如果对Carsim的基础使用还不了解,可以参考:【Carsim Simulink自动驾驶仿真】基于MPC的速度控制
如果对MPC算法原理不清楚,可以参考:如何理解MPC模型预测控制理论
项目介绍:
教程为北理工的无人驾驶车辆模型预测控制第2版。所用的仿真软件为Carsim2020.0和MatlabR2021a。前几章处理的场景都是低速的情况,所以运动学的精度就可以保证很好的控制,但是当处于高速的时候,由于种种原因,比如轮胎不能看成刚体,单纯使用运动学不能很好的进行控制,就需要使用动力学模型,第五章使用考虑轮胎滑移的动力学模型对汽车进行一个转弯控制。
第五章的代码没有多少问题,但是对代码中的一些数学原理问题有需要讨论的地方。
基于MPC的轨迹跟踪控制
- 效果图
- MATLAB框架搭建
- 轮胎滑移的动力学
- 在MPC中对动力学处理的讨论
- 对误差中加入非线性动力学的讨论
- 附录:全代码
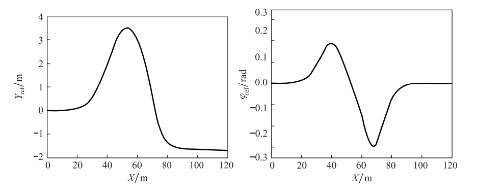
效果图
控制量是前轮转角,目标是让汽车跟踪纵向函数和横摆角函数:


这里画了4个图,分别是Y-X,横摆角-X,前轮转角-t,前轮胎侧倾-t。

MATLAB框架搭建
MATLAB框架沿袭第四章的思路就可以:

轮胎滑移的动力学
这里我们可以不用关注动力学模型是如何推导的,主要看的是怎么用,首先看一下动力学
x
˙
d
y
n
=
f
d
y
n
(
x
˙
d
y
n
,
u
d
y
n
)
dot{x}_{dyn}=f_{dyn}(dot{x}_{dyn},u_{dyn})
x˙dyn=fdyn(x˙dyn,udyn)的具体形式:
m
v
˙
y
=
−
m
v
x
φ
˙
+
2
[
C
α
f
(
δ
f
−
v
y
+
l
f
φ
˙
v
x
)
+
C
α
r
l
r
φ
˙
−
v
y
v
x
]
m
v
˙
x
=
m
v
y
φ
˙
+
2
[
C
l
f
s
f
+
C
α
f
(
δ
f
−
v
y
+
l
f
φ
˙
v
x
)
δ
f
+
C
l
r
s
r
]
I
z
φ
¨
=
2
[
l
f
C
α
f
(
δ
f
−
v
y
+
l
f
φ
˙
v
x
)
−
l
f
C
α
r
l
r
φ
˙
−
v
y
v
x
]
y
˙
=
v
x
s
i
n
φ
+
v
y
c
o
s
φ
x
˙
=
v
x
c
o
s
φ
−
v
y
s
i
n
φ
mdot{v}_y=-mv_xdot{φ}+2[C_{αf}(δ_f-frac{v_y+l_fdot{φ}}{v_x})+C_{αr}frac{l_rdot{φ}-v_y}{v_x}]\[3mm] mdot{v}_x=mv_ydot{φ}+2[C_{lf}s_f+C_{αf}(δ_f-frac{v_y+l_fdot{φ}}{v_x})δ_f+C_{lr}s_r]\[3mm] I_zddot{φ}=2[l_fC_{αf}(δ_f-frac{v_y+l_fdot{φ}}{v_x})-l_fC_{αr}frac{l_rdot{φ}-v_y}{v_x}]\[3mm] dot{y}=v_xsinφ+v_ycosφ\[3mm] dot{x}=v_xcosφ-v_ysinφ
mv˙y=−mvxφ˙+2[Cαf(δf−vxvy+lfφ˙)+Cαrvxlrφ˙−vy]mv˙x=mvyφ˙+2[Clfsf+Cαf(δf−vxvy+lfφ˙)δf+Clrsr]Izφ¨=2[lfCαf(δf−vxvy+lfφ˙)−lfCαrvxlrφ˙−vy]y˙=vxsinφ+vycosφx˙=vxcosφ−vysinφ
这里其实只需要知道,状态变量为:
y
˙
,
x
˙
,
φ
,
φ
˙
,
y
,
x
dot{y},dot{x},φ,dot{φ},y,x
y˙,x˙,φ,φ˙,y,x,控制变量为:
δ
f
δ_f
δf就足够了,至于其他的问题不是我们关注的问题。我们这里处理的是高速问题,所以对MPC的实时性有很高的要求。因为动力学方程是非线性的,非线性模型预测控制难以满足,所以这里继续采用线性时变模型预测控制,因此需要对非线性动力学模型进行线性化。即将
x
˙
d
y
n
=
f
d
y
n
(
x
˙
d
y
n
,
u
d
y
n
)
dot{x}_{dyn}=f_{dyn}(dot{x}_{dyn},u_{dyn})
x˙dyn=fdyn(x˙dyn,udyn)变成
x
˙
d
y
n
=
A
d
y
n
(
t
)
x
d
y
n
(
t
)
+
B
d
y
n
(
t
)
u
d
y
n
(
t
)
dot{x}_{dyn}=A_{dyn}(t)x_{dyn}(t)+B_{dyn}(t)u_{dyn}(t)
