我是靠谱客的博主 怕孤单睫毛,这篇文章主要介绍输出信噪比公式_从香农公式到5G 之一1.离散信道容量2.连续信道容量3. 注水定理,现在分享给大家,希望可以做个参考。

在之前的一些文章中,分享过关于5G的科普文章,包括《5G使互联网焕发无限可能》,《漫说5G》,《简明5G格局》,《学习5G,从认识分贝(dB)开始》,《高晓松老师讲5G——课后笔记》。通过这些文章的介绍,可以对于5G的应用前景有简单的了解。

但是这些科普文章与5G而言,只能起到隔靴搔痒的作用,下面我们就来解开5G的神秘面纱,《从香农公式到5G》系列我想用两篇文章来介绍通信技术在信道容量上的发展。

本文参考樊昌信 曹丽娜 编著的《通信原理》和杨学志编著的《通信之道》。

在广义的通信系统中,信道是很重要的一部分。信道的任务是以信号方式传输信息和存储信息。研究信道就是研究信道中能够传送或存储最大信息量,即信道容量问题。信道容量是指信道能够传输的最大平均速率。

信道可以简单的划分为数字信道(digital channel)和模拟信道(analog channel),数字信道是指信道的输入和输出在幅度和时间上的取值都是连续的。模拟信号是指信号的输入和输出在幅度和时间上取值是离散的。

一切不包括电器设备在内的传输信息的物理信道都是模拟信道,如电磁波在空间中传播,所以对于模拟信道的容量研究是具有更大的实际意义的。

1.离散信道容量

离散信道容量可以用每个符号能够传输平均信息量的最大值表示。n个发送符号和m个接收符号的离散信道模型如图1所示。

265af760ceab0a301854002d7f5b2f48.png

图1. 离散信道模型

图中发送符号x1,x2,...,xn出现的概率为P(xi),收到yi的概率是P(yi),P(xi/yi) 是转移概率,即发送xi的条件下收到yi的条件概率。

在信息论中,我们之道消息所包含的信息量 I 是消息出现概率的函数,且概率越小所包含的信息量越大:

I = -log2P(x)

根据信息论中关于信息量的定义,我们可以计算出图1.中发送 xi 时接收 yj 的概率和信息量分别为

P(xi)·P(xi/yj)

I = -log2P(xi)+log2P(xi/yj)

对于所有的 xi 和 yi 取平均值,得出收到一个符号所获得的平均信息量:

714f0eec655271a16a456d5bee4fcd26.png

根据上式可以看出,收到一个符号的平均信息量只有 H(x)-H(x/y),而发送符号的信息量为 H(x) ,其中减少的部分 H(x/y) 就是传输错误率所引起的损失。 H(x) 为每个发送符号 xi 的平均信息量,称为信源的熵。

2.连续信道容量

根据香农定理可以得到,对于带宽有限、平均功率有限的高斯白噪声连续信道,其信道容量可以表示为:

93d4e34dd4e48bfcb15333e50e94f188.png

其中S为信号平均功率(W),N为噪声功率(W),B为带宽(Hz)。

香农公式是信息量的重要成果,这个公式的重要意义在于,如果信息的传输速率低于信道容量,就一定存在一种编码方法,使得误码率任意接近于零。

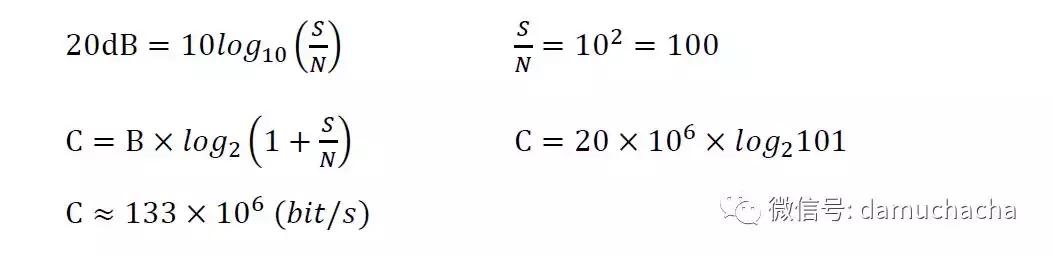
六十多年来,通信产业在这个理论的指引下,一直寻找逼近香农极限的方法,但始终有较大的距离,直到Turbo码的发明,才使得信息速率接近于香农极限。下面我们来计算一下单发射天线下的FDD-LTE的信道容量。在良好覆盖的情况下,4G的信噪比SINR=20dB,在这个条件下计算信道容量:

805c241dc6845d0f093c85e654152520.png

我们计算得到的信道容量为 133Mb/s,在文章《4G的下载速度有多快?》中,我们计算了4G的理论速度,单天线下,2×2MIMO,4×4MIMO的下行速率分别为:75.6Mb/s,151.2Mb/s,302.4Mb/s。可以看出MIMO技术使得下行速率成倍的提升,在下一节中我们将对MIMO进行分析。

3. 注水定理

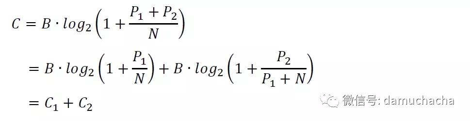
如果信号的功率可以分为 P=P1+P2,根据息香农公式,可以得到这样的一个结果:

51dc1948dc2c5d752d0dfa0dcf93a9d4.png

C1可以理解为功率为P1,噪声为N的容量;C2可以理解为功率为P2,噪声为P1+N的容量。这就意味着,第一份功率产生一个容量,同时等效成了对第二份功率的噪声。

注水算法是根据某种准则,并根据信道状况对发送功率进行自适应分配。通常是信道状况好的时刻,多分配功率,信道差的时刻,少分配功率,从而最大化传输速率。如图2.所示,白色平台越低,代表信道质量越好,注水的量就越多。

99e0e2b226c78b5e911d4f8989adb80c.png

图2.注水原理示意图

3b4f037862ef6f01c0bd51dc865a31f2.png

最后

以上就是怕孤单睫毛最近收集整理的关于输出信噪比公式_从香农公式到5G 之一1.离散信道容量2.连续信道容量3. 注水定理的全部内容,更多相关输出信噪比公式_从香农公式到5G内容请搜索靠谱客的其他文章。

本图文内容来源于网友提供,作为学习参考使用,或来自网络收集整理,版权属于原作者所有。
点赞(209)

评论列表共有 0 条评论

立即
投稿
返回
顶部