/D7A2A8A68A94DFCCD79655F075CD08EE.jpg?imageView
A、>> f=@(x, y) 2x/y+2x;>> [x, y]=ode45(@f, [1, 3], 1)
B、>> f=@(x, y) 2x/y+2x;>> [x, y]=ode45(f, [1, 3], 1)
C、>> [x, y]=ode45(@(x, y) 2x/y+2x, [1, 3], 1)
D、建立f.m函数文件:function yx=f(x,y)yx=2x/y+2x;输入命令:>> [x, y]=ode45(@f, [1, 3], 1)
参考资料【 】
3、【判断题】求解高阶常微分方程数值解时,需先将它转化为一阶常微分方程组,即状态方程。
A、正确
B、错误
参考资料【 】
随堂测验
1、【单选题】下列选项中不能用于求常微分方程数值解的函数是( )。
A、ode23
B、ode34
C、ode45
D、ode113
参考资料【 】
2、【单选题】MATLAB提供ode系列函数来求常微分方程的数值解,其中适用于刚性问题的函数是( )。
A、ode23
B、ode45
C、ode113
D、ode23s
参考资料【 】
3、【判断题】ode23、ode45函数均采用龙格-库塔算法。
A、正确
B、错误
参考资料【 】
专题六单元作业
专题六单元测验
1、【单选题】下列语句执行后,I的值是( )。I=integral(@(x) x,0,1)
A、0
B、1
C、0.5
D、-1
参考资料【 】
2、【单选题】对于解线性方程组Ax=b,当det(A)≠0时,方程的解是( )。
A、A/b
B、b/A
C、bA
D、Ab
参考资料【 】
3、【单选题】对于系数矩阵A的阶数很大,且零元素较多的大型稀疏矩阵线性方程组,非常适合采用( )求解。
A、直接法
B、迭代法
C、矩阵求逆
D、左除
参考资料【 】
4、【单选题】下列选项中不能用于求常微分方程数值解的函数是( )。
A、ode23
B、ode34
C、ode45
D、ode113
参考资料【 】
5、【单选题】求f(x)=x sin(2x-1)在0附近的最小值,相应的命令是( )。
A、[x,fval]=fminbnd(@(x) xsin(2x-1),0,0.5)
B、[x,fval]=fminbnd(@(x) xsin(2x-1),0)
C、[x,fval]=fminsearch(@(x) xsin(2x-1),[0,0.5])
D、[x,fval]=fminunc(@(x) xsin(2x-1),[0,0.5])
参考资料【 】
6、【多选题】计算向量x的一阶向前差分,可以使用的命令有( )。
A、diff(x)
B、diff(x,1)
C、diff(x,1,2)
D、a=x(1:end-1);b=x(2:end);b-a
参考资料【 】
7、【多选题】求方程在[4,6]范围内的解,使用的命令有( )。<img src="http://edu-image.nosdn.127.net/B5E94FB15C8394CBB89D3970EB6F6A23.jpg?imageView
A、>> fx=@(x) exp(x)-3xx-15;>> z=fzero(fx,5)
B、>> z=fzero(@(x) exp(x)-3xx-15,5)
C、建立函数文件fx.m。function f=fx(x)f=exp(x)-3xx-15;调用函数文件:>> z=fzero(@fx,5)
D、建立函数文件fx.m。function f=fx(x)f=exp(x)-3xx-15;调用函数文件:>> f=@fx;>> z=fzero(f,5)
参考资料【 】
8、【多选题】求方程组的解,取初值为(1,1,1)。
A、f=@(x) [x(1)^3+x(2)-x(3)-5; 2x(1)+3x(2)^2-6; x(1)+x(2)+x(3)-3];x=fsolve(f,[1,1,1],optimset(‘Display’,‘off’))
B、x=fsolve(@(x) [x(1)^3+x(2)-x(3)-5; 2x(1)+3x(2)^2-6; x(1)+x(2)+x(3)-3],[1,1,1])
