1.线性表
0.1定义链表结构体
struct LinkList{
int data;
LinkList *next;
};
1.1.1逆转顺序表所有元素
第一个元素和第n个元素对调
void Reserve(int A[],int N){
int i,t;
for (i=0;i<2/n;i++){
t=A[i];
A[i]=A[n];
A[n]=t;
}
}
1.1.2删除线性链表中数据域为item的所有节点
从第二个节点开始,从前往后判断,满足条件则删去,最后再判断第一个节点是否满足条件,满足则删去
void PurgetItem(LinkList &List)
{
LinkList p,q=list;
p=List->next;
while(p!=NULL)
{
if(p->data==item)
{
q->next=p->next;
free(p);
}
else
{
q=p;
p=p->next;
}
}
if(List->data==item)
{
q=list;
list=list->next;
free(q);
}
}
1.1.3逆转线性链表
void Reserve(LinkList &list)
{
LinkList p,q,r;
p=list;
q=null;
if(p!=NULL)
{
r=q;
q=p;
p=p->next;
q->next=r;
}
list=q;
}
1.1.4复制链表
LinkList copy(LinkList lista)
{
LinkList listb;
if(lista==NULL)
return NULL;
else
{
listb=(ListList)malloc(sizeof(LNode));//分配空间
listb->data=lista->data;
listb->next=copy(list->next);
return listb;
}
}
1.1.5将两个有序排列的非空并成一个按值有序的线性链表
LinkList mergeList(LinkList lista,Link listb)
{
LinkList listc;
LinkList p=lista,q=listb,r;
//listc指向两个链表中所指结点较小的那一个
//初始化操作
if(lista->data<listb->data)
{
listc=lista;
r=lista;
p=lista->next;
}else
{
listc=listb;
r=listb;
q=q->next;
}
//正式开始对比
while(p!=NULL&&q!=NULL)
{
if(p->data<q->data)
{
r->next=p;
r=p;
p=p->next;
}else
{
r->next=q;
r=q;
q=q->next;
}
r-next=(p!=NULL)?p:q;
return listc;
}
}
1.1.5.2合并有序链表 递归
void mergeList(LinkList lista,LinkList listb;LinkList listc)
{
if(lista=NULL)
return listb;
else(listb=NULL)
return lista;
while(lista&&listb)
{
if(lista->data<listb->data)
{
L=lista;
L->next=merge(lista->next,listb,L);
}
else
{
L=listb;
L->next=merge(lista,listb->next,L);
}
return L;
}
}
2.栈和队列
2.1栈
0.定义栈的结构体(链表)
typedef struct Node{
char s;
struct Node* next;
}node,*pnode;
typedef struct Stack{
pnode ptop;
pnode pbase;//定义栈顶和栈底指针(数组下标)
}stack,*pstack;
2.1.1括号匹配
bool brackCheck(char [str],int length)
{
Stack S;
InitStack(S);//初始化一个栈
for(int i=0;i<length;i++)
{
if(str[i]=='('||str[i]=='['||str[i]=='{')
{
Push(S,str[]);//扫描到左括号,入栈
}else
{
char topElem;
Pop(S,topElem);//出栈操作
if(str[i]==')'&&topElem!='(')
return false;
if(str[i]==']' && topElem!='[')
return false;
if(str[i]=='}' && topElem!='{')
return false;
if(StackEmpty(S))
return false;
}
}
}
2.1.2进制转换
void Conversion(){//十进制转16进制
Stack S;
InitStack (S);
cin>>N;//输入一个正整数
while(N!=0){
Push(S,N%16);//让
N=N/16;
}
while(IsEmpty(s)!=NULL){
pop(kS,e);
cout<<e;
}
}
2.1.3表达式求值
中缀表达式转后缀表达式
void tranform (char suffix[],char exp[])
{
InitStack(S);
Push(s,'#');
p=exp;
ch=*p;
while(!StackEmpty(S)
{
if(!IN(ch,op))//判断ch是不是操作符,IN函数比较ch是否是op(操作符)
Pass(suffix,ch);//如果不是操作符,则直接发给后缀式
else
{
switch(ch)
{
case'(':Push(S,ch); //左括号的进栈优先级最大直接进栈(比任何栈内的运算符出栈优先级都大
break;
case')':{ //右括号的的出栈优先级最大直接出栈(比任何栈外的运算符进栈优先级都大
Pop(S,c);
while(c!='('){//出栈的不为'('时加入后缀表达式
Pass(suffix,c);//发送给后缀表达式
Pop(S,c);
}
}
break;
default:{ //其他情况,则根据入栈的运算符优先级(与栈顶元素的出栈优先级比较)决定此运算符直接加入后缀表达式还入栈
//如果ch的入栈优先级大于站内元素的出栈优先级,则进栈,ComparePr()函数是判断入栈优先级大于站内元素的出栈优先级,是返回1,否返回false
op1 = Gettop(S,c);//op1为栈顶元素
if(ComparePr(ch,op1)==1)
{
Push(S,ch);
}
else if(ch!='#')
Push(S,ch);
else
Pass(suffix,c);
}
break;
}
}
if(ch!='#')
{
p++;
ch=*p;
}
}
}
}
}
2.1.4在循环队列中插入一个元素
bool EnQueue(SqQueue &Q,ElemType e)
{
if((Q.rear+1)%MS==Q.front)//判断循环队列是否满
return false;
Q.data[Q.rear] = e;//留一个不用
Q.rear =(Q.rear+1)%MS;
