Leetcode 871/Lintcode 1497 · Minimum Number of Refueling Stops
DP
题目描述:
汽车从起始位置行驶到目的地,该目的地位于起始位置以东的目标英里处。一路上,有加油站。 每个station[i]代表一个加油站,它位于起始位置以东station[i] [0]英里处,并且有station[i] [1]升汽油。
汽车开始时有一个无限的汽油罐,最初燃料中含有燃料。 它每1英里就会使用1升汽油。
当汽车到达加油站时,它可能停下来并加油,将所有汽油从车站转移到汽车中。
为了到达目的地,汽车必须加油的最少次数是多少? 如果无法到达目的地,则返回-1。
请注意,如果汽车到达加油站时燃料正好为0,汽车仍然可以在那里加油。 如果汽车在剩余0燃料的情况下到达目的地,仍然认为已经到达。
1 <= target, startFuel, stations[i][1] <= 10^9
0 <= stations.length <= 500
0 < stations[0][0] < stations[1][0] < … < stations[stations.length-1][0] < target
Example
例 1:
输入: target = 1, startFuel = 1, stations = []
输出: 0
解释:到达目标地点无需进入任何加油站.
例 2:
输入: target = 100, startFuel = 1, stations = [[10,100]]
输出: -1
解释: 无法到达目标地点 (甚至连第一个加油站也到不了).
例 3:
输入: target = 100, startFuel = 10, stations = [[10,60],[20,30],[30,30],[60,40]]
输出: 2
解释:
开始时我们有10升汽油.
行驶至10公里处,消耗10升汽油,并在加油站将汽油从0补充至60升。
然后我们从10公里处移动至60公里处(消耗50升汽油),
并在加油站把汽油从10升补充至50升,然后到达目标地点。
我们在过程中停下并加油了2次,所以返回2.
class Solution {
/*
Approach 1: 1D DP, O(N^2)
So for every station s[i],
if the current distance dp[t] >= s[i][0], we can refuel:
dp[t + 1] = max(dp[t + 1], dp[t] + s[i][1])
In the end, we'll return the first t with dp[t] >= target,
otherwise we'll return -1.
*/
//dp[t] means the furthest distance that we can get with t times of refueling.
public int minRefuelStops(int target, int startFuel, int[][] stations) {
int n = stations.length;
long[] dp = new long[n+1];
dp[0] = startFuel;
for (int i = 0; i < n; ++i){
for (int t = i; t >= 0 && dp[t] >= stations[i][0]; --t){
dp[t+1] = Math.max(dp[t+1], dp[t]+stations[i][1]);
}
}
for(int t = 0; t <= n; ++t){
if (dp[t] >= target) return t;
}
return -1;
}
/*
Approach 2: Priority Queue, O(NlogN)
i: is the index of next stops to refuel.
res: is the times that we have refeuled.
pq: is a priority queue that we store all available gas.
We initial res = 0 and in every loop:
We add all reachable stop to priority queue.
We pop out the largest gas from pq and refuel once.
If we can't refuel, means that we can not go forward and return -1
*/
public int minRefuelStops(int target, int startFuel, int[][] stations) {
Queue<Integer> pq = new PriorityQueue<>((a,b)->b-a);
int i = 0;
int cur = startFuel;
int res;
int n = stations.length;
for (res = 0; cur < target; res++) {
while(i < n && stations[i][0] <= cur){
pq.offer(stations[i++][1]);
}
if (pq.isEmpty()) return -1;
cur += pq.poll();
}
return res;
}
}
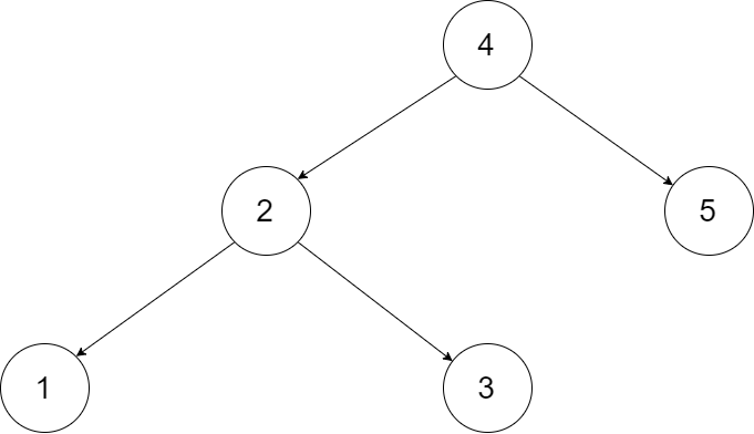
Leetcode 436/Lintcode 1563 · Convert Binary Search Tree to Sorted Doubly Linked List
题目描述:
将BST转换为已排序的循环双向链表。可以将左右指针视为双向链表中上一个和下一个指针的同义词。
我们以下面的BST为例,它可以帮助您更好地理解问题:
我们希望将此BST转换为循环双向链表。双向链表中的每个节点都有一个前任和后继。对于循环双向链表,第一个元素的前导是最后一个元素,最后一个元素的后继是第一个元素。
下图显示了上述BST的循环双向链表。“head”符号表示它指向的节点是链表的最小元素。

具体来说,我们希望进行转型。转换后,树节点的左指针应指向其前一个指针,右指针应指向其后继指针。我们应该将指针返回到链表的第一个元素。
下图显示了转换后的BST。实线表示后继关系,而虚线表示前趋关系。
Example
样例 1:
输入: {4,2,5,1,3}
4 / 2 5 / 1 3
输出: “left:1->5->4->3->2 right:1->2->3->4->5”
解释:
left:逆序输出
right:正序输出
样例 2:
输入: {2,1,3}
2 / 1 3输出: “left:1->3->2 right:1->2->3”
/*
// Definition for a Node.
class Node {
public int val;
public Node left;
public Node right;
public Node() {}
public Node(int _val) {
val = _val;
}
public Node(int _val,Node _left,Node _right) {
val = _val;
left = _left;
right = _right;
}
};
*/
class Solution {
Node prev = null;
public Node treeToDoublyList(Node root) {
if (root == null) return null;
Node dummy = new Node();
prev = dummy;
helper(root);
prev.right = dummy.right;
dummy.right.left = prev;
return dummy.right;
}
private void helper (Node cur) {
if (cur == null) return;
helper(cur.left);
// 连接前继点
prev.right = cur;
cur.left = prev;
prev = cur;
helper(cur.right);
}
}
Lintcode 1563 · Shortest path to the destination
BFS
题目描述:
给定表示地图上坐标的2D数组,地图上只有值0,1,2。0表示可以通过,1表示不可通过,2表示目标位置。从坐标[0,0]开始,你只能上,下,左,右移动。找到可以到达目的地的最短路径,并返回路径的长度。
- 地图一定存在且不为空,并且只存在一个目的地
- 保证targetMap[0][0] = 0targetMap[0][0]=0
Example
样例1
输入:
[ [0, 0, 0],
[0, 0, 1],
[0, 0, 2] ]
输出: 4
说明: [0,0] -> [1,0] -> [2,0] -> [2,1] -> [2,2]
样例2
输入:
[
[0,1],
[0,1],
[0,0],
[0,2]
]
输出: 4
说明: [0,0] -> [1,0] -> [2,0] -> [3,0] -> [3,1]
public class Solution {
/**
* @param targetMap:
* @return: nothing
*/
int[][] dirs = {{1, 0}, {0, 1}, {-1, 0}, {0, -1}};
int m;
int n;
public int shortestPath(int[][] targetMap) {
// Write your code here
m = targetMap.length;
n = targetMap[0].length;
boolean[][] visited = new boolean[m][n];
Queue<int[]> queue = new ArrayDeque<>();
queue.add(new int[]{0, 0});
int step = 0;
while(!queue.isEmpty()){
int size = queue.size();
for(int i = 0; i < size; ++i){
int[] p = queue.poll();
if(targetMap[p[0]][p[1]] == 2) return step;
for(int[] d:dirs){
int x = p[0]+d[0];
int y = p[1]+d[1];
if(isValid(targetMap, x, y) && !visited[x][y]){
visited[x][y] = true;
queue.offer(new int[]{x, y});
}
}
}
step++;
}
return -1;
}
private boolean isValid(int[][] grid, int i, int j){
return 0<= i && i < m && 0 <= j && j < n && grid[i][j] != 1;
}
}
Lintcode 1567 · Maximum Can Exchanged Subarray
Lintcode 1568 Poison Test
Lintcode 1569 Social Network
Lintcode 1570 Binary Stream
Leetcode 886/Lintcode 1596 · Possible Bipartition
DFS BFS T: O(V+E). S: O(V+E)
题目描述:
给定一组 N 人(编号为 1, 2, …, N), 我们想把每个人分进任意大小的两组。
每个人都可能不喜欢其他人,那么他们不应该属于同一组。
形式上,如果 dislikes[i] = [a, b],表示不允许将编号为 a 和 b 的人归入同一组。
当可以用这种方法将每个人分进两组时,返回 true;否则返回 false。
