哈希表之数学原理
.NET程序员,大多数时候是不需要数学的。因为,有了.NET, 数据结构和算法的重要性被弱化了,操作系统接口相关的东西被强化了。程序员只要求管理好代码,而不是设计好算法。
计算机,我只学会了技术,所以很多问题我都感觉似是而非,感觉是在学习一个API,而不是在学一门科学。
最近要实现一个哈希表,我查找了很多哈希函数,高下难分。而且,网上有很多人做了实验,但是,很多数据居然是矛盾的,有的说这个好,有的说那个好。于是我在想,有没有一种理想的最优函数,这样的函数的效率是多少。我的函数,只要接近于这个值就可以了。这样的理想函数的分析,就必须理解计算机的科学部分,这个是计算机科学永恒的部分。
首先,是一个很简单的也是很实用的问题:
“给一个url 做一个hash 值,通过这个hash 值,查找这个url 是否已经在数据库中存在了,我相信很多人都做过这个问题,很多人采用把一个url 转换成一个无符号的int 类型,然后通过这个int 类型进行查找。现在的问题是,如果我的网站有1000万个url,会有多少个url 是发生哈希冲突呢,也就是说,url链接不一样,但是映射成了相同的哈希值。”有多少冲突,读完这篇文章你也就会算了。
我今天讲的只是哈希表中的一种类型:链地址哈希表。这种哈希表是最常用的哈希表,PHP数组的内部实现,就是采用这样的哈希表。估计.net 的字典类,也是通过这样的方法。
链地址法相当的简单:就是先分配一个大数组,数组的元素是一个链表,然后,把key 映射到每个数组的链表上,如果有重复,那么就加到链表的后面去。不懂的可以去翻翻数据结构的书。
这个数组的长度为m,所以会有m个链表,现在的问题是,我有n个key,并且假设 n < m 。问:
没有元素的链表有多少个
只有一个元素的链表有多少个
有两个元素的链表有多少个
.....
这个问题虽然不是很复杂,但是,还是要稍微的转换一下,动一点点的脑筋。
看问题本身,好像是一个组合学的问题,就是有m个位置,n个元素往里面放。从这个角度可以做,但是,比较麻烦。考虑这样一个问题, 任意一个元素,在某个位置不出现,出现一次,出现两次... 出现n 次的概率。你会发现,这个其实就是上面的链表元素个数的问题。这里,假设元素都是一样的,位置也都是一样的。
这就是一个binary 分布的问题。不懂的可以看概率论的书本。
这样,链表有k 个元素的概率分布函数如下:
p = 1 / m
f[k] = (C[n,k] * p^k * (1-p)^n-k );
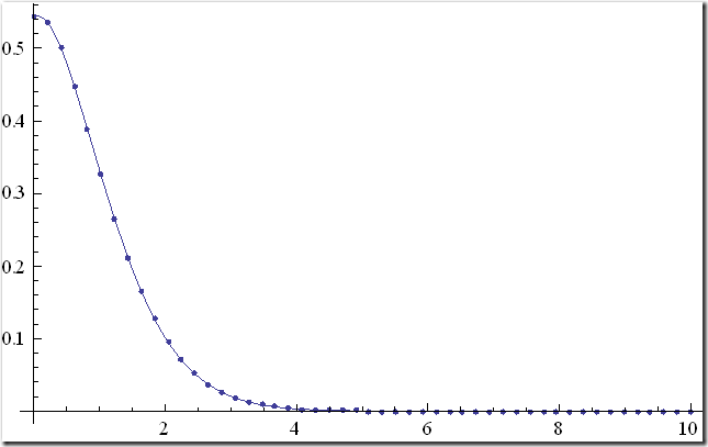
现在我假设 m = 2^14, n = 10000
可以求出概率分布如下:

可以看出,大概54%的链表是空的,大概33%的链表有一个元素,10%左右的链表有两个元素。如果,你的哈希函数写的好,基本上,要接近上面的数字。如果超过了这个数字,哈希函数也会有问题。这个我已经通过实验证明了这一点。可能在接下来的章节中介绍我实现的哈希表。
当然,设计哈希表,最重要的是要求其平均查找长度最小。
所有一个元素的链表包含的元素数目为 m * f[1] * 1, 查找这些元素的次数为: m * f[1] * 1 * 1
两个元素的链表包含的元素数目为 m * f[2] * 2,查找这些元素的次数为: m * f[2] * 2 * 2
这样平均查找长度就是:(这里的平均,实际上不是平均,而是考虑最坏的查找情况,比如链表长度为2,平均是1.5次,最坏是2次)
求:

如果,看到这个式子,还不会求和的话,那么你赶快回去看看概率论了。
求出的结果是:
L = 1 + (n-1)/ m
是不是非常简单。
如果n 足够大,比如上万了,那么1就可以忽略了
L = 1 + n / m
这个公式表明,平均查找长度只和 n / m 的比例有关。如果 m > n 那么,理想情况下,不会出现平均查找长度大于2的情况。而,对于100万的数据的平衡二叉树,那么需要20次的查询,性能是10倍。当然,哈希表非常的的浪费内存。
再来看看我们刚开始提出的问题,转换一下就是:m = 2^32 n = 10,000,000.要求重复的数目,只要求出不重复的数目就可以了。就是求f[1] 就可以了,当然,如果你有数学计算软件,这个计算比较耗时,但是肯定能够算出来。
还有一个比较简单的方法,可以简单的估计大概的数目,那就是平均查找长度。这里估计的时候,有一个假设,就是,在一次查找时,只有两种情况,一种是查找一次,一种是查找两次找到。二项分布在m,n相差比较大的时候,随着k的上升,概率下降会非常的快,一般重复3次的就很少了,上面的假设是合理的。这样的话,出现重复的概率就是 n/m 了(可以很简单的推导出来),0.0023,也就是10000个链接里面,就会有23个重复。如果要求比较高的话,基本上,不能采用这样的哈希方法。当然,如果是100万的话,那10000个链接,只有2个重复,基本上是合理的。不过,最好只有10万。这样冲突概率就相当的低了。
接下来的文章,我可能会写哈希表的实现的一些技巧,如何管理内存,如何分配哈希表的长度(根据不同的需求)。
最后
以上就是细腻魔镜最近收集整理的关于哈希表之数学原理 哈希表之数学原理 的全部内容,更多相关哈希表之数学原理内容请搜索靠谱客的其他文章。
发表评论 取消回复