return true;
}
2.2队列
2.2.1拓扑排序
//b[]为每个点的入度
for(i=1;i<=n;i++){
for(j=1;j<=n;j++){
if(b[j]==0){ //找到一个入度为0的点
ans=j;
vis[cnt++]=j;
b[j]--;
break;
}
}
for(j=1;j<=n;j++)
if(a[ans][j]) b[j]--; //与入度为0的点相连的点的入度减一
}
printf("%d",vis[0]);
for(i=1;i<cnt;i++) printf(" %d",vis[i]);
printf("n");
3.树
0.二叉树的链式存储结构
typedef struct Btree{
Elemtype data;//数据域
struct Btree *child,*rchild;//左右指针
}*Btree;
0.0建立二叉树
(从键盘输入,先序遍历递归算法)
Btree CreateBT()
{
char ch;
BTree T;
scanf("%c",&ch);
if(ch=='-')
return NULL;//以-作为空结点
else{
T(BTree)malloc(sizeof(BTNode));//创立节点
T->data=ch;
T->lchild=CreateBT();
T->rchild=CreateBT();
}
return T;
}
3.1.1二叉树的先序遍历(递归
void PreOrder(Btree T)
{
if(T)
{
visit(T);
PreVisit(T->*lchild);
PreVisit(T->*rchild);
}
}
3.1.2二叉树的中序遍历(递归
void PreOrder(Btree T)
{
if(T)
{
PreVisit(T->*lchild);
visit(T);
PreVisit(T->*rchild);
}
}
3.1.3二叉树的后序遍历(递归
void PreOrder(Btree T)
{
if(T)
{
PreVisit(T->*lchild);
PreVisit(T->*rchild);
visit(T);
}
}
3.1.4 递归应用:求根节点的WPL


WPL=各叶子结点的带权路径之和
//先序遍历
int WPL(Btree root){
return wpl_PreOrder(root,0);
}
//WPL=∑(叶节点的权值)*(叶节点的深度)
int wpl-PreOrder(Btree root,int deep){
int wpl=0;
if(root->lchild==NULL&&root->rchild==NULL)
{
wpl+=deep*root->weight;
}
if(root->lchild!=NULL)
{
wpl_PreOrder(root->lchild,deep+1);
}
if(root->rchild!=NULL)
{
wpl_PreOrder(root->rchild,deep+1);
}
return wpl;
}
//层序遍历
int wpl_LevelOrder(BTree root){
LinkQueue Q;//定义队列
InitQueue(Q);
TreeNode * lastNode = root;
TreeNode * newlastNode = NULL; //用来记录下一层最后一个结点
TreeNode *t;//接受出栈的元素
int wpl = 0,deep=0;
while(!IsEmpty(Q)){
DeQuenue(S,t);//从队头出队
if(t->lchild==NULL&&t->rchild==NULL)
wpl +=deep*t->weight;
if(t->lchild !=NULL){
EnQuenue(S,t->lchild);
newlastNode = t->lchild;
}
if(t->rchild != NULL){
EnQuenue(S,t->rchild);
newlastNode = t->rchild;
}
if(t->rchild == lastNode){
lastNode = newlastNode;
deep++;
}
}
return wpl;
}
3.1.5求二叉树深度
int Depth(Btree T)
{
int ldepth,rdepth;
if(T==NULL)
return 0;
else{
ldepth=Depth(T->lchild);
rdepth=Depth(T->rchild);
}
}
4.图
4.0图的存储。
4.1图的遍历
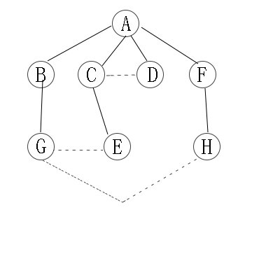
4.1.1广度优先遍历
类似二叉树的层次遍历
因此访问顺序是:A -> B -> C -> D -> F -> G -> E -> H
bool visited[MAX_VERTEX_MAX];
void BFSTraverse(Graph G){
for(i=0;i<G.vexnum;++i)
visited[i]=false;
InitQueue(Q);
for(i=0;i<G.vexnum;++i){
if(!visited[i])
BFS(G,i);
}
}
void BFS(Graph G,int v){
visit(v);
visited[v]=true;
Enqueue(Q,v);
while(!isEmpty(Q)){
Dequeue(Q,v); for(w=FirstNeighbour(G,v);w>=0;w=NextNeighbour(G,v,w))
if(!visited[w]){
visit(w);
visited[w]=true;
Enqueue(Q,w);
}
}
}
4.1.2深度优先遍历(Depth First Search)
类似图的先序遍历
深度优先遍历的主要思想是:
1、首先以一个未被访问过的顶点作为起始顶点,沿当前顶点的边走到未访问过的顶点;2、当没有未访问过的顶点时,则回到上一个顶点,继续试探别的顶点,直至所有的顶点都被访问过。
//递归
void DFS(A,n.v){
visit(v);
visited[v]=1;
for(int j=1;j<=n;j++){
if(A[v][j]==1 &&visited[j] == 0){
DFS(A,n,j);
}
}
}
应用:逆拓扑排序
//一般情况
bool visited[MAX_VERTEX_NUM];
void DFSTraverse(Graph G){
for(v=0;v<G.vexnum;++v)
visit[v]=false;
for(v=0;v<G.vexnum;++v){
if(!visited[v])
DFS(G,v);
}
}
void DFS(Graph G,int v){
visit(v);
visited[v]=true;
for(w=FirstNeighour(G,v);w>=0;w=NextNeighour(G,v,w))
if(!visited[w]){
DFS(G,w);
}
}
最后
以上就是冷酷马里奥最近收集整理的关于数据结构常见算法总结1.线性表2.栈和队列3.树4.图的全部内容,更多相关数据结构常见算法总结1内容请搜索靠谱客的其他文章。
本图文内容来源于网友提供,作为学习参考使用,或来自网络收集整理,版权属于原作者所有。
发表评论 取消回复