1 <= N <= 2000
0 <= dislikes.length <= 10000
1 <= dislikes[i][j] <= N
dislikes[i][0] < dislikes[i][1]
对于 dislikes[i] == dislikes[j] 不存在 i != j
Example
例 1:
输入:N = 4, dislikes = [[1,2],[1,3],[2,4]]
输出:true
解释:group1 [1,4], group2 [2,3]
例 2:
输入:N = 3, dislikes = [[1,2],[1,3],[2,3]]
输出:false
例 3:
输入:N = 5, dislikes = [[1,2],[2,3],[3,4],[4,5],[1,5]]
输出:false
染色法:
class Solution {
// graph[i][j] = 1: i, j dislike each other
int[][] graph;
//group 0:hasn't been visited. 1: group 1; -1 group: -1
int[] group;
public boolean possibleBipartition(int N, int[][] dislikes) {
graph = new int[N][N];
group = new int[N];
for(int[] d:dislikes){
graph[d[0]-1][d[1]-1] = 1;
graph[d[1]-1][d[0]-1] = 1;
}
for(int i = 0; i < N; ++i){
// 遍历每个没访问过的点
if(group[i] == 0 && !dfs(i, 1)){
return false;
}
}
return true;
}
// 给定 index 的点作为group g dfs 判断当前假设是否成立
private boolean dfs(int index, int g){
group[index] = g;
for(int i = 0; i < graph.length; ++i){
if (graph[index][i] == 1) { // 互相不喜欢
if(group[i] == g){ // 但在同一组 flase
return false;
}
if(group[i] == 0 && !dfs(i, -g)){
return false;
}
}
}
return true;
}
}
Lintcode 1604 · Maximum Sum of Two Numbers
HashMap 优先队列 T: O(NlogN). S: O(N)
题目描述:
给定一个由N个整数组成的数组A,返回两个数字的最大总和,规定这两个数的所有位加起来相等。 如果没有两个数字的各个位相加和相等,则该函数应返回-1。
N的范围是 [1, 200000]
A中的每一个参数的范围是 [1, 1000000000]
Example
示例1:
输入:
A = [51, 71, 17, 42]
输出: 93
解释:这里有两对各个位相加和相等的数:(51, 42) 和 (17,71),第一对的和是93
示例2:
输入:
A = [42, 33, 60]
输出: 102
解释:所有的数各个位相加的和都相等,选择42 + 60 = 102
示例3:
输入:
A = [51, 32, 43]
输出: -1
解释: 所有数的各个位相加和都不一样,因此返回-1
public class Solution {
/**
* @param A: An Integer array
* @return: returns the maximum sum of two numbers
*/
public int MaximumSum(int[] A) {
// write your code here
int maxSum = -1;
Map<Integer, Queue<Integer>> map = buildMap(A);
for(Queue<Integer> q : map.values()){
if(q.size() == 2){
maxSum = Math.max(maxSum, q.poll()+q.poll());
}
}
return maxSum;
}
private Map<Integer, Queue<Integer>> buildMap(int[] A) {
Map<Integer, Queue<Integer>> map = new HashMap<>();
for (int a : A){
int digitSum = sum(a);
map.putIfAbsent(digitSum, new PriorityQueue<Integer>());
Queue<Integer> q = map.get(digitSum);
q.add(a);
if(q.size()>2){
q.poll();
}
}
return map;
}
// 求一个数的所有数字之和
private int sum(int n) {
int res = 0;
while(n > 0){
res += n%10;
n /= 10;
}
return res;
}
}
Leetcode 938/Lintcode 1704 · Range Sum of BST
DFS T: O(N). S: O(N)
题目描述:
给定二叉搜索树的根结点 root,返回 L 和 R(含)之间的所有结点的值的和。
二叉搜索树保证具有唯一的值。
树中的结点数量最多为 10000 个。
最终的答案保证小于 2^31。
Example
样例 1:
输入:root = [10,5,15,3,7,null,18], L = 7, R = 15
输出:32
样例 2:
输入:root = [10,5,15,3,7,13,18,1,null,6], L = 6, R = 10
输出:23
/**
* Definition for a binary tree node.
