文章目录
- 一、理论基础
- 二、锁相放大器的基本应用
- 二、应用分析
- 1.基本结构
- 2.相敏检波-理论分析
- 总结
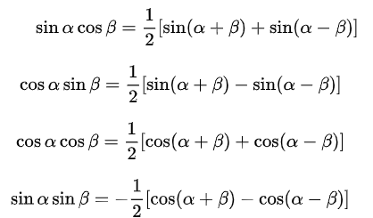
一、理论基础
简单的数学理论基础-积化和差公式:

二、锁相放大器的基本应用
锁相放大器是用于微弱信号检测的装置,微弱信号常淹没在各种噪声中,锁相放大器可以将微弱信号从噪声中提取出来并对其进行准确测量。锁相放大器是基于互相干方法的微弱信号检测手段,其核心是相敏检测技术,利用与待测信号有相同频率和固定相位关系的参考信号作为基准,滤掉与其频率不同的噪声,从而提取出有用信号成分。
总结:锁相放大器是一种能够大幅度抑制无用噪声,提高检测灵敏度和信噪比的信号检测仪器。
二、应用分析
1.基本结构

如图2所示,整个锁相放大器可以简单理解为以上三个部分:
1、输入信号的前置处理,包含平常所用的放大及带通模块,目标是对输入信号进行简单处理;
2、相敏检波,为锁相放大器的核心之处,具体会在下面进行详细的理论推导;
3、参考信号的处理:获得锁相所需要参考信号的频率与相位;
2.相敏检波-理论分析
设系统的输入信号为:
S
I
(
t
)
=
A
s
i
n
(
w
t
+
a
)
+
B
(
t
)
S_I({t})=Asin(wt+a)+B(t)
SI(t)=Asin(wt+a)+B(t)
式中:A为输入信号幅值,w为输入信号频率,a为输入信号相位,
B
(
t
)
B(t)
B(t)为总噪声。
设参考信号为:
S
O
(
t
)
=
C
s
i
n
(
w
r
t
+
c
)
S_O({t})=Csin(w_rt+c)
SO(t)=Csin(wrt+c)
式中:C为参考信号幅值,w_r为输入信号频率,c为参考信号相位。
当二者经过乘法器后,由积化和差公式可到输出:
S
(
t
)
=
0.5
A
C
c
o
s
(
[
w
−
w
r
]
t
+
a
−
c
)
−
0.5
A
C
c
o
(
[
w
+
w
r
]
+
a
+
c
)
+
B
(
t
)
C
s
i
n
(
w
r
t
+
c
)
S(t)=0.5ACcos([w-w_r]t+a-c)-0.5ACco([w+w_r]+a+c)+B(t)Csin(w_rt+c)
S(t)=0.5ACcos([w−wr]t+a−c)−0.5ACco([w+wr]+a+c)+B(t)Csin(wrt+c)
当w=w_r由上式,可推得,
S
(
t
)
=
0.5
A
C
c
o
s
(
a
−
c
)
−
0.5
A
C
c
o
(
2
w
+
a
+
c
)
+
B
(
t
)
C
s
i
n
(
w
t
+
c
)
S(t)=0.5ACcos(a-c)-0.5ACco(2w+a+c)+B(t)Csin(wt+c)
S(t)=0.5ACcos(a−c)−0.5ACco(2w+a+c)+B(t)Csin(wt+c)
由上式可得,S(t)由三部分组成:
1、0.5ACcos(a-c);在输入信号与参考信号均稳定的前提下,该部分为恒值,即直流信号;
2、0.5ACco(2w+a+c);为参考信号的二倍频交流信号;
3、B(t)Csin(wt+c);噪声信号与参考信号的相乘,根据正弦信号的完备性可知,随机信号与其不具有相关性,其积分结果为零;
当经过相敏检波的下一环节:低通滤波器后,第二环节和第三环节都将被滤除,仅剩余直流分量:
S
(
t
)
=
0.5
A
C
c
o
s
(
a
−
c
)
S(t)=0.5ACcos(a-c)
S(t)=0.5ACcos(a−c)
当输入信号相位a与参考信号c一致时,cos(a-c)=1,
S
(
t
)
=
0.5
A
C
S(t)=0.5AC
S(t)=0.5AC
至此,即完成了整体推导:
锁相放大器的输出是一个直流电压,正比于是输入信号中某一特定频率(参数输入频率)的信号幅值。
总结
锁相放大器虽然从原理上可以达到很好的控制效果,但是其在实际操作中仍存在诸多问题,例如参考与输入信号的频率误差,相位误差等,这些均会对最终的输出精度造成很多影响。
因此,锁相放大器也产生了诸多的改良方法,在下一篇文章中,将会对双相锁相放大器进行详细介绍。
最后
以上就是酷炫雪糕最近收集整理的关于硬件基础-锁相放大器详解一、理论基础二、锁相放大器的基本应用二、应用分析总结的全部内容,更多相关硬件基础-锁相放大器详解一、理论基础二、锁相放大器内容请搜索靠谱客的其他文章。
发表评论 取消回复