C、f=@(x) [x(1)^3+x(2)-x(3)-5; 2x(1)+3x(2)^2-6; x(1)+x(2)+x(3)-3];x=fzero(f,[1,1,1])
D、x=fzero(@(x) [x(1)^3+x(2)-x(3)-5; 2x(1)+3*x(2)^2-6; x(1)+x(2)+x(3)-3],[1,1,1])
参考资料【 】
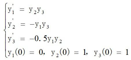
9、【多选题】求常微分方程组的解。
A、建立函数文件ty.m。function dy=ty(t, y)dy=[ y(2)*y(3); -y(1)y(3);-0.5y(1)y(2)];调用函数文件:>> [t, y]=ode45(@ty, [0, 12], [0, 1, 1]);>> plot(t,y(:,1),’-’,t,y(:,2),’’,t,y(:,3),’+’)
B、建立函数文件ty.m。function dy=ty(t, y)dy=[ y(2)*y(3); -y(1)y(3);-0.5y(1)y(2)];调用函数文件:>> clear>> h=@ty;>> [t, y]=ode45(h, [0, 12], [0, 1, 1]);>> plot(t,y(:,1),’-’,t,y(:,2),’’,t,y(:,3),’+’)
C、ty=@(t, y) [ y(2)y(3); -y(1)y(3);-0.5y(1)y(2)];[t, y]=ode45(ty, [0, 12], [0, 1, 1]);plot(t,y(:,1),’-’,t,y(:,2),’’,t,y(:,3),’+’)
D、[t, y]=ode45(@(t, y) [ y(2)y(3); -y(1)y(3);-0.5y(1)y(2)], [0, 12], [0, 1, 1]);plot(t,y(:,1),’-’,t,y(:,2),’’,t,y(:,3),’+’)
参考资料【 】
10、【判断题】函数f(x)在某点处的差商作为其导数的近似值。
A、正确
B、错误
参考资料【 】
11、【判断题】高斯-赛德尔迭代法比雅可比迭代法的收敛性能肯定要好些。
A、正确
B、错误
参考资料【 】
12、【判断题】MATLAB中,fzero函数用来求单变量非线性方程的根,而fsolve函数可以求非线性方程组的数值解。
A、正确
B、错误
参考资料【 】
13、【判断题】有一类常微分方程,其解的分量有的变化很快,有的变化很慢,且相差悬殊,这就是所谓的病态方程问题。
A、正确
B、错误
参考资料【 】
随堂测验
1、【单选题】若在MATLAB中已有语句a=1和x=sym(’a’),则以下叙述正确的是( )。
A、x是一个符号常量
B、x是一个符号变量
C、x是一个数值变量
D、对x的定义有错误
参考资料【 】
2、【单选题】设有a=sym(4),则1/a+1/a的值是( )。
A、0.5
B、1/2
C、1/4+1/4
D、2/a
参考资料【 】
3、【单选题】函数factor(sym(15))的值是( )。
A、‘15’
B、15
C、[ 1, 3, 5]
D、[ 3, 5]
参考资料【 】
4、【单选题】若没有指定主变量,则系统默认符号表达式ax+by+t中主变量为( )。
A、a
B、b
C、x
D、t
参考资料【 】
5、【判断题】可以用factor()函数来判断一个正整数是否为素数。
A、正确
B、错误
参考资料【 】
6、【判断题】当采用coeffs()函数提取符号多项式的系数时,系数的排列次序为从高次到低次。
A、正确
B、错误
参考资料【 】
7、【判断题】当符号多项式中只有一个符号变量时,可以用sym2poly()函数将符号多项式转化为多项式系数向量的形式。
A、正确
B、错误
参考资料【 】
随堂测验
1、【单选题】在命令行窗口输入下列命令: f=sym(1); eval(int(f,1,4))则命令执行后的输出结果是( )。
A、3
B、4
C、5
D、1
参考资料【 】
2、【判断题】diff()函数可以用来求符号函数的偏导数。
A、正确
B、错误