* public class TreeNode {
* int val;
* TreeNode left;
* TreeNode right;
* TreeNode() {}
* TreeNode(int val) { this.val = val; }
* TreeNode(int val, TreeNode left, TreeNode right) {
* this.val = val;
* this.left = left;
* this.right = right;
* }
* }
*/
class Solution {
int ans;
public int rangeSumBST(TreeNode root, int low, int high) {
ans = 0;
dfs(root, low, high);
return ans;
}
public void dfs(TreeNode node, int L, int R) {
if(node != null){
if(L <= node.val&& node.val <= R){
ans+= node.val;
}
if(L < node.val){
dfs(node.left, L, R);
}
if(node.val < R){
dfs(node.right, L, R);
}
}
}
}
Leetcode 935/Lintcode 1707 · Knight Dialer
状态压缩动态规划 T: O(N). S: O(1)
题目描述:

将国际象棋中 “骑士” 放在电话拨号盘的任意数字键(如上图所示)上,接下来,骑士将会跳 N-1 步。每一步必须是从一个数字键跳到另一个数字键。
每当它落在一个键上(包括骑士的初始位置),都会拨出键所对应的数字,总共按下 N位数字。
你能用这种方式拨出多少个不同的号码?
因为答案可能很大,所以输出答案模 10^9 + 7。
1≤ N ≤5000
Example
样例 1:
输入:1
输出:10
说明:
答案可能是0,1,2,3, … , 9,
样例 2:
输入:2
输出:20
说明:
答案可能是04, 06, 16, 18, 27, 29, 34, 38, 43, 49, 40, 61, 67, 60, 72, 76, 81, 83, 94, 92。
样例 3:
输入:3
输出:46
Example 4:
Input: n = 4
Output: 104
Example 5:
Input: n = 3131
Output: 136006598
Explanation: Please take care of the mod.
大佬解释
Google 解释
类似题目:
leetcode 576
leetcode 688

发现,1、3、7、9处于对称位置;2,8处于对称位置;4,6处于对称位置。因此,我们可以将数字分为4个状态,命名为A、B、C、D。其中A:{1,3,7,9}, B:{2,8}, C:{4,6}, D:{0}。
dp(X,n)表示:在状态X下,跳跃n步能够得到不同数字的个数。则状态转移方程为:
dp(A,n)=dp(B,n-1)+dp(C,n-1)
处于状态A中的数字(1,3,7,9)通过一次跳跃要么变成状态B(2,8),要么变成状态C(4,6)
dp(B,n)=2*dp(A,n-1)
处于状态B中的数字(2,8)通过一次跳跃有两种方式变成状态A(1,3,7,9)
dp(C,n)=2*dp(A,n-1)+dp(D,n-1)
处于状态C中的数字(4,6)通过一次跳跃有两种方式变成状态A(1,3,7,9),还有一种方式变成状态D(0)
dp(D,n)=2*dp(C,n-1)
处于状态D中的数字(0)通过一次跳跃有两种方式变成状态C(4,6)
class Solution {
final int MOD = 1_000_000_007;
public int knightDialer(int n) {
if (n == 1){
return 10;
}
// 分别为状态A,B,C,D
//状态A: 1->6-8; 3->4-8; 7->2-6; 9->2,4;
//状态B: 2->7-9; 8->1-3;
//状态C: 4->0-3-9; 6->0-1-7;
//状态D: 0->4-6;
long a = 4, b = 2, c = 2, d = 1;
for (int i = 1; i < n; ++i){
//状态A: 1/3/7/9可以从2/4/6/8得来,比例1:2
long aa=((b+c)*2)%MOD;
//状态B: 2/8 可以从1/3/7/9得来,比例1:2
long bb = a;
//状态C: 4/6 可以从1/3/7/9得来,比例1:2, 从0得来
long cc = (d*2+a)%MOD;
//状态D: 0由4/6得来,比例1:1
long dd = c;
a = aa;
b = bb;
c = cc;
d = dd;
}
return (int)((a+d+b+c)%MOD);
}
}
Lintcode 1725 · Reverse Only Letters
双指针 T: O(N). S: O(1)
题目描述:
给定一个字符串 S,返回 “反转后的” 字符串,其中不是字母的字符都保留在原地,而所有字母的位置发生反转。
S.length <= 100
33 <= S[i].ASCIIcode <= 122
S doesn’t contain or "
Example
样例 1:
输入:“ab-cd”
输出:“dc-ba”
解释:’-'位于原来位置并且其它字符翻转。
样例 2:
输入:“Test1ng-Leet=code-Q!”
