说明:这是一个机器学习实战项目(附带数据+代码+文档+视频讲解),如需数据+代码+文档+视频讲解可以直接到文章最后获取。
1.项目背景
灰狼优化算法(GWO),由澳大利亚格里菲斯大学学者 Mirjalili 等人于2014年提出来的一种群智能优化算法。灵感来自于灰狼群体捕食行为。优点:较强的收敛性能,结构简单、需要调节的参数少,容易实现,存在能够自适应调整的收敛因子以及信息反馈机制,能够在局部寻优与全局搜索之间实现平衡,因此在对问题的求解精度和收敛速度方面都有良好的性能。缺点:存在着易早熟收敛,面对复杂问题时收敛精度不高,收敛速度不够快。
灰狼群体中有严格的等级制度,一小部分拥有绝对话语权的灰狼带领一群灰狼向猎物前进。灰狼群一般分为4个等级:αβδω(权利从大到小)模拟领导阶层。集体狩猎是灰狼的一种社会行为,社会等级在集体狩猎过程中发挥着重要的作用,捕食的过程在α的带领下完成。主要包括三个步骤:
- 跟踪和接近猎物
- 骚扰、追捕和包围猎物,直到它停止移动
- 攻击猎物
本项目通过GWO灰狼优化算法优化支持向量机分类模型。
2.数据获取
本次建模数据来源于网络(本项目撰写人整理而成),数据项统计如下:
数据详情如下(部分展示):
3.数据预处理
3.1 用Pandas工具查看数据
使用Pandas工具的head()方法查看前五行数据:
关键代码:
3.2数据缺失查看
使用Pandas工具的info()方法查看数据信息:
从上图可以看到,总共有12个变量,数据中无缺失值,共1000条数据。
关键代码:
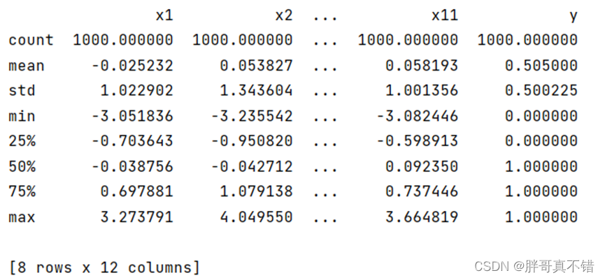
3.3数据描述性统计
通过Pandas工具的describe()方法来查看数据的平均值、标准差、最小值、分位数、最大值。
关键代码如下:
4.探索性数据分析
4.1 y变量柱状图
用Matplotlib工具的plot()方法绘制直方图:
4.2 y=1样本x1变量分布直方图
用Matplotlib工具的hist()方法绘制直方图:
4.3 相关性分析
从上图中可以看到,数值越大相关性越强,正值是正相关、负值是负相关。
5.特征工程
5.1 建立特征数据和标签数据
关键代码如下:
5.2 数据集拆分
通过train_test_split()方法按照80%训练集、20%测试集进行划分,关键代码如下:
6.构建GWO灰狼优化算法优化支持向量机分类模型
主要使用GWO灰狼优化算法优化SVC算法,用于目标分类。
6.1 GWO灰狼优化算法寻找的最优参数
关键代码:
每次迭代的过程数据:
通过上图可以看出,每次迭代灰狼的位置数据。
模型准确率曲线图:
通过上图可以看到,迭代7~8次之后准确率基本趋于平稳。
最优参数:
6.2 最优参数值构建模型
7.模型评估
7.1评估指标及结果
评估指标主要包括准确率、查准率、查全率、F1分值等等。
从上表可以看出,F1分值为0.9662,说明模型效果比较好。
关键代码如下:
7.2 查看是否过拟合
从上图可以看出,训练集和测试集分值相当,无过拟合现象。
7.3 分类报告
从上图可以看出,分类为0的F1分值为0.96;分类为1的F1分值为0.97。
7.4 混淆矩阵
从上图可以看出,实际为0预测不为0的 有4个样本;实际为1预测不为1的 有3个样本,整体预测准确率良好。
8.结论与展望
综上所述,本文采用了GWO灰狼优化算法寻找支持向量机SVC算法的最优参数值来构建分类模型,最终证明了我们提出的模型效果良好。此模型可用于日常产品的预测。
本次机器学习项目实战所需的资料,项目资源如下:
项目说明:
链接:https://pan.baidu.com/s/1c6mQ_1YaDINFEttQymp2UQ
提取码:thgk
最后
以上就是欣慰小懒猪最近收集整理的关于Python实现GWO智能灰狼优化算法优化支持向量机分类模型(SVC算法)项目实战的全部内容,更多相关Python实现GWO智能灰狼优化算法优化支持向量机分类模型(SVC算法)项目实战内容请搜索靠谱客的其他文章。















每次迭代的过程数据:








发表评论 取消回复