我是靠谱客的博主 安静仙人掌,这篇文章主要介绍Python解方程组 scipy.optimize.fsolve()函数 求解带有循环求和的方程式简单粗暴介绍fsolve()函数用法:再看看有参数的解法:更复杂的方程式带有循环求和:,现在分享给大家,希望可以做个参考。
最近做的课题需要求解方程组,方程组还挺复杂,未知参数比较多
简单粗暴介绍fsolve()函数用法:
假如要解方程组
x*y=6
x+y=5
先变换成右边为0的形式
x*y-6
x+y-5
func函数中直接替换要解的方程就可
import scipy
from scipy.optimize import fsolve
def func(i):
x, y = i[0], i[1]
return [ # 这里写要求解的方程组式子,变成等于0的形式
x*y-6,
x+y-5 ]
if __name__ == '__main__':
r = scipy.optimize.fsolve(func, [0, 0])
print(r)
结果
[2. 3.]
再看看有参数的解法:
如果有参数a,b需要传入
axy-6
x+by-5
import scipy
from scipy.optimize import fsolve
def func(i, params):
x, y = i[0], i[1]
a, b = params
return [ # 这里写要求解的方程组式子,变成等于0的形式
a*x*y-6,
x+b*y-5 ]
if __name__ == '__main__':
a = 2
b = 0.5
params = [a, b]
r = scipy.optimize.fsolve(func, [0, 0], args=params)
print(r)
结果
[0.32055053 9.35889894]
近似解
更复杂的方程式带有循环求和:
附三角函数写法
import math
math.sin(theta)
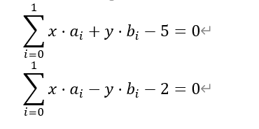
带求和符号的方程求解(这里举一个简单的例子好理解一些)

这里用sum来计算和
import scipy
from scipy.optimize import fsolve
def func(i, params):
x, y = i[0], i[1]
a, b = params
list_e1 = [x * a[j][0] + y * b[j][0] - 5 for j in range(2)]
list_e2 = [x * a[j][1] - y * b[j][1] - 2 for j in range(2)]
return [ # 这里写要求解的方程组式子,变成等于0的形式
sum(list_e1),
sum(list_e2)
]
if __name__ == '__main__':
a = [[3, 4], [3, 4]]
b = [[1, 3], [4, 1]]
params = [a, b]
r = scipy.optimize.fsolve(func, [0, 0], args=params)
print(r)
结果
[0.9375 0.875 ]
最后
以上就是安静仙人掌最近收集整理的关于Python解方程组 scipy.optimize.fsolve()函数 求解带有循环求和的方程式简单粗暴介绍fsolve()函数用法:再看看有参数的解法:更复杂的方程式带有循环求和:的全部内容,更多相关Python解方程组内容请搜索靠谱客的其他文章。
本图文内容来源于网友提供,作为学习参考使用,或来自网络收集整理,版权属于原作者所有。
发表评论 取消回复