上一节我们讲了动态规划动态规划的基本思想和一些经典例题,本节再来看几个具体例子。
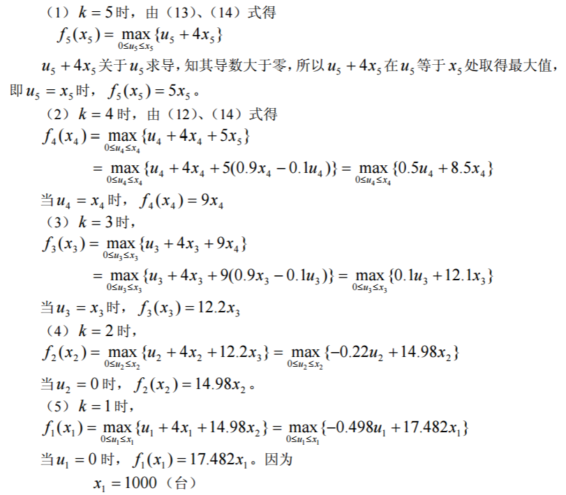
例6 设某工厂有 1000 台机器,生产两种产品 A、B ,若投入 x 台机器生产 A 产品,则纯收入为5x ,若投入 y 台机器生产 B 种产品,则纯收入为4y ,又知:生产 A 种 产品机器的年折损率为 20%,生产 B 产品机器的年折损率为 10%,问在 5 年内如何安 排各年度的生产计划,才能使总收入最高?





习题
1. 用 Matlab 编程求例 6 的解。
2. 有四个工人,要指派他们分别完成 4 项工作,每人做各项工作所消耗的时间如 表 1 所示

问指派哪个人去完成哪项工作,可使总的消耗时间为最小?试对此问题用动态规划 方法求解。
3. 为保证某一设备的正常运转,需备有三种不同的零件 。若增加备用零 件的数量,可提高设备正常运转的可靠性,但增加了费用,而投资额仅为 8000 元。已 知备用零件数与它的可靠性和费用的关系如表 2 所示。

现要求在既不超出投资额的限制,又能尽量提高设备运转的可靠性的条件下,问 各种零件的备件数量应是多少为好?
4. 某工厂购进 100 台机器,准备生产 I、II 两种产品,若生产产品 I,每台机器每 年可收入 45 万元,损坏率为 65%;若生产产品 II,每台机器每年收入为 35 万元,损 坏率为 35%,估计三年后将有新型机器出现,旧的机器将全部淘汰。试问每年应如何安排生产,使在三年内收入最多?
5.3 名商人各带 1 名随从乘船渡河,一只小船只能容纳 2 人,由他们自己划行。 随从们密约,在河的任一岸,一旦随从人数比商人多,就杀商人。此密约被商人知道, 如何乘船渡河的大权掌握在商人们手中,商人们怎样安排每次乘船方案,才能安全渡河 呢?
6.某一印刷厂有六项加工任务,对印刷车间和装订车间所需时间(单位:天)如 表 3 所示,试求最优的加工顺序和总加工天数。

最后
以上就是缥缈帆布鞋最近收集整理的关于动态规划的具体应用实例的全部内容,更多相关动态规划内容请搜索靠谱客的其他文章。
发表评论 取消回复