参考资料【 】
3、【判断题】当利用int()函数求定积分时,若积分上限或下限中存在符号变量,则该被积函数不可积。
A、正确
B、错误
参考资料【 】
随堂测验
1、【单选题】MATLAB将函数展开为幂级数,所使用的函数是( )。
A、tailor
B、tayler
C、diff
D、taylor
参考资料【 】
2、【单选题】若使用命令taylor(f,x,1,‘Order’,6)对f进行泰勒展开,则展开式的最高阶为( )。
A、5
B、6
C、7
D、3
参考资料【 】
3、【单选题】在泰勒展开时,若未指定展开点,则( )。
A、展开点为0
B、展开点为1
C、无法展开
D、展开点为一个随机数
参考资料【 】
4、【判断题】symsum()函数只能求得级数之和,而不能求得单独某一项的值。
A、正确
B、错误
参考资料【 】
5、【判断题】当使用symsum()函数进行级数求和时,若其在[1,inf]范围内可以求和,则其在[1,1000]范围内也一定可以求和。
A、正确
B、错误
参考资料【 】
6、【判断题】泰勒级数展开的方式能够将复杂运算转化为简单的四则运算,并且没有任何误差。
A、正确
B、错误
参考资料【 】
随堂测验
1、【单选题】MATLAB用于符号常微分方程求解的函数是( )。
A、solve
B、solver
C、dsolve
D、dsolver
参考资料【 】
2、【单选题】在MATLAB符号计算中,y的二阶导数表示为( )。
A、y’’
B、dy
C、D2y
D、2Dy
参考资料【 】
3、【单选题】在的dsolve()函数中,若没有指定自变量,则默认自变量为( )。
A、a
B、x
C、i
D、t
参考资料【 】
4、【判断题】只要方程或方程组有解,那么solve()函数就一定能求出正确的解。
A、正确
B、错误
参考资料【 】
5、【判断题】使用dsolve()函数进行常微分方程求解时,若给出初值条件,则求方程的特解;若没给出初值条件,则求方程的通解。
A、正确
B、错误
参考资料【 】
专题七单元作业
专题七单元测验
1、【单选题】若在MATLAB中已有语句a=sym(1); b=1; x=sym(‘b’),则以下叙述正确的是( )。
A、a和x都是符号常量
B、a和x都是符号变量
C、a是符号常量,x是符号变量
D、x是符号常量,a是符号变量
参考资料【 】
2、【单选题】函数factor(sym(12))的值是( )。
A、‘12’
B、12
C、[3, 4]
D、[ 2, 2, 3]
参考资料【 】
3、【单选题】若没有指定主变量,则系统默认符号表达式ax+by+t中主变量为( )。
A、a
B、b
C、x
D、t
参考资料【 】
4、【单选题】在命令行窗口输入下列命令: f=sym(1); eval(int(f,1,4))则命令执行后的输出结果是( )。
A、1
B、3
C、4
D、5
参考资料【 】
5、【单选题】若使用命令taylor(f,x,1,‘Order’,6)对f进行泰勒展开,则展开式的最高阶为( )。
A、7
B、6
C、5
D、4
参考资料【 】
6、【单选题】在的dsolve()函数中,若没有指定自变量,则默认自变量为( )。
A、a
B、x
C、i
D、t
参考资料【 】
7、【多选题】对于符号运算中主变量的确定,下列说法正确的是( )。
A、若没有指定主变量,MATLAB将把除i、j之外在字母顺序上离x最近的小写字母作为主变量。
B、当符号表达式中有x且未指定主变量,则系统会默认x为主变量。
C、若符号表达式s中有多个变量,则symvar(s)将返回一个系统默认的主变量。
D、若符号表达式中没有x,但是有w和y,则MATLAB将默认y为主变量。
参考资料【 】
8、【多选题】对于一个多项式方程,下列函数可以对其求解的是( )。
A、roots()
B、solve()
C、dsolve()
D、diff()
参考资料【 】
9、【判断题】可以用factor()函数来判断一个正整数是否为素数。
A、正确
B、错误
参考资料【 】
10、【判断题】当采用coeffs()函数提取符号表达式的系数时,系数的排列次序为从高次到低次。
A、正确
