from:http://www.cnblogs.com/fantasy01/p/4581803.html?utm_source=tuicool
关于对信息、熵、信息增益是信息论里的概念,是对数据处理的量化,这几个概念主要是在决策树里用到的概念,因为在利用特征来分类的时候会对特征选取顺序的选择,这几个概念比较抽象,我也花了好长时间去理解(自己认为的理解),废话不多说,接下来开始对这几个概念解释,防止自己忘记的同时,望对其他人有个借鉴的作用,如有错误还请指出。
1、信息
这个是熵和信息增益的基础概念,我觉得对于这个概念的理解更应该把他认为是一用名称,就比如‘鸡‘(加引号意思是说这个是名称)是用来修饰鸡(没加引号是说存在的动物即鸡),‘狗’是用来修饰狗的,但是假如在鸡还未被命名为'鸡'的时候,鸡被命名为‘狗’,狗未被命名为‘狗’的时候,狗被命名为'鸡',那么现在我们看到狗就会称其为‘鸡’,见到鸡的话会称其为‘鸡’,同理,信息应该是对一个抽象事物的命名,无论用不用‘信息’来命名这种抽象事物,或者用其他名称来命名这种抽象事物,这种抽象事物是客观存在的。
引用香农的话,信息是用来消除随机不确定性的东西,当然这句话虽然经典,但是还是很难去搞明白这种东西到底是个什么样,可能在不同的地方来说,指的东西又不一样,从数学的角度来说可能更加清楚一些,数学本来就是建造在悬崖之上的一种理论,一种抽象的理论,利用抽象来解释抽象可能更加恰当,同时也是在机器学习决策树中用的定义,如果带分类的事物集合可以划分为多个类别当中,则某个类(xi)的信息定义如下:

I(x)用来表示随机变量的信息,p(xi)指是当xi发生时的概率,这里说一下随机变量的概念,随机变量时概率论中的概念,是从样本空间到实数集的一个映射,样本空间是指所有随机事件发生的结果的并集,比如当你抛硬币的时候,会发生两个结果,正面或反面,而随机事件在这里可以是,硬币是正面;硬币是反面;两个随机事件,而{正面,反面}这个集合便是样本空间,但是在数学中不会说用‘正面’、‘反面’这样的词语来作为数学运算的介质,而是用0表示反面,用1表示正面,而“正面->1”,"反面->0"这样的映射便为随机变量,即类似一个数学函数。
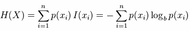
2、熵
既然信息已经说完,熵说起来就不会那么的抽象,更多的可能是概率论的定义,熵是约翰.冯.诺依曼建议使用的命名(当然是英文),最初原因是因为大家都不知道它是什么意思,在信息论和概率论中熵是对随机变量不确定性的度量,与上边联系起来,熵便是信息的期望值,可以记作:

n为:类别的个数。
熵只依赖X的分布,和X的取值没有关系,熵是用来度量不确定性,当熵越大,概率说X=xi的不确定性越大,反之越小,在机器学期中分类中说,熵越大即这个类别的不确定性更大,反之越小,当随机变量的取值为两个时,熵随概率的变化曲线如下图:

当p=0或p=1时,H(p)=0,随机变量完全没有不确定性,当p=0.5时,H(p)=1,此时随机变量的不确定性最大
条件熵
条件熵是用来解释信息增益而引入的概念,概率定义:随机变量X在给定条件下随机变量Y的条件熵,对定义描述为:X给定条件下Y的条件干率分布的熵对X的数学期望,在机器学习中为选定某个特征后的熵,公式如下:

