系统 Visualizer 提供了方便的 api 来获取播放音频的波形或 FFT 数据,一般使用方式是:
- 用 audio session ID 创建
Visualizer对象,传 0 可获取混音后的可视化数据,传特定播放器或AudioTrack所使用的 audio session 的 ID,可获取它们所播放音频的可视化数据 - 调
setCaptureSize方法设置每次获取的数据大小,调setDataCaptureListener方法设置数据回调并指定获取数据频率(即回调频率)和数据类型(波形或 FFT) - 调
setEnabled方法开始获取数据,不再需要时调release方法释放资源
更详细的 api 信息可查看官方文档。
系统 Visualizer 输出的数据大小正比于音量,当音量为 0 时,输出也为 0,可视化效果会随音量变化。
使用系统 Visualizer 存在兼容性问题,在有些机型上会导致系统音效失效,如要在所有机型上都能无副作用地展示动效,需要实现自定义 Visualizer。
自定义 Visualizer
作为跟系统 Visualizer 功能一致的数据源,自定义 Visualizer 需具备两个功能:
- 获取 pcm 数据,计算 FFT
- 以指定频率和大小发送 FFT 数据
实现第一个功能首先要获取播放音频的 pcm 数据,这要求使用的播放器能够提供 pcm 数据,我们的播放器是自己实现的,能够满足这个要求。我们对播放器进行了扩展,增加了收集解码后的 pcm 数据计算 FFT 的功能。
由于不同音频采样率不同,而计算 FFT 时采用固定的窗口大小,导致 FFT 计算结果回调频率随播放音频改变,同时指定的数据大小可能跟计算结果的大小不同,因此要实现第二个功能,需要对计算结果做固定频率和采样等处理。
另外,我们的播放器在播放进程中运行,而实际使用 FFT 数据的动效页面运行于主进程中,所以还需要跨进程传输数据。
综上,自定义 Visualizer 的整体流程是:在播放进程 native 层中计算 FFT,通过 JNI 调用,把计算结果回调给Java 层,然后通过 AIDL 把 FFT 数据传递给主进程进行后续的数据处理和发送操作。如下图所示:

固定频率需要将可变的 FFT 计算结果回调频率转换为外部设置的 Visualizer 回调频率,如下图所示:

根据所需数据发送时间间隔和 FFT 回调时间间隔差值的不同,我们采用两种不同的方式。

当时间间隔差值大于回调时间间隔时,每 t1/tt1/t 次回调发送一次数据,其中 t1 为所需数据发送时间间隔,t 为 FFT 回调时间间隔,如下图所示:

采样就是当外部设置的数据大小小于 FFT 计算结果的数据大小时,对原始 FFT 数据以合适的间隔抽取数据,以满足设置的要求。
为了让自定义 Visualizer 返回数据的取值范围跟系统 Visualizer 一致,从而实现数据源无缝切换,我们需要对 FFT 数据进行缩放。这里就需要用到前面提到的模与振幅的计算了,解码所得 pcm 数据的取值范围为 [-1, 1],所以原始信号振幅取值范围为 [0, 1],即 2M/N2M/N2M/N 的取值范围为 [0, 1](绘制时不会用到直流分量,这里不考虑);而系统 Visualizer 返回的 FFT 数据是一个 byte 数组,实部和虚部的取值范围为 [-128, 128],模的取值范围为 [0,128×2][0, 128 times sqrt2][0,128×2],那么 2M/N×128×22M/N times 128 times sqrt22M/N×128×2 的取值范围跟系统 Visualizer 输出 FFT 的模的取值范围一致。由于绘制不会用到相位信息,我们可以将用上述方式缩放后的值作为输出 FFT 数据的实部,并把虚部设为 0。
由于数据发送的频率较高,为了避免频繁创建对象导致内存抖动,我们采用对象池来保存数据数组对象,每次从对象池中获取所需大小的数组对象,填充采样数据后加入到队列中等待发送,数据消费完后将数组对象返回到对象池中。
数据处理
不同动效的具体数据处理方式不同,忽略细节上的差异,云音乐现有的动效中,除了宇宙尘埃和孤独星球,其他的处理流程基本一致,如下图所示:

首先根据动效选择的频率范围计算所需的频率数据在 FFT 数组中的索引位置:


然后根据动效所需数据点数,对频率范围内的 FFT 数据进行采样或用一个 FFT 数据表示多个数据点。
然后计算分贝:

其中 M 为 FFT 数据的模。
然后将分贝转化为高度:

其中 MAX_DB 是预设的分贝最大值,maxHeight 是当前动效要求的最大高度。
最后对计算出的高度做数据上的平滑处理。
平滑
对最终用来绘制的数据做平滑处理,可以得到更柔和的曲线,达到更好的视觉效果,如下图所示:

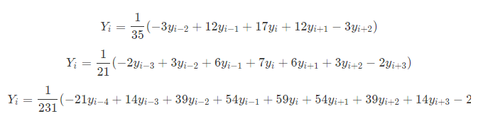
数据平滑算法有很多,我们综合考虑效果和计算复杂度选择了 Savitzky–Golay 滤波法,其计算方式如下,对应的窗口大小分别为5、7 和 9,可以按需选择不同的窗口大小。

经过平滑处理后数据的变化如下图所示:
分别为5、7 和 9,可以按需选择不同的窗口大小。
[外链图片转存中…(img-NsoiQGpW-1630840210895)]
经过平滑处理后数据的变化如下图所示:
最后
以上就是美丽电脑最近收集整理的关于Android高级架构师系统学习——Android-音频可视化,程序员进阶知识点的全部内容,更多相关Android高级架构师系统学习——Android-音频可视化内容请搜索靠谱客的其他文章。
发表评论 取消回复