我是靠谱客的博主 朴实哑铃,这篇文章主要介绍MatLab使用显/隐式Adams求解ODE问题,现在分享给大家,希望可以做个参考。

代码:

function example_Adam
T = 1;
h = 0.1;
t = 0:h:T;
N = length(t)-1;
solu = exp(-5.0*t);
u0 = 1;
f = @f1;
u_euler = euler(f,u0,t,h,N);
u_out_Adams = out_Adams(f,u0,t,h,N);
u_in_Adams = in_Adams(f,u0,t,h,N);
 
figure (1)
plot(t,u_out_Adams,'*r',t,solu,t,u_in_Adams,'o');
legend('显示Adams外插','精确解','隐式Adams内插');
end
function u = euler(f,u0,t,h,N)
u    = zeros(N+1,1);
u(1) = u0;
for n = 1:N
    fn     = f(t(n),u(n));
    u(n+1) = u(n)+h*fn;
end end
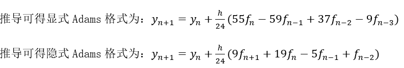
function u = out_Adams(f, u0, t, h ,N)
u=zeros(N+1,1);
u(1)=u0;
u = euler(f,u0,t,h,4);
for n=4:N
    f1 = f(t(n),u(n));
    f2 = f(t(n-1),u(n-1));
    f3 = f(t(n-2),u(n-2));
    f4 = f(t(n-3),u(n-3));
    u(n+1) = u(n)+(h/24)*(55*f1-59*f2+37*f3-9*f4);
end
end
function u = in_Adams(f, u0, t, h ,N)
u    = zeros(N+1,1);
u(1) = u0;
u = euler(f,u0,t,h,3);
eps_in = 1e-6;
  K_in = 6;
for n = 3:N
    s1 = u(n);
    du = 1;
    k  = 1; 
    f2 = f(t(n),u(n));
    f3 = f(t(n-1),u(n-1));
    f4 = f(t(n-2),u(n-2));
    while abs(du)>eps_in && k<K_in
        f1 = f(t(n+1),s1);
        s2 = u(n)+(h/24)*(9*f1+19*f2-5*f3+f4);
        du = s2-s1;
        s1 = s2;
         k = k+1; end
    u(n+1) = s2;
end end
function f =f1(t,u)
f = -5*u;end

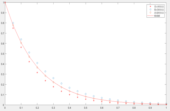
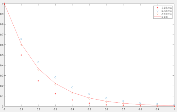
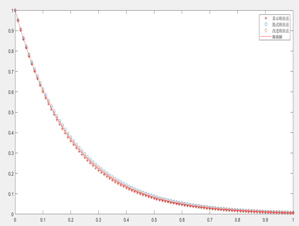
结果如下:(采取三种步长)

在h变小的过程中,显式Adams算法和隐式Adams算法的精度逐渐升高,接近于精确解。由上图可知隐式Adams法比显式Adams法的更精确,两种算法精度之间的差距随着步长h减小而逐渐减少,注意到在h=0.01时二者结果近乎重合。

最后

以上就是朴实哑铃最近收集整理的关于MatLab使用显/隐式Adams求解ODE问题的全部内容,更多相关MatLab使用显/隐式Adams求解ODE问题内容请搜索靠谱客的其他文章。

本图文内容来源于网友提供,作为学习参考使用,或来自网络收集整理,版权属于原作者所有。
点赞(171)

评论列表共有 0 条评论

立即
投稿
返回
顶部