B、错误
参考资料【 】
11、【判断题】当利用int()函数求定积分时,若积分上限或下限是一个符号表达式,则该被积函数不可积。
A、正确
B、错误
参考资料【 】
12、【判断题】当使用symsum()函数进行级数求和时,若其在[1,inf]范围内可以求和,则其在[1,1000]范围内也一定可以求和。
A、正确
B、错误
参考资料【 】
13、【判断题】泰勒级数展开的方式能够将复杂运算转化为简单的四则运算,并且只要取前有限项,精度就能够满足大多数工程应用的要求。
A、正确
B、错误
参考资料【 】
14、【判断题】只要方程或方程组有解,那么solve()函数就一定能求出正确的解。
A、正确
B、错误
参考资料【 】
随堂测验
1、【单选题】用于获取当前图形窗口句柄的函数是( )。
A、gca
B、gcf
C、gco
D、gcw
参考资料【 】
2、【单选题】如果需要指定图形窗口对象的长度度量单位为厘米,则Units属性的取值是( )。
A、pixels
B、normalized
C、centimeters
D、points
参考资料【 】
3、【判断题】在MATLAB中,用句柄来标识对象,通过句柄来访问相应对象的属性。
A、正确
B、错误
参考资料【 】
4、【判断题】坐标轴的ColorOrder属性是一个向量。
A、正确
B、错误
参考资料【 】
5、【判断题】图形窗口的Units属性默认值是pixels,而坐标轴的Units属性默认值是normalized。
A、正确
B、错误
参考资料【 】
6、【判断题】如果需要取消图形窗口默认的菜单,可以将图形窗口的MenuBar属性设置为none。
A、正确
B、错误
参考资料【 】
随堂测验
1、【单选题】surface函数绘制的曲面,视点的方位角默认为0°,仰角默认为( )。
A、0°
B、37.5°
C、60°
D、90°
参考资料【 】
2、【单选题】下列命令执行后,得到的图形是( )。 axes(‘View’,[-37.5, 30]) surface(1:5, 1:5, 6ones(5))
A、[1,5]×[1,5]区域内高度为6的柱体
B、[1,5]×[1,5]区域内高度为6的平面
C、[1,6]×[1,6]区域内高度为5的柱体
D、[1,6]×[1,6]区域内高度为5的平面
参考资料【 】
3、【多选题】下列命令中,等价的命令是( )。
A、line(x,y,‘Color’,‘r’);
B、line(x,y,‘r’);
C、plot(x,y,‘Color’,‘r’);
D、plot(x,y,‘r’);
参考资料【 】
4、【判断题】plot函数默认清空坐标轴原有图形后重新绘制新图形,而line函数则默认在原有图形上叠加新图形。
A、正确
B、错误
参考资料【 】
5、【判断题】若函数surface(x, y, z)中的x是具有m个元素的向量,y是具有n个元素的向量,则矩阵z应该是n×m矩阵。
A、正确
B、错误
参考资料【 】
随堂测验
1、【单选题】控件的BackgroundColor属性和ForegroundColor属性分别代表( )。
A、前景色和背景色
B、前景色和说明文字的颜色
C、说明文字的颜色和背景色
D、背景色和说明文字的颜色
参考资料【 】
2、【单选题】用于定义控件被选中后的响应命令的属性是( )。
A、String
B、Command
C、CallBack
D、Value
参考资料【 】
3、【单选题】定义菜单项时,为了使该菜单项呈灰色,应将其Enable属性设置为( )。
A、‘On’
B、‘Off’
C、‘Yes’
D、‘No’
参考资料【 】
4、【判断题】建立二级菜单项时,uimenu函数的第1个参数是上级菜单项句柄。
A、正确
B、错误
参考资料【 】
随堂测验
1、【单选题】在一组按钮中,通常只能有一个被选中,如果选中了其中一个,则原来被选中的就不再处于被选中状态,这种按钮称为( )。
A、按钮
B、单选按钮
C、复选框
D、切换按钮
参考资料【 】
2、【单选题】用于定义控件标识的属性是( )。
A、String
B、Tag
C、Value
D、Label
参考资料【 】