x˙dyn=Adyn(t)xdyn(t)+Bdyn(t)udyn(t)。之后将其离散化处理,得到离散化的表达式:
x
d
y
n
(
k
+
1
)
=
A
d
y
n
(
k
)
x
d
y
n
(
k
)
+
B
d
y
n
(
k
)
u
d
y
n
(
k
)
x_{dyn}(k+1)=A_{dyn}(k)x_{dyn}(k)+B_{dyn}(k)u_{dyn}(k)
xdyn(k+1)=Adyn(k)xdyn(k)+Bdyn(k)udyn(k)
这里,
A
d
y
n
(
k
)
=
I
+
T
A
d
y
n
(
t
)
,
B
d
y
n
(
k
)
=
T
B
d
y
n
(
t
)
A_{dyn}(k)=I+TA_{dyn}(t),B_{dyn}(k)=TB_{dyn}(t)
Adyn(k)=I+TAdyn(t),Bdyn(k)=TBdyn(t)。
在MPC中对动力学处理的讨论
按照前几章的思路,有了运动学方程或者动力学方程之后带进去算就好,但是这里的代码我发现不仅使用了线性的动力学模型,也是用了非线性模型。在代码体现在(220-221行):

上面是原来的代码,下面是按照原来前几章的思路的代码,两个误差效果如下:

重点看一下曲线,红色的是原代码跑出的结果,对应第一行代码中的误差,蓝色的是我认为按照前几章的思路做出的结果,对应第二行,也就是没备注的代码:

没有使用非线性动力学模型轨迹跟踪会有一个提前量,跟踪的没有那么精确,但是可以从动画效果来看误差其实不是很大。而轮胎侧偏比非线性小很多。这里还进行了步长的调整,会发现如果单纯看曲线轨迹的话,单纯的线性动力学参数可调整的范围比较大,但是当控制步长调整太大的时候,会出现在跟踪直线的情况下出现速度,前轮转角小幅震荡的情况,但是当使用这个参数对添加非线性的进行跟踪的时候,连轨迹都是震荡的,甚至会有灵车漂移的现象:

这里为什么在求误差的时候要加上非线性动力学这一项,作者在代码中有一个备注是参考falcone(B,4c),但是我并没有找到。
对误差中加入非线性动力学的讨论
先明确说一点,我其实没有想明白,按照我之后的推导和理解,认为这里面有一项不是很好理解。这里可能会说的不是很明白,如果有大佬知道或者想讨论,可以评论留言或者私信。
我们主要看一下PSI*kesi+GAMMA*PHI算出来的是什么,我们以
k
=
2
k=2
k=2作为讨论,不针对本例问题,单纯当作一个数学推导,对于第一项PSI*kesi:
P
S
I
=
(
C
A
C
A
2
)
k
e
s
i
=
s
t
a
t
e
l
i
n
e
a
r
(
k
)
PSI=left( begin{array}{c} CA \ CA^2 end{array} right)\[3mm] kesi=state_{linear}(k)
PSI=(CACA2)kesi=statelinear(k)
这个结果也是前几章直接减去的东西,加的这一项在后面。对于第二项GAMMA*PHI:
G
A
M
M
A
=
(
C
0
C
A
C
)
P
H
I
=
(
s
t
a
t
e
n
o
l
i
n
e
a
r
(
k
+
1
)
−
s
t
a
t
e
l
i
n
e
a
r
(
k
+
1
)
s
t
a
t
e
n
o
l
i
n
e
a
r
(
k
+
2
)
−
s
t
a
t
e
l
i
n
e
a
r
(
k
+
2
)
)
GAMMA=left( begin{array}{c} C &0 \ CA&C end{array} right)\[3mm] PHI=left( begin{array}{c} state_{nolinear}(k+1)-state_{linear}(k+1) \ state_{nolinear}(k+2)-state_{linear}(k+2) end{array} right)
GAMMA=(CCA0C)PHI=(statenolinear(k+1)−statelinear(k+1)statenolinear(k+2)−statelinear(k+2))
这里代码中的PHI进行了简化,都是用了(k+1)的值。在这里我们假设
C
C
C是一个单位阵,也就是都输出,看一下多减去的东西是什么:
a
n
s
=
(
s
t
a
t
e
n
o
l
i
n
e
a
r
(
k
+
1
)
−
s
t
a
t
e
l
i
n
e
a
r
(
k
+
1
)
A
s
t
a
t
e
n
o
l
i
n
e
a
r
(
k
+
1
)
−
A
s
t
a
t
e
l
i
n
e
a
r
(
k
+
1
)
+
s
t
a
t
