⛄一、无线传感器网络覆盖优化问题简介
无线传感器网络覆盖优化问题
1 无线传感器网络模型**
在无线传感器网络中, 节点数量以及节点划分区域直接关系着无线传感器网络对目标事物覆盖死角面积, 增多节点数量能够提高网络覆盖密度。将节点更多地划分在离目标事物距离近的区域内, 可以增强网络数据传输的安全性和准确性。无线传感器网络认知模型搭建的目的就是对无线传感器网络的覆盖死角进行定义和测量, 为此, 基于粒子群算法的无线传感器网络覆盖优化方法可看成是对认知模型的参数优化问题。
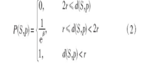
传感器网络节点容易受到噪音和电磁波的扰乱造成传输误差, 这些因不可抗拒因素导致的一系列缩减网络覆盖率问题被统称为无效事件。设无线传感器网络认知模型在起点坐标为S、终点坐标为p的节点上测量到存在无效事件的几率为P (S, p) , 降低P (S, p) 即可提高覆盖率。P (S, p) 的定义式为:

式中:β是节点认知力衰减函数;d (S, p) 表示S与p之间的欧几里得度量。
从式 (1) 中能够明显看出, 如果d (S, p) =0, 则P (S, p) =1, 此时的模型测量工作是无意义的。为此, 需要对式 (1) 进行改进, 为其指定一个节点几率约束值r, 则式 (1) 可变更为:

式 (2) 可表示无线传感器网络认知模型的最终表达式, 从中能够得知, 模型已将无线传感器网络覆盖优化工作转化成在r≤d (S, p) <2r条件下的P (S, p) 最小值问题。
2 覆盖率优化问题描述
将无线传感器网络对目标物体的监控区域看成一个二维区域, 二维区域中存在N个已知坐标的节点, 设区域中所有节点的认知半径均为R1, 节点传输半径均为R2。若想在维系网络稳定通信的同时将电磁波的不良影响降至最低, 可令R2=2R1。

式中:β1, β2是无线传感器网络节点的测量项目数据;λ1, λ2是参数, λ1=r+d, λ2=2r-d。
将式 (3) 耦合可以得到无线传感器网络覆盖率的表达式:

⛄二、部分源代码
clc;% 清屏
clear all;% 清除所有变量
close all;
warning off all; % 避免所有警告
%恢复默认路径;
%addpath(genpath(pwd));
animation=0;
rng default
N=50;% 节点总数 % 50 100 150
min1=0;
max1=400;
X = min1+(max1-min1)*rand(1,N);
Y = min1+(max1-min1)*rand(1,N);
Rc=140; %传感器场半径
%基站坐标
Xb = max1+2+rand(1,1);
Yb =(max1+2)+rand(1,1);
%% Node Energy
E=1.*ones(1,N);%0.8 +(1-0.8).*rand(1,N);%1.*ones(1,N); % 初始化节点能量
E1=E;
minTh=E/2; %% 分钟
%%
figure,
for i2 = 1:N
plot(X(i2),Y(i2),‘o’,‘LineWidth’,1,…
‘MarkerEdgeColor’,‘k’,…
‘MarkerFaceColor’,‘b’,…
‘MarkerSize’,8’);
xlabel(‘X in m’)
ylabel(‘Y in m’)
text(X(i2), Y(i2), num2str(i2),‘FontSize’,10);
hold on;
end
xlabel(‘X in m’)
xlabel(‘Y in m’)
title(‘网络模型’)
% plot(Xb,Yb,‘s’,‘LineWidth’,1,…
% ‘MarkerEdgeColor’,‘k’,…
% ‘MarkerFaceColor’,‘y’,…
% ‘MarkerSize’,12’);
% xlabel(‘X in m’)
% ylabel(‘Y in m’)
% text(Xb, Yb, ‘Base’,‘FontSize’,10);
% hold on;
⛄三、运行结果



⛄四、matlab版本及参考文献
1 matlab版本
2014a
2 参考文献
[1] 包子阳,余继周,杨杉.智能优化算法及其MATLAB实例(第2版)[M].电子工业出版社,2016.
[2]张岩,吴水根.MATLAB优化算法源代码[M].清华大学出版社,2017.
[3]张红霞.基于粒子群算法的无线传感器网络覆盖优化[J].现代电子技术. 2017,40(09)
3 备注
简介此部分摘自互联网,仅供参考,若侵权,联系删除
最后
以上就是怡然小鸽子最近收集整理的关于【优化覆盖】基于matlab前缀B算法求解传感器覆盖优化问题【含Matlab源码 379期】的全部内容,更多相关【优化覆盖】基于matlab前缀B算法求解传感器覆盖优化问题【含Matlab源码内容请搜索靠谱客的其他文章。
发表评论 取消回复