输出:“Qedo1ct-eeLg=ntse-T!”
解释:’-’,’=’,‘1’和’!'位于原先位置并且其它字符翻转。
public class Solution {
/**
* @param S: Customary string
* @return: Reversed string
*/
public String ReverseOnlyLetters(String S) {
// write your code here
if (S == null || S.length() == 0) {
return S;
}
char[] sc = S.toCharArray();
int l = 0;
int r = S.length()-1;
while(l < r){
while (l < r && !Character.isLetter(sc[l])) {
l++;
}
while (l < r && !Character.isLetter(sc[r])) {
r--;
}
if (l < r) {
char temp = sc[l];
sc[l] = sc[r];
sc[r] = temp;
l++;
r--;
}
}
return new String(sc);
}
}
Leetcode 901/Lintcode 1740 · Online Stock Span
单调栈 T: O(N). S: O(N)
题目描述:
编写一个 StockSpanner 类,它收集某些股票的每日报价,并返回该股票当日价格的跨度。
今天股票价格的跨度被定义为股票价格小于或等于今天价格的最大连续日数(从今天开始往回数,包括今天)。
例如,如果未来7天股票的价格是 [100, 80, 60, 70, 60, 75, 85],那么股票跨度将是 [1, 1, 1, 2, 1, 4, 6]。
调用 StockSpanner.next(int price) 时,将有 1 <= price <= 10^5。
每个测试用例最多可以调用 10000 次 StockSpanner.next。
在所有测试用例中,最多调用 150000 次 StockSpanner.next。
此问题的总时间限制减少了 50%。
Example
样例 1:
输入:prices = [100,80,60,70,60,75,85]
输出:[1,1,1,2,1,4,6]
解释:
首先,初始化 S = StockSpanner(),然后:
S.next(100) 被调用并返回 1,
S.next(80) 被调用并返回 1,
S.next(60) 被调用并返回 1,
S.next(70) 被调用并返回 2,
S.next(60) 被调用并返回 1,
S.next(75) 被调用并返回 4,
S.next(85) 被调用并返回 6。
注意 (例如) S.next(75) 返回 4,因为截至今天的最后 4 个价格
(包括今天的价格 75) 小于或等于今天的价格。
样例 2:
输入:prices = [50,80,80,70,90,75,85]
输出:[1,2,3,1,5,1,2]
解释:
首先,初始化 S = StockSpanner(),然后:
S.next(50) 被调用并返回 1,
S.next(80) 被调用并返回 2,
S.next(80) 被调用并返回 3,
S.next(70) 被调用并返回 1,
S.next(90) 被调用并返回 5,
S.next(75) 被调用并返回 1,
S.next(85) 被调用并返回 2。
public class StockSpanner {
// prices 单调递减栈 同时存入当前价格最大连续日数
Stack<int[]> stack;
public StockSpanner() {
stack = new Stack<>();
}
/**
* @param price:
* @return: int
*/
public int next(int price) {
// Write your code here.
int res = 1;
while(!stack.isEmpty() && price >= stack.peek()[0]){
res += stack.pop()[1];
}
stack.push(new int[]{price, res});
return res;
}
}
Lintcode 1880 · Largest Number X Which Occurs X Times
题目描述:
给定一个由N个整数组成的序列A,请你输出最大的值X,它恰好在A中出现X次。如果没有这样的值,你应该输出0。
N是[1…100,000]范围内的整数;
序列A的每个元素都是[1…1,000,000,000]范围内的整数。
Example
样例1:
输入:
[3,8,2,3,3,2]
输出:
3
说明:
序列中,2正好出现两次,3正好出现三次。且2和3的最大值是3,因此答案是3。
样例2:
输入:
[3,1,4,1,5]
输出:
0
说明:
没有满足任务条件的数字,所以答案是0。
public class Solution {
/**
* @param arr: an array of integers
* @return: return the biggest value X, which occurs in A exactly X times.