3、【单选题】用于保存用GUIDE建立的图形用户界面的文件类型是( )。
A、.m
B、.mat
C、.gui
D、.fig
参考资料【 】
4、【单选题】用于检查和设置对象属性的图形用户界面设计工具是( )。
A、对象属性检查器
B、工具栏编辑器
C、对象浏览器
D、对象属性窗格
参考资料【 】
随堂测验
1、【单选题】用于保存App应用程序的文件是( )。
A、.app
B、.mlapp
C、.mat
D、.fig
参考资料【 】
2、【单选题】用于获取旋钮对象Knob1的Value属性值的表达式是( )。
A、Knob.Value
B、Knob1.Value
C、app.Knob.Value
D、app.Knob1.Value
参考资料【 】
3、【判断题】App Designer设计视图和代码视图的属性面板中的内容是一样的。
A、正确
B、错误
参考资料【 】
4、【判断题】App Designer设计视图用于编辑、调试、分析代码。
A、正确
B、错误
参考资料【 】
随堂测验
1、【单选题】在GUIDE中自动生成的回调函数有( )个参数。
A、1
B、2
C、3
D、4
参考资料【 】
2、【单选题】在App Designer工具中自动生成的回调函数有( )个参数。
A、1
B、2
C、3
D、4
参考资料【 】
3、【判断题】GUIDE工具箱中的控件与App Designer组件库中的常用组件的功能和用法完全相同。
A、正确
B、错误
参考资料【 】
4、【判断题】命令plot(app.UIAxes,x,y,‘LineWidth’,0.1); 中的第1个参数是坐标轴对象句柄。
A、正确
B、错误
参考资料【 】
专题八单元作业
专题八单元测验
1、【单选题】用于获取当前图形窗口句柄的函数是( )。
A、gca
B、gcf
C、gco
D、gcw
参考资料【 】
2、【单选题】使用figure 函数建立图形窗口时,默认的标题是( )。
A、图形窗口n(n是图形窗口的序号)
B、Fig n(n是图形窗口的序号)
C、Figure n(n是图形窗口的序号)
D、Figure Window n(n是图形窗口的序号)
参考资料【 】
3、【单选题】用于决定坐标轴对象是否带边框的属性是( )。
A、Box
B、Grid
C、Position
D、Font
参考资料【 】
4、【单选题】下列命令中,除一条命令外其他三条命令等价,这一条命令是( )。
A、line(x,y,‘Color’,‘r’);
B、line(x,y,‘r’);
C、plot(x,y,‘Color’,‘r’);
D、plot(x,y,‘r’);
参考资料【 】
5、【单选题】h代表一根曲线,要设置曲线的颜色为红色,可以使用命令( )。
A、h.Color=‘r’;
B、h.color=‘r’;
C、h.COLOR=‘r’;
D、h.LineColor=‘r’;
参考资料【 】
6、【单选题】用于标识图形对象的属性是( )属性。
A、Title
B、String
C、Tag
D、Label
参考资料【 】
7、【单选题】控件的BackgroundColor属性和ForegroundColor属性分别代表( )。
A、前景色和背景色
B、前景色和说明文字的颜色
C、说明文字的颜色和背景色
D、背景色和说明文字的颜色
参考资料【 】
8、【单选题】用于定义按钮被单击的响应的属性是( )。
A、String
B、Command
C、CallBack
D、Value
参考资料【 】
9、【单选题】定义菜单项时,为了使该菜单项呈灰色,应将其Enable属性设置为( )。
A、‘On’
B、‘Off’
C、‘Yes’
D、‘No’
参考资料【 】
10、【单选题】用于检查和设置对象属性的图形用户界面设计工具是( )。
A、对象属性检查器
B、工具栏编辑器
C、对象浏览器
D、对象属性窗格
参考资料【 】
11、【多选题】App Designer的组件库提供包括的组件有( )。
A、图形窗口
B、坐标轴
C、面板
D、旋钮
参考资料【 】
12、【多选题】在图形窗口绘制三维曲面图z=sin y cos x,且x∈[0,2π],y∈[0,2π],可以使用的程序是( )。