e
n
o
l
i
n
e
a
r
(
k
+
2
)
−
s
t
a
t
e
l
i
n
e
a
r
(
k
+
2
)
)
begin{aligned} ans&=left( begin{array}{c} state_{nolinear}(k+1)-state_{linear}(k+1) \ Astate_{nolinear}(k+1)-Astate_{linear}(k+1)+state_{nolinear}(k+2)-state_{linear}(k+2) end{array} right)\ end{aligned}
ans=(statenolinear(k+1)−statelinear(k+1)Astatenolinear(k+1)−Astatelinear(k+1)+statenolinear(k+2)−statelinear(k+2))
我们这里将第
k
k
k时刻的非线性和线性的模型之间的误差记录为:
e
m
o
d
e
l
(
k
)
e_{model}(k)
emodel(k)。那么多家的这一项就变成了:
a
n
s
=
(
e
m
o
d
e
l
(
k
+
1
)
A
e
m
o
d
e
l
(
k
+
1
)
+
e
m
o
d
e
l
(
k
+
2
)
)
ans = left( begin{array}{c} e_{model}(k+1) \ Ae_{model}(k+1)+e_{model}(k+2) end{array} right)\[3mm]
ans=(emodel(k+1)Aemodel(k+1)+emodel(k+2))
所以个人认为,本来非线性模型和真车就有一个动力学误差,为了计算时效性,把非线性变成线性又产生了一个误差,这样会有两个误差,按照我们以前的思路,是直接使用线性的,但是这样误差比较大,所以他这里的代码可能是希望将非线性和线性的误差考虑进去,但是这样推到下来,
A
e
m
o
d
e
l
(
k
+
1
)
Ae_{model}(k+1)
Aemodel(k+1)不是很清楚里面的意义。因为
A
A
A本身就是线性模型弄出来的东西,现在还要再乘一个非线性的结果,这个地方很怪。
附录:全代码
function [sys,x0,str,ts] = chap5DMC(t,x,u,flag)
% 状态量=[y_dot,x_dot,phi,phi_dot,Y,X],控制量为前轮偏角delta_f
switch flag
case 0
[sys,x0,str,ts] = mdlInitializeSizes; % Initialization
case 2
sys = mdlUpdates(t,x,u); % Update discrete states
case 3
sys = mdlOutputs(t,x,u); % Calculate outputs
case {1,4,9} % Unused flags
sys = [];
otherwise
error(['unhandled flag = ',num2str(flag)]); % Error handling
end
% End of dsfunc.
%==============================================================
% 初始化
%==============================================================
function [sys,x0,str,ts] = mdlInitializeSizes
sizes = simsizes;
sizes.NumContStates = 0;
sizes.NumDiscStates = 6;
sizes.NumOutputs = 1;
sizes.NumInputs = 8;
sizes.DirFeedthrough = 1; % Matrix D is non-empty.
sizes.NumSampleTimes = 1;
sys = simsizes(sizes);
x0 =[0.001;0.0001;0.0001;0.00001;0.00001;0.00001];
global U;
U=[0];%控制量初始化,这里面加了一个期望轨迹的输出,如果去掉,U为一维的
% global x;
% x = zeros(md.ne + md.pye + md.me + md.Hu*md.me,1);
% Initialize the discrete states.
str = []; % Set str to an empty matrix.