*/
public int findX(int[] arr) {
// write your code here
Map<Integer, Integer> count = new HashMap<>();
for (int num : arr) {
count.put(num, count.getOrDefault(num, 0) + 1);
}
int ans = 0;
for (int key : count.keySet()) {
if(key == count.get(key)) {
ans = Math.max(ans, key);
}
}
return ans;
}
}
Lintcode 1884: Take Away The Bottle
题目描述:
有一排有编号的瓶子,现在你需要将这些瓶子全部拿走。
你每次只可以拿走连续的若干个瓶子,并且需要保证瓶子的编号是一个“回文串”。
回文串指的是正着和反着读都一样的串,例如“121”和“4664”。
返回拿走所有瓶子所需要的最少次数。
1、瓶子的数量不超过500
2、瓶子的编号不超过1000
Example
例1:
输入:
[1,3,4,1,5]
输出:
3
说明:
第一次先拿走[4],剩余[1,3,1,5]
第二次拿走[1,3,1],剩余[5]
第三次拿走[5]
例2:
输入:
[1,2,3,5,3,1]
输出:
2
区间型动态规划
public class Solution {
/**
* @param arr: the array of bottles
* @return: the minimum number of times you can take all the bottles
*/
public int takeAwayTheBottle(int[] arr) {
// Write your code here.
int n = arr.length;
// dp[i][j] 表示从i到j需要的最少次数
int[][] dp = new int[n][n];
// 初始化
for (int i = 0; i < n; ++i){
for(int j = 0; j < n; ++j){
if(i == j){
// 只有一个数字
dp[i][j] = 1;
}else{
// 因为是求最小值,先都初始化为可能的最大值即数组的长度
dp[i][j] = n;
}
}
}
for(int i = 0; i < n-1;++i){
if(arr[i] == arr[i+1]){
// 邻近两个数字相等
dp[i][i+1] = 1;
}else{
// 邻近两个数字不相等
dp[i][i+1] = 2;
}
}
for(int len = 2; len < n; len++){
// 左端点
for(int i = 0; i < n-len;i++){
// 右端点
int j = i + len;
// 遍历分割点
if(arr[i] == arr[j]){
// 当最左端和最右端数字相等时只需考虑其中的区间
dp[i][j] = dp[i+1][j-1];
}
for(int k = i; k < j ;k++ ){
// business logic
dp[i][j] = Math.min(dp[i][j], dp[i][k]+dp[k+1][j]);
}
}
}
return dp[0][n-1];
}
}
Kth Largest Element 第k大元素
题目描述:
在数组中找到第 k 大的元素。
你可以交换数组中的元素的位置。
Example
样例 1:
输入:
k = 1
nums = [1,3,4,2]
输出:
4
解释:
第一大的元素是4。
样例 2:
输入:
k = 3
nums = [9,3,2,4,8]
输出:
4
解释:
第三大的元素是4。
Challenge
要求时间复杂度为O(n),空间复杂度为O(1)。
public class Solution {
/**
* @param k: An integer
* @param nums: An array
* @return: the Kth largest element
*/
public int kthLargestElement(int k, int[] nums) {
// write your code here
int n = nums.length;
return quickSelect(nums, 0, n-1, n-k);
}
private int quickSelect(int[] nums, int start, int end, int k){
if(start >= end){
return nums[start];
}
int left = start;
int right = end;
int mid = left + (right - left)/2;
int pivot = nums[mid];
while(left <= right){
while (left <= right && nums[left] < pivot){
left++;
}
while (left <= right && nums[right] > pivot){
right--;
}
if(left <= right){
swap(nums, left, right);
left++;
right--;
}
}
// right 之前 都小于 pivot
if(k <= right){
return quickSelect(nums, start, right, k);
}
// left 之后 都大于 pivot
if(left <= k){
return quickSelect(nums, left, end, k);
}
return nums[k];
}
private void swap(int[] nums, int x, int y){
int temp = nums[x];
nums[x] = nums[y];
nums[y] = temp;
}
}
Move Zeroes
题目描述:
给一个数组 nums 写一个函数将 0 移动到数组的最后面,非零元素保持原数组的顺序
1.必须在原数组上操作
2.最小化操作数
Example
例1:
输入: nums = [0, 1, 0, 3, 12],
输出: [1, 3, 12, 0, 0].