A、x=0:pi/20:2pi;[x,y]=meshgrid(x);z=sin(y).cos(x);surf(x,y,z);
B、x=0:pi/20:2pi;[x,y]=meshgrid(x);z=sin(y).*cos(x);surface(x,y,z);grid on;view(-30,37.5)
C、fx=@(x,y) x;fy=@(x,y) y;fz=@(x,y) sin(y).cos(x);fsurf(fx,fy,fz,[0,2pi])
D、fx=@(x,y) x;fy=@(x,y) y;fz=@(x,y) sin(y).cos(x);surface(fx,fy,fz,[0,2pi])
参考资料【 】
13、【判断题】如果需要取消图形窗口默认的菜单,可以将图形窗口的MenuBar属性设置为none。
A、正确
B、错误
参考资料【 】
14、【判断题】控件的Position属性由2个元素构成,为控件左下角相对于图形窗口的横、纵坐标值。
A、正确
B、错误
参考资料【 】
随堂测验
1、【单选题】要在同一模型编辑窗口中复制模块,不正确的方法是( )。
A、单击要复制的模块,按住鼠标左键并同时按下Ctrl键,移动鼠标到适当位置放开鼠标
B、单击要复制的模块,按住鼠标左键并同时按下Shift键,移动鼠标到适当位置放开鼠标
C、在模型编辑窗口选择Edit→Copy命令和Edit→Paste命令
D、右键单击要复制的模块,从快捷菜单中选择Copy命令和Paste命令
参考资料【 】
2、【单选题】将模块连接好之后,如果要分出一根连线,操作方法是( )。
A、把鼠标指针移到分支点的位置,按住鼠标左键拖曳到目标模块的输入端
B、双击分支点的位置,按住鼠标左键拖曳到目标模块的输入端
C、把鼠标指针移到分支点的位置,按下Shift键并按住鼠标拖曳到目标模块的输入端
D、把鼠标指针移到分支点的位置,按下Ctrl键并按住鼠标拖曳到目标模块的输入端
参考资料【 】
3、【单选题】Integrator(积分)模块包含在( )模块库中。
A、Sources
B、Sinks
C、Continuous
D、Math Operations
参考资料【 】
4、【判断题】Simulink软件不能脱离MATLAB环境而运行。
A、正确
B、错误
参考资料【 】
5、【判断题】建立Simulink仿真模型是在“Simulink模块库浏览器”窗口中进行的。
A、正确
B、错误
参考资料【 】
随堂测验
1、【单选题】由控制信号控制执行的子系统称为( )子系统。
A、条件执行
B、监控执行
C、控制执行
D、触发执行
参考资料【 】
2、【单选题】为子系统定制参数设置对话框和图标,使子系统本身有一个独立的操作界面,这种操作称为子系统的( )。
A、包装
B、集成
C、封装
D、组合
参考资料【 】
3、【多选题】创建子系统的方法有( )。
A、先通过Subsystem模块建立子系统,再为其添加功能模块
B、先选择功能模块,再将已有的模块转换为子系统
C、先通过Subsystem模块建立子系统,再为其添加信号源模块
D、先选择输入输出模块,再建立子系统
参考资料【 】
4、【多选题】条件执行子系统包括( )。
A、使能子系统
B、触发子系统
C、事件驱动子系统
D、使能加触发子系统
参考资料【 】
5、【判断题】在条件执行子系统中,输出信号取决于输入信号和控制信号。
A、正确
B、错误
参考资料【 】
随堂测验
1、【单选题】使用S函数时,必须在模型编辑窗口添加( )模块。
A、Sine Wave
B、S-Function
C、Scope
D、S-Program
参考资料【 】
2、【多选题】以下关于S函数的描述中,正确的有( )。
A、S函数又称为系统函数
B、可以采用MATLAB语言编写S函数,也可以采用C或C++语言编写S函数
C、可以利用S函数来对Simulink模块库进行扩充
D、S函数有现成的模板程序文件
参考资料【 】
3、【判断题】利用M文件编写S函数时,其模板文件包含1个主函数和6个子函数。
A、正确
B、错误
参考资料【 】
4、【判断题】S函数模块不能被封装。