ts = [0.02 0]; % sample time: [period, offset]
%End of mdlInitializeSizes
%==============================================================
% Update the discrete states
%==============================================================
function sys = mdlUpdates(t,x,u)
sys = x;
%End of mdlUpdate.
function sys = mdlOutputs(t,x,u)
global a b;
global U;
tic
Nx=6;%状态量的个数
Nu=1;%控制量的个数
Ny=2;%输出量的个数
Np=35;%预测步长
Nc=2;%控制步长
%输入接口转换,x_dot后面加一个非常小的数,是防止出现分母为零的情况
% y_dot=u(1)/3.6-0.000000001*0.4786;%CarSim输出的是km/h,转换为m/s
y_dot=u(1)/3.6;
x_dot=u(2)/3.6+0.0001;
phi=u(3)*3.141592654/180; %CarSim输出的为角度,角度转换为弧度
phi_dot=u(4)*3.141592654/180;
Y=u(5);%单位为m
X=u(6);%单位为米
S_L=u(7);
S_R=u(8);
%% 车辆参数输入
%syms sf sr;%分别为前后车轮的滑移率,需要提供
Sf=0.2; Sr=0.2;
%syms lf lr;%前后车轮距离车辆质心的距离,车辆固有参数
lf=1.232;lr=1.468;
%syms C_cf C_cr C_lf C_lr;%分别为前后车轮的纵横向侧偏刚度,车辆固有参数
Ccf=66900;Ccr=62700;Clf=66900;Clr=62700;
%syms m g I;%m为车辆质量,g为重力加速度,I为车辆绕Z轴的转动惯量,车辆固有参数
m=1723;g=9.8;I=4175;
%% 参考轨迹生成
shape=2.4;%参数名称,用于参考轨迹生成
dx1=25;dx2=21.95;%没有任何实际意义,只是参数名称
dy1=4.05;dy2=5.7;%没有任何实际意义,只是参数名称
Xs1=27.19;Xs2=56.46;%参数名称
X_predict=zeros(Np,1);%用于保存预测时域内的纵向位置信息,这是计算期望轨迹的基础
phi_ref=zeros(Np,1);%用于保存预测时域内的期望轨迹
Y_ref=zeros(Np,1);%用于保存预测时域内的期望轨迹
%% 以下计算kesi,即状态量与控制量合在一起
kesi=zeros(Nx+Nu,1);
kesi(1)=y_dot;%u(1)==X(1)
kesi(2)=x_dot;%u(2)==X(2)
kesi(3)=phi; %u(3)==X(3)
kesi(4)=phi_dot;
kesi(5)=Y;
kesi(6)=X;
kesi(7)=U(1);
delta_f=U(1);
T=0.02;%仿真步长
T_all=20;%总的仿真时间,主要功能是防止计算期望轨迹越界
%% 关键参数设置
Row=1000;%松弛因子权重
Q_cell=cell(Np,Np);
for i=1:1:Np
for j=1:1:Np
if i==j
Q_cell{i,j}=[200 0;0 100;];
%Q_cell{i,j}=[2000 0;0 10000;];
else
Q_cell{i,j}=zeros(Ny,Ny);
end
end
end
R=5*10^4*eye(Nu*Nc);
%R=5*10^5*eye(Nu*Nc);
%% 动力学方程设置
a=[ 1 - (259200*T)/(1723*x_dot), -T*(phi_dot + (2*((460218*phi_dot)/5 - 62700*y_dot))/(1723*x_dot^2) - (133800*((154*phi_dot)/125 + y_dot))/(1723*x_dot^2)), 0, -T*(x_dot - 96228/(8615*x_dot)), 0, 0
T*(phi_dot - (133800*delta_f)/(1723*x_dot)), (133800*T*delta_f*((154*phi_dot)/125 + y_dot))/(1723*x_dot^2) + 1, 0, T*(y_dot - (824208*delta_f)/(8615*x_dot)), 0, 0
0, 0, 1, T, 0, 0
(33063689036759*T)/(7172595384320*x_dot), T*(((2321344006605451863*phi_dot)/8589934592000 - (6325188028897689*y_dot)/34359738368)/(4175*x_dot^2) + (5663914248162509*((154*phi_dot)/125 + y_dot))/(143451907686400*x_dot^2)), 0, 1 - (813165919007900927*T)/(7172595384320000*x_dot), 0, 0