例2:
输入: nums = [0, 0, 0, 3, 1],
输出: [3, 1, 0, 0, 0].
public class Solution {
/**
* @param nums: an integer array
* @return: nothing
*/
public void moveZeroes(int[] nums) {
// write your code here
int n = nums.length;
int index = 0;
for (int i = 0; i < n; ++i){
if (nums[i] != 0){
nums[index++] = nums[i];
}
}
for (int i = index; i < n; i++){
nums[i] = 0;
}
}
}
Letter Combinations of a Phone Number
题目描述:
给一个不包含0和1的数字字符串,每个数字代表一个字母,请返回其所有可能的字母组合。
下图的手机按键图,就表示了每个数字可以代表的字母。
1 2 3 ABC DEF 4 5 6 GHI JKL MNO 7 8 9 PQRS TUV WXYZ
以上的答案是按照词典编撰顺序进行输出的,不过,在做本题时,你也可以任意选择你喜欢的输出顺序。
Example
样例 1:
输入: “23”
输出: [“ad”, “ae”, “af”, “bd”, “be”, “bf”, “cd”, “ce”, “cf”]
解释:
‘2’ 可以是 ‘a’, ‘b’ 或 ‘c’
‘3’ 可以是 ‘d’, ‘e’ 或 ‘f’
样例 2:
输入: “5”
输出: [“j”, “k”, “l”]
public class Solution {
/**
* @param digits: A digital string
* @return: all posible letter combinations
*/
// 建立电话号码组合
Map<Character, String> phone = new HashMap<Character, String>() {{
put('2', "abc");
put('3', "def");
put('4', "ghi");
put('5', "jkl");
put('6', "mno");
put('7', "pqrs");
put('8', "tuv");
put('9', "wxyz");
}};
public List<String> letterCombinations(String digits) {
// write your code here
List<String> res = new ArrayList<>();
if (digits == null || digits.length() == 0){
return res;
}
dfs(res, digits, 0, new StringBuilder());
return res;
}
// dfs: res, digits, index:每次dfs字符串的索引, sb:存储当前暂时的组合
private void dfs(List<String> res, String digits, int index, StringBuilder sb){
if(index == digits.length()){
res.add(sb.toString());
return;
}
String words = phone.get(digits.charAt(index));
for(char c: words.toCharArray()){
sb.append(c);
dfs(res, digits, index+1, sb);
// dfs结束把之前搜索过的撤回
sb.deleteCharAt(sb.length()-1);
}
}
}
Maximum Product Subarray 乘积最大子序列
题目描述:
找出一个序列中乘积最大的连续子序列(至少包含一个数)。
数组长度不超过20000
乘积最大的子序列的积,小于2147483647
Example
样例 1:
输入:[2,3,-2,4]
输出:6
样例 2:
输入:[-1,2,4,1]
输出:8
class Solution {
// T:O(N)
// S:O(1)
public int maxProduct(int[] nums) {
if (nums.length == 0) return 0;
int max = nums[0]; // 到当前为止最大值
int min = nums[0]; // 到当前为止最小值
int res = max;
// 因为存在负数 负负得正
for(int i = 1; i < nums.length; i++){
int temp_max = Math.max(nums[i], Math.max(max*nums[i], min*nums[i]));
int temp_min = Math.min(nums[i], Math.min(max*nums[i], min*nums[i]));
max = temp_max;
min = temp_min;
res = Math.max(max, res);
}
return res;
}
}
Diameter of Binary Tree 二叉树的直径
题目描述:
给定一颗二叉树,您需要计算树的直径长度。 二叉树的直径是树中任意两个节点之间最长路径的长度。
两个节点之间的路径长度由它们之间的边数表示。
Example
样例 1:
给定一棵二叉树
1 / 2 3 / 4 5返回3, 这是路径[4,2,1,3] 或者 [5,2,1,3]的长度.
样例 2:
输入:[2,3,#,1]
输出:2
解释:2 / 3 / 1
/**
* Definition of TreeNode:
* public class TreeNode {
* public int val;
* public TreeNode left, right;
* public TreeNode(int val) {
* this.val = val;
* this.left = this.right = null;
* }
* }
*/
public class Solution {
/**
* @param root: a root of binary tree
* @return: return a integer
*/
int res;
public int diameterOfBinaryTree(TreeNode root) {
// write your code here
res = 0;
if(root == null) return 0;
dfs(root);
return res;
}
private int dfs(TreeNode root){
if(root == null) return 0;
int left = dfs(root.left);
int right = dfs(root.right);
res = Math.max(res, left+right);
return Math.max(left, right)+1;
}
}
最后
以上就是坚强小鸭子最近收集整理的关于微软 面试题的全部内容,更多相关微软内容请搜索靠谱客的其他文章。


发表评论 取消回复