这里可能会有疑惑,这个公式是对条件概率熵求期望,但是上边说是选定某个特征的熵,没错,是选定某个特征的熵,因为一个特征可以将待分类的事物集合分为多类,即一个特征对应着多个类别,因此在此的多个分类即为X的取值。
3、信息增益
信息增益在决策树算法中是用来选择特征的指标,信息增益越大,则这个特征的选择性越好,在概率中定义为:待分类的集合的熵和选定某个特征的条件熵之差(这里只的是经验熵或经验条件熵,由于真正的熵并不知道,是根据样本计算出来的),公式如下:
![]()
注意:这里不要理解偏差,因为上边说了熵是类别的,但是在这里又说是集合的熵,没区别,因为在计算熵的时候是根据各个类别对应的值求期望来等到熵
4、信息增益算法(举例,摘自统计学习算法)
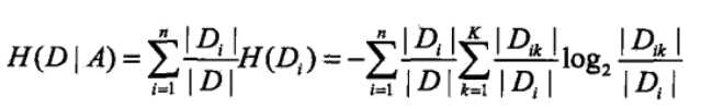
训练数据集合D,|D|为样本容量,即样本的个数(D中元素个数),设有K个类Ck来表示,|Ck|为Ci的样本个数,|Ck|之和为|D|,k=1,2.....,根据特征A将D划分为n个子集D1,D2.....Dn,|Di|为Di的样本个数,|Di|之和为|D|,i=1,2,....,记Di中属于Ck的样本集合为Dik,即交集,|Dik|为Dik的样本个数,算法如下:
输入:D,A
输出:信息增益g(D,A)
(1)D的经验熵H(D)

此处的概率计算是根据古典概率计算,由于训练数据集总个数为|D|,某个分类的个数为|Ck|,在某个分类的概率,或说随机变量取某值的概率为:|Ck|/|D|
(2)选定A的经验条件熵H(D|A)

此处的概率计算同上,由于|Di|是选定特征的某个分类的样本个数,则|Di|/|D|,可以说为在选定特征某个分类的概率,后边的求和可以理解为在选定特征的某个类别下的条件概率的熵,即训练集为Di,交集Dik可以理解在Di条件下某个分类的样本个数,即k为某个分类,就是缩小训练集为Di的熵
(3)信息增益
![]()
4、基尼指数
1、是一种不等性度量;
2、通常用来度量收入不平衡,可以用来度量任何不均匀分布;
3、是介于0~1之间的数,0-完全相等,1-完全不相等;
4、总体内包含的类别越杂乱,GINI指数就越大(跟熵的概念很相似)
基尼不纯度指标
在CART算法中, 基尼不纯度表示一个随机选中的样本在子集中被分错的可能性。基尼不纯度为这个样本被选中的概率乘以它被分错的概率。当一个节点中所有样本都是一个类时,基尼不纯度为零。
假设y的可能取值为{1, 2, ..., m},令fi是样本被赋予i的概率,则基尼指数可以通过如下计算:

使用基尼系数作为特征划分规则时:

上述使用jini指数作为特征分类标准时,以特定的一个属性作为一部分,另外的全部属性作为另外一部分,来计算jini指数。
《统计学习》中CART树的gini指数计算:
计算的表格数据,是一个分类问题:
计算最佳的特征值和属性值
5、 python实现信息增益和基尼系数 的计算
1.输入数据集
#!/usr/bin/env python
# -*- coding: utf-8 -*-
"""
__title__ = ''
__author__ = 'mike_jun'
__mtime__ = '2019-7-12'
#目的:
"""
import numpy as np
import pandas as pd
import matplotlib.pyplot as plt
import io
# 计算两个特征的基尼指数
data_str = output = io.StringIO('''编号,色泽,根蒂,敲声,纹理,脐部,触感,密度,含糖率,好瓜
1,青绿,蜷缩,浊响,清晰,凹陷,硬滑,0.697,0.46,是
2,乌黑,蜷缩,沉闷,清晰,凹陷,硬滑,0.774,0.376,是
3,乌黑,蜷缩,浊响,清晰,凹陷,硬滑,0.634,0.264,是
4,青绿,蜷缩,沉闷,清晰,凹陷,硬滑,0.608,0.318,是
5,浅白,蜷缩,浊响,清晰,凹陷,硬滑,0.556,0.215,是
6,青绿,稍蜷,浊响,清晰,稍凹,软粘,0.403,0.237,是
7,乌黑,稍蜷,浊响,稍糊,稍凹,软粘,0.481,0.149,是
8,乌黑,稍蜷,浊响,清晰,稍凹,硬滑,0.437,0.211,是
9,乌黑,稍蜷,沉闷,稍糊,稍凹,硬滑,0.666,0.091,否
10,青绿,硬挺,清脆,清晰,平坦,软粘,0.243,0.267,否
11,浅白,硬挺,清脆,模糊,平坦,硬滑,0.245,0.057,否
12,浅白,蜷缩,浊响,模糊,平坦,软粘,0.343,0.099,否
13,青绿,稍蜷,浊响,稍糊,凹陷,硬滑,0.639,0.161,否
14,浅白,稍蜷,沉闷,稍糊,凹陷,硬滑,0.657,0.198,否
15,乌黑,稍蜷,浊响,清晰,稍凹,软粘,0.36,0.37,否
16,浅白,蜷缩,浊响,模糊,平坦,硬滑,0.593,0.042,否
17,青绿,蜷缩,沉闷,稍糊,稍凹,硬滑,0.719,0.103,否 ''')
data = pd.read_csv(data_str)
data.set_index('编号', inplace=True)
print(data)
2.计算系统信息熵
def entropy(data):
length = data.size
ent = 0
for i in data.value_counts():
print(i)
prob = i / length
ent += - prob * (np.log2(prob))
return ent
print('--------')
print(entropy(data['好瓜'])) # 0.9975025463691153
3.计算信息增益
def gain(data, input_column, output_colum):
"""
:param data: 输入DataFrame 的数据
:param input_column: 特征的名称
:param output_colum: 好瓜or 坏
:return:
"""
ret = 0
lens = data[output_colum].size
all_attribute = data[input_column].value_counts() # 保存特征全部属性的取值个数
for name in data[input_column].unique(): # 特征的不同属性名
print(name)
temp = 0
for i in range(len(data[output_colum].unique())): # 好瓜 or 坏瓜
attribute_num = data[input_column].where(data[output_colum] == data[output_colum].unique()[i]).value_counts()
# print(attribute_num[name]) # 当刚好 好瓜 中没有 硬挺这一属性值的时候,使用异常处理机制
try:
prob = int(attribute_num[name]) / int(all_attribute[name])
except:
prob = 0
if prob == 0:
temp += 0
else:
temp += - prob * np.log2(prob)
# 还需要乘以 该属性出现的概率
temp *= all_attribute[name] / lens
ret += temp
return ret
print(gain(data, '根蒂', '好瓜'))
entD = entropy(data['好瓜'])
for name in data.columns[:-3]:
print('打印出全部的特征的信息增益')
ret = gain(data, name, '好瓜')
print(name)
gain_ = entD - ret
print(gain_)
print(entD)
4.计算基尼系数
# 计算基尼系数, 基尼系数越小,越应该选择该特征作为分裂结点
def gini_index(data, input_column, output_colum):
ret = 0
lens = data[output_colum].size
all_attribute = data[input_column].value_counts() # 保存全部属性的取值个数
for name in data[input_column].unique(): # 特征的不同属性
print(name)
temp = 0
for i in range(len(data[output_colum].unique())): # 输出值的取值个数
# 当 为好瓜时,
attribute_num = data[input_column].where(data[output_colum] == data[output_colum].unique()[i]).value_counts()
# print(attribute_num[name]) # 当刚好 好瓜中没有 硬挺这一属性值的时候,使用异常处理机制
try:
prob = int(attribute_num[name]) / int(all_attribute[name])
except:
prob = 0
if prob == 0:
temp += 0
else:
temp += np.square(prob)
# 还需要乘以 该属性出现的概率
temp = all_attribute[name] / lens * (1-temp)
ret += temp
return ret
print('打印出全部的特征的基尼系数')
for name in data.columns[:-3]:
ret = gain(data, name, '好瓜')
print(name)
print(ret)
项目推荐:
2000多G的计算机各行业电子资源分享(持续更新)
2020年微信小程序全栈项目之喵喵交友【附课件和源码】
Spring Boot开发小而美的个人博客【附课件和源码】
Java微服务实战296集大型视频-谷粒商城【附代码和课件】
Java开发微服务畅购商城实战【全357集大项目】-附代码和课件
最全最详细数据结构与算法视频-【附课件和源码】

最后
以上就是英俊星星最近收集整理的关于决策树中信息、熵、信息增益、基尼指数的概念及其python实现的全部内容,更多相关决策树中信息、熵、信息增益、基尼指数内容请搜索靠谱客的其他文章。
发表评论 取消回复