T*cos(phi), T*sin(phi), T*(x_dot*cos(phi) - y_dot*sin(phi)), 0, 1, 0
-T*sin(phi), T*cos(phi), -T*(y_dot*cos(phi) + x_dot*sin(phi)), 0, 0, 1];
b=[ 133800*T/1723
T*((267600*delta_f)/1723 - (133800*((154*phi_dot)/125 + y_dot))/(1723*x_dot))
0
5663914248162509*T/143451907686400
0
0];
d_k=zeros(Nx,1);%计算偏差
state_k1=zeros(Nx,1);%预测的下一时刻状态量,用于计算偏差
%以下即为根据离散非线性模型预测下一时刻状态量
state_k1(1,1)=y_dot+T*(-x_dot*phi_dot+2*(Ccf*(delta_f-(y_dot+lf*phi_dot)/x_dot)+Ccr*(lr*phi_dot-y_dot)/x_dot)/m);
state_k1(2,1)=x_dot+T*(y_dot*phi_dot+2*(Clf*Sf+Clr*Sr+Ccf*delta_f*(delta_f-(y_dot+phi_dot*lf)/x_dot))/m);
state_k1(3,1)=phi+T*phi_dot;
state_k1(4,1)=phi_dot+T*((2*lf*Ccf*(delta_f-(y_dot+lf*phi_dot)/x_dot)-2*lr*Ccr*(lr*phi_dot-y_dot)/x_dot)/I);
state_k1(5,1)=Y+T*(x_dot*sin(phi)+y_dot*cos(phi));
state_k1(6,1)=X+T*(x_dot*cos(phi)-y_dot*sin(phi));
d_k=state_k1-a*kesi(1:6,1)-b*kesi(7,1);%根据falcone公式(2.11b)求得d(k,t)
d_piao_k=zeros(Nx+Nu,1);%d_k的增广形式,参考falcone(B,4c)
d_piao_k(1:6,1)=d_k;
d_piao_k(7,1)=0;
A_cell=cell(2,2);
B_cell=cell(2,1);
A_cell{1,1}=a;
A_cell{1,2}=b;
A_cell{2,1}=zeros(Nu,Nx);
A_cell{2,2}=eye(Nu);
B_cell{1,1}=b;
B_cell{2,1}=eye(Nu);
%A=zeros(Nu+Nx,Nu+Nx);
A=cell2mat(A_cell);
B=cell2mat(B_cell);
% C=[0 0 1 0 0 0 0;0 0 0 1 0 0 0;0 0 0 0 1 0 0;];%这是和输出量紧密关联的
C=[0 0 1 0 0 0 0;0 0 0 0 1 0 0;];
PSI_cell=cell(Np,1);
THETA_cell=cell(Np,Nc);
GAMMA_cell=cell(Np,Np);
PHI_cell=cell(Np,1);
for p=1:1:Np
PHI_cell{p,1}=d_piao_k;%理论上来说,这个是要实时更新的,但是为了简便,这里又一次近似
for q=1:1:Np
if q<=p
GAMMA_cell{p,q}=C*A^(p-q);
else
GAMMA_cell{p,q}=zeros(Ny,Nx+Nu);
end
end
end
for j=1:1:Np
PSI_cell{j,1}=C*A^j;
for k=1:1:Nc
if k<=j
THETA_cell{j,k}=C*A^(j-k)*B;
else
THETA_cell{j,k}=zeros(Ny,Nu);
end
end
end
PSI=cell2mat(PSI_cell);%size(PSI)=[Ny*Np Nx+Nu]
THETA=cell2mat(THETA_cell);%size(THETA)=[Ny*Np Nu*Nc]
GAMMA=cell2mat(GAMMA_cell);%大写的GAMMA
PHI=cell2mat(PHI_cell);
Q=cell2mat(Q_cell);
H_cell=cell(2,2);
H_cell{1,1}=THETA'*Q*THETA+R;
H_cell{1,2}=zeros(Nu*Nc,1);
H_cell{2,1}=zeros(1,Nu*Nc);
H_cell{2,2}=Row;
H=cell2mat(H_cell);
error_1=zeros(Ny*Np,1);
Yita_ref_cell=cell(Np,1);
for p=1:1:Np
if t+p*T>T_all
X_DOT=x_dot*cos(phi)-y_dot*sin(phi);%惯性坐标系下纵向速度
X_predict(Np,1)=X+X_DOT*Np*T;
