- 一阶惯性环节
一个独立储能元件和一个耗能元件的组合,就可以构成一个惯性环节。
下图就是一个常见的电路,一阶滤波电路,也可以叫一阶惯性环节,为什么叫一阶惯性环节呢? 是因为当输入信号发生突变的时候,输出信号不能突变,只能按照指数规律逐渐变化,是不是像物理学中的惯性,所以称为惯性环节。

图1: RC滤波电路
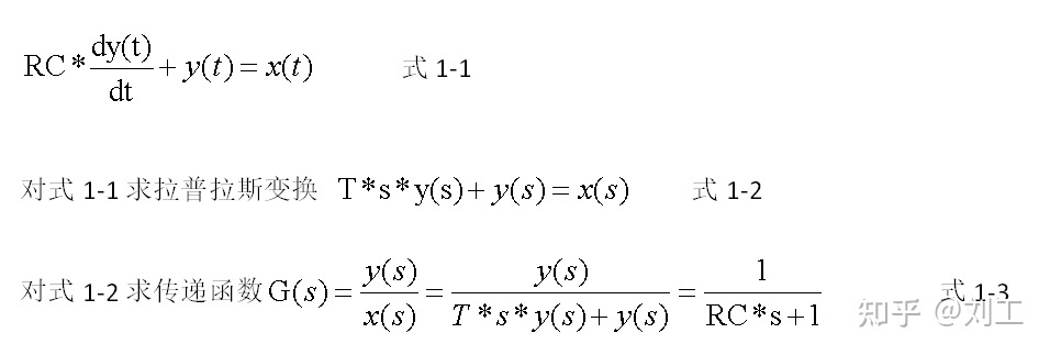
一阶惯性环节微分方程

图2
2. 一阶滤波器带宽

一阶低通滤波器带宽
matlab 仿真
令1/2PIRC = 100, 即设计一阶低通滤波器的带宽为100,即RC = 1/(200*pi)

(1)输入幅度为1,频率为10Hz的正弦波,输入输出波形如下图

黄色波形为输出波形。可以看出来输出波形稍微有点滞后于输入波形。
(2) 输入幅度为1,频率为50Hz的,正弦波。 输出波形 如下图。

(3) 输入幅度为1,频率为100Hz的,正弦波。 输出波形 如下图

输入一个阶跃信号

上升时间大约为9.922ms
把一阶低通滤波器的带宽改为200,再次输入阶跃信号。输出如下图

上升时间为5ms。从上述的实验可以得一个结论,一阶惯性环节阶跃信号输出响应,对应的信号上升时间可以用来反向计算一阶滤波器的带宽。
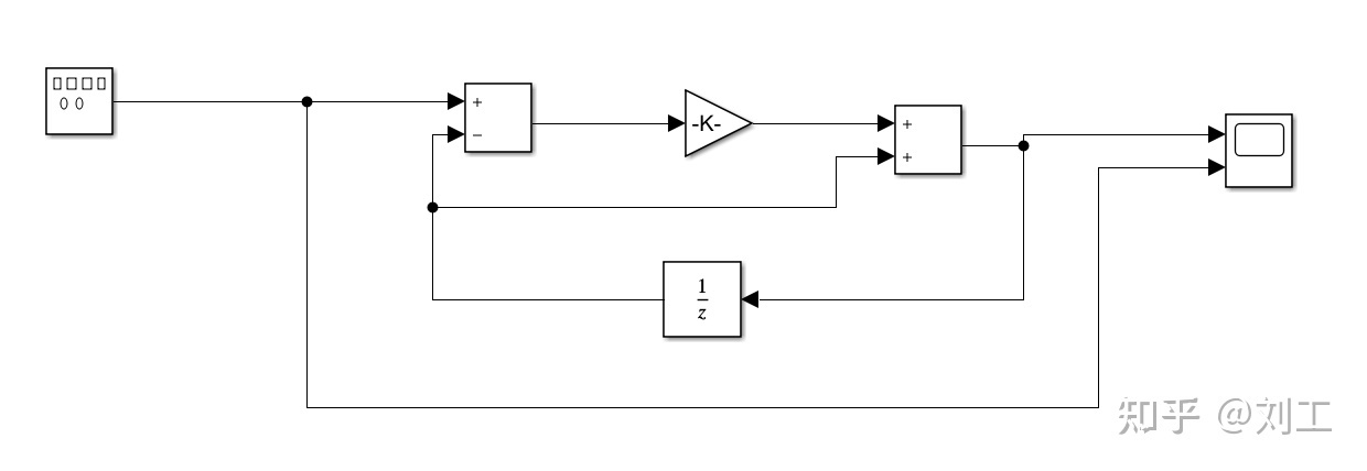
3. 数字一阶低通滤波器
这里采用后向差分的方法对模拟一阶滤波器进行离散化


把5.4代入上述的传递函数,可以得到



两边同时除以RC+T

令a = T/(RC+T)得到

令k = k+1得到

也可以写成这种形式

我想大部分初学者会想,这个a和一阶低通滤波器的带宽有什么关系,由前面的计算中可以知道
a = T/(RC+T), 模拟一阶滤波器中 带宽为

我猜想模拟一阶滤波器和数字一阶滤波器 带宽公式应该是一样的。稍后我会通过matlab仿真来验证
设计数字一阶低通滤波器的带宽为200Hz,计算频率为10Khz,也就是T = 0.0001s。通过下图的公式

代入参数可以计算得到a = 0.1116
通过matlab仿真反向验证实际带宽是否和设计带宽一致。

数字一阶低通滤波器matlab仿真
输入一个幅值为1,频率为100Hz的正弦波。输入输出波形如下图所示

输入一个幅值为1,频率为200Hz的正弦波。输入输出波形如下图所示

通过以上的实验可以基本判断数字一阶低通滤波器带宽设置没问题。
总结:
- 模拟一阶低通滤波器的带宽设置方法和数字一阶滤波器是一样的
- 有些场合需要注意一阶低通滤波器初始值
思考:
1.计算周期T大小会对数字滤波器产生什么样的影响?
最后
以上就是自觉哈密瓜最近收集整理的关于数字一阶低通滤波器立体解析的全部内容,更多相关数字一阶低通滤波器立体解析内容请搜索靠谱客的其他文章。
发表评论 取消回复