A、正确
B、错误
参考资料【 】
随堂测验
1、【单选题】已知仿真模型如图(a)所示,示波器的输出结果如图(b)所示。<img style=“width: 479px; height: 180px;” src="http://edu-image.nosdn.127.net/FE7F007AC94D22B93AF9B828479EC72C.jpg?imageView则XY Graph图形记录仪的输出结果是( )。
A、正弦曲线
B、余弦曲线
C、单位圆
D、椭圆
参考资料【 】
2、【单选题】已知仿真模型和Sine Wave模块的参数设置如下。<img style=“width: 440px; height: 236px;” src="http://edu-image.nosdn.127.net/92ED01CF655E2D8900C6CE4F122204F1.jpg?imageView则示波器的输出波形是( )。
A、
B、
C、
D、
参考资料【 】
3、【判断题】对于二阶微分方程,在仿真模型中可以有两个积分器模块。
A、正确
B、错误
参考资料【 】
4、【判断题】在仿真模型中添加一个输出端口模块(Out模块),能够将结果输出到MATLAB工作空间中。
A、正确
B、错误
参考资料【 】
5、【判断题】使用信号路由(Signal Routing)模块库中的Switch模块可以实现一个分段函数。
A、正确
B、错误
参考资料【 】
专题九单元测验(不计入总分)
1、【单选题】将模块连接好之后,如果要分出一根连线,操作方法是()。
A、把鼠标指针移到分支点的位置,按住鼠标左键拖曳到目标模块的输入端
B、双击分支点的位置,按住鼠标左键拖曳到目标模块的输入端
C、把鼠标指针移到分支点的位置,按下Ctrl键并按住鼠标拖曳到目标模块的输入端
D、把鼠标指针移到分支点的位置,按下Shift键并按住鼠标拖曳到目标模块的输入端
参考资料【 】
2、【单选题】在一个模型窗口上按住一个模块并同时按Shift键移动到另一个模型窗口,则()。
A、在两个模型窗口都有这个模块
B、在后一个窗口有这个模块
C、在前一个窗口有这个模块
D、在两个窗口都有模块并添加连线
参考资料【 】
3、【单选题】为子系统定制参数设置对话框和图标,使子系统本身有一个独立的操作界面,这种操作称为子系统的()。
A、包装
B、封装
C、集成
D、组合
参考资料【 】
4、【单选题】使用S函数时,要在模型编辑窗口添加()。
A、Sine Wave模块
B、S-Program模块
C、Subsystem模块
D、S-Function模块
参考资料【 】
5、【单选题】已知仿真模型如图所示,各模块参数均采用默认设置,则示波器的输出波形是()。
A、
B、
C、
D、
参考资料【 】
6、【多选题】启动Simulink的方法有()。
A、在命令行窗口中输入simulink命令
B、在“主页”选项卡中单击SIMULINK命令组中的“Simulink”命令按钮
C、在 “主页”选项卡中单击“文件”命令组中的“新建”命令按钮
D、在 “主页”选项卡中单击“文件”命令组中的“新建脚本”命令按钮
参考资料【 】
7、【多选题】根据控制信号的控制方式不同,条件执行子系统分为()。
A、事件驱动子系统
B、使能子系统
C、触发子系统
D、使能加触发子系统
参考资料【 】
8、【多选题】以下关于S函数的描述中,正确的有()。
A、利用S函数可以对Simulink模块库进行扩充
B、S函数只能用MATLAB语言编写
C、S函数有现成的模板程序
D、S函数模块能够被封装
参考资料【 】
9、【判断题】建立系统仿真模型是在Simulink模型编辑窗口中进行的。
A、正确
B、错误
参考资料【 】
10、【判断题】利用触发子系统能够将锯齿波转换为方波。
A、正确
B、错误
参考资料【 】
11、【判断题】利用Simulink仿真可以求定积分。
A、正确
B、错误
参考资料【 】
最后
以上就是哭泣小虾米最近收集整理的关于[渝粤教育] 中南大学 科学计算与MATLAB语言 参考 资料的全部内容,更多相关[渝粤教育]内容请搜索靠谱客的其他文章。
发表评论 取消回复