%X_predict(Np,1)=X+X_dot*Np*t;
z1=shape/dx1*(X_predict(Np,1)-Xs1)-shape/2;
z2=shape/dx2*(X_predict(Np,1)-Xs2)-shape/2;
Y_ref(p,1)=dy1/2*(1+tanh(z1))-dy2/2*(1+tanh(z2));
phi_ref(p,1)=atan(dy1*(1/cosh(z1))^2*(1.2/dx1)-dy2*(1/cosh(z2))^2*(1.2/dx2));
Yita_ref_cell{p,1}=[phi_ref(p,1);Y_ref(p,1)];
else
X_DOT=x_dot*cos(phi)-y_dot*sin(phi);%惯性坐标系下纵向速度
X_predict(p,1)=X+X_DOT*p*T;%首先计算出未来X的位置,X(t)=X+X_dot*t
z1=shape/dx1*(X_predict(p,1)-Xs1)-shape/2;
z2=shape/dx2*(X_predict(p,1)-Xs2)-shape/2;
Y_ref(p,1)=dy1/2*(1+tanh(z1))-dy2/2*(1+tanh(z2));
phi_ref(p,1)=atan(dy1*(1/cosh(z1))^2*(1.2/dx1)-dy2*(1/cosh(z2))^2*(1.2/dx2));
Yita_ref_cell{p,1}=[phi_ref(p,1);Y_ref(p,1)];
end
end
Yita_ref=cell2mat(Yita_ref_cell);
error_1=Yita_ref-PSI*kesi-GAMMA*PHI; %求偏差
%error_1 = Yita_ref-PSI*kesi;
f_cell=cell(1,2);
f_cell{1,1}=2*error_1'*Q*THETA;
f_cell{1,2}=0;
% f=(cell2mat(f_cell))';
f=-cell2mat(f_cell);
%% 以下为约束生成区域
%控制量约束
A_t=zeros(Nc,Nc);%见falcone论文 P181
for p=1:1:Nc
for q=1:1:Nc
if q<=p
A_t(p,q)=1;
else
A_t(p,q)=0;
end
end
end
A_I=kron(A_t,eye(Nu));%求克罗内克积
Ut=kron(ones(Nc,1),U(1));
umin=-0.1744;%维数与控制变量的个数相同
umax=0.1744;
delta_umin=-0.0148*0.4;
delta_umax=0.0148*0.4;
Umin=kron(ones(Nc,1),umin);
Umax=kron(ones(Nc,1),umax);
%输出量约束
ycmax=[0.21;5];
ycmin=[-0.3;-3];
Ycmax=kron(ones(Np,1),ycmax);
Ycmin=kron(ones(Np,1),ycmin);
%结合控制量约束和输出量约束
A_cons_cell={A_I zeros(Nu*Nc,1);-A_I zeros(Nu*Nc,1);THETA zeros(Ny*Np,1);-THETA zeros(Ny*Np,1)};
b_cons_cell={Umax-Ut;-Umin+Ut;Ycmax-PSI*kesi-GAMMA*PHI;-Ycmin+PSI*kesi+GAMMA*PHI};
A_cons=cell2mat(A_cons_cell);%(求解方程)状态量不等式约束增益矩阵,转换为绝对值的取值范围
b_cons=cell2mat(b_cons_cell);%(求解方程)状态量不等式约束的取值
%状态量约束
M=10;
delta_Umin=kron(ones(Nc,1),delta_umin);
delta_Umax=kron(ones(Nc,1),delta_umax);
lb=[delta_Umin;0];%(求解方程)状态量下界,包含控制时域内控制增量和松弛因子
ub=[delta_Umax;M];%(求解方程)状态量上界,包含控制时域内控制增量和松弛因子
%% 开始求解过程
options = optimset('Algorithm','active-set');
x_start=zeros(Nc+1,1);%加入一个起始点
[X,fval,exitflag]=quadprog(H,f,A_cons,b_cons,[],[],lb,ub,x_start,options);
%% 计算输出
u_piao=X(1);%得到控制增量
U(1)=kesi(7,1)+u_piao;%当前时刻的控制量为上一刻时刻控制+控制增量
%U(2)=Yita_ref(2);%输出dphi_ref
sys= U;
toc
% End of mdlOutputs.
最后
以上就是优秀萝莉最近收集整理的关于【Carsim Simulink自动驾驶仿真】基于MPC的动力学控制效果图MATLAB框架搭建轮胎滑移的动力学在MPC中对动力学处理的讨论附录:全代码的全部内容,更多相关【Carsim内容请搜索靠谱客的其他文章。
发表评论 取消回复