上节回顾



多分类SVM
1. 多分类学习概述
2. 多分类学习 -- 一对一
3. 多分类学习 -- 一对多余
4. 一对多 VS 一对其余
5. 多分类学习 -- 多对多
1. 多分类学习概述
(1)多分类学习方法:
二分类学习方法推广到多类
利用二分类学习器解决多分类问题(常用)
对问题进行拆分,为拆出的每个二分类任务训练一个分类器
对于每个分类器的预测结果进行集成以获得最终的多分类结果
(2)拆分策略
一对一(One vs. One, OvO)
一对其余(One vs. Rest, OvR)
多对多(Many vs. Many, MvM)
2. 多分类学习 -- 一对一
一对一:one-against-one, or pairwise classification
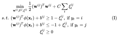
设训练集数据共M个类,one-against-one方法是在每两个类之间都构造一个binary SVM。

对第i类数据和第j类数据,训练一个binary SVM,即求解下列二次规划问题。



测试阶段:投票策略(voting strategy)
每个binary SVM根据其决策函数对新数据xnew有一个预测(投票),以i类和j类之间binary SVM为例,若对xnew的预测为i类,则i类得票加1;否则j类加1;
最终得票最多的类别就是对xnew的预测;
若出现平票的情况,(虽然可能不是一个好方法),简单地选择索引较小的那个类别作为对xnew的分类。

3. 多分类学习 -- 一对多余
一对多:one-against-all, or one-against-the-rest
对于每一个类,将其作为+1类,而其余M-1个类的所有样本作为-1类,构造一个binary SVM。




4. 一对多 VS 一对其余

| 一对一 | 一对其余 |
| 训练M(M-1)/2个分类器,存储开销和测试时间大 训练只用两个类的样例,训练时间短 | 训练M个分类器,存储开销和测试时间小 训练用到全部训练样例,训练时间长 |
预测性能取决于具体数据分布,多数情况下两者差不多
5. 多分类学习 -- 多对多
多对多(Many vs Many, MvM)若干类作为正类,若干类作为反类
纠错输出码(Error Correcting Output Code, ECOC)


最后
以上就是阳光鱼最近收集整理的关于机器学习-支持向量机 -- 多分类SVM多分类SVM的全部内容,更多相关机器学习-支持向量机内容请搜索靠谱客的其他文章。
发表评论 取消回复