什么是信道容量呢?
称信道无差错传输信息的最大信息速率为信道容量.
如题:2019年4月

分析:
概念的意义就在于能够快速提升认知,如同窗户一样,打开后会发现很多有趣的风景。
没什么可说的,如果对信道容量都是模糊,那这道题就别想得分了,基础的东西,往往是很重要的。两个很重要的公式
1、连续信道容量之奈奎斯特公式,即奈式准则。

如题
如果使用一个无噪声的带宽为4000Hz的话音信道来传输数字数据,采用256相制技术,试问信道容量是多少?
解:W =4000Hz
M=256, =8比特(一个码元携带8比特的数据)
=2*4000*8=64kHz
如题:2017年10月

这道题,主要的还是做题方法,不要被PAM所吓住!其实主要还是考奈式准则。
应该能想到奈式准C=2Blog2M代入 64=2*8log2M,得到M=16,也就是说一个码元带16比特数据,因为每种相位有两种幅度,也就是每种相位带了两个数据,所以需要相位数/2=8种不同相位。
2、香农公式:
![]()

如上真题:
B=16KHz,信噪比为30分贝,信道容量?
首先,看到信噪比应该就是用香农公式,因为奈式准则是连续信道在理想状态下的信道容量。
再次,香农公式里是信噪比单位是功率,要转换30db=10log10(S/N) -> log10(S/N)=3 -> S/N(功率)=1000。
代入香农公式C=Blog2(1+S/N)=16K * log2(1001)约为160Kbit/s
扩展:
如题:2018年4月:

分析:看到信道,应该想到奈式准则与香农公式。但最大信号传输速率与最大数据传输速率又是什么概念呢?
答:
无噪声,那就是奈式准则:所以最大信号传输速率(也就是码元传输速率)=2W=2*3000=6Kbps.
最大数据传输速率,就是奈式准则公式了。C=2Blog2(32)=2*3000*5=30Kbps
先看几个概念:
1. 数据传输速率
又称码率、比特率或数据带宽,描述通信中每秒传送数据代码的比特数,单位是bps。这个很好理解,是“刚需”,每秒传多少bit的数据。
2. 码元(符号)
详见《网络原理考点之数字调制》- 2020年3月26日
也可以叫符号(symbol)。通过不同的调制方式(诸如FSK、QAM等等),可以在一个码元符号上负载多个bit位信息。举个例子,下图是4QAM(即QPSK)调制的全部四种码元符号,一种符号可以带两个bit的信息。

3. 符号率
符号率也就是码元速率,单位是Baud/s或sym/s,表示每秒传输码元符号的数目。符号率也叫波特率或符码率。符号率决定了通信效率,显然一种调制方式符号状态数(上例中4QAM是4种)越多,符号率数值越大,每秒可以传更多的bit信息。显然有
数据传输速率=符号率 x 一种符号所带的bit数
建立在以上三种概念上的概念:带宽。
带宽实际上是个物理概念,它是指占用频谱的宽度。设计一个通信系统,其实带宽是一个被设计决定的量。明白这一点非常重要,一个系统,你打算支持多大的数据速率?采用什么调制方式?用什么编码方式?等等综合考虑了以后,这些指标决定了你的信道需要多少带宽。各种编码方式(各种用途,校验,纠错等等,目的只有一个,提高传输的可靠性)决定了你最终传输的信息总量(真正要传输的数据+必要的其他信息),调制方式决定了最终传输这些数据的符号率。
(Shanon)定理与奈奎斯特(Nyquist)准则描述了信道带宽与数据传输速率的关系。
香农定理给出了信道容量的理论上限,但是看起来有点玄幻,因为它看起来和波特率,码率啥的都没关系,而奈奎斯特准则给出的它们的关系。
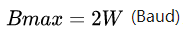
奈奎斯特准则: 对于一个带宽为W(Hz)的无噪声低通信道,最高的码元传输速率Bmax:
即每赫兹带宽的理想低通信道的最高码元传输速率是每秒2个码元。
根据之前Baud单位的定义,如果编码方式的码元状态数为M,得出极限信息传输速率(信道容量)Cmax:
(评论指出这个是低通情况下,但不影响理解)
奈奎斯特要告诉我们的是,每个码元传送bit确定的情况下,如果我这个信道只支持W(Hz)的带宽,你最多每秒只能给我塞Cmax (bit)的信息,多了我就吃不消啦。反过来,在带宽已知,在信道容量Cmax已经被香农定理确定的情况下,实际上奈奎斯特准则给出了系统每个码元最大传送的bit数(就比如QAM数)。
回到上面那句话,带宽是一个被设计决定的量。我要传那么多的数据,信道的最大信噪比基本也能有一个预测值,你最起码得给我搞一个满足香农定理的信道,带宽少了不用说不行,多了浪费,要知道频谱资源可是灰常灰常宝贵的。还有,你的RF电路,硬件设计,滤波器都得给我满足这个带宽,少了不行,多了带宽外面的干扰信号也可能漏进来,抗干扰不行。
最后提一下载波。顾名思义,载波是信号调制与发射的载体,它只有一个中心频率,和带宽本身没任何关系。比如11n协议规定可以工作在2G频段,也可以工作在5G频段,其他因素都一样的。假定20M带宽,工作在2G频段的时候载波频率是2.4GHz,那它实际占用的频谱资源是2.390GHz-2.410GHz。工作在5G频段的时候载波频率是5GHz,那它实际占用的频谱资源是4.990GHz-5.010GHz。
,如果说带宽和载波之间有啥关系的话,那就是RF设计的时候,得考虑滤波器的设计,滤波器需要做到滤除这个带宽范围外的其他信号,载波频率相对越高,也就是滤波器中心频率越高,滤波器更容易实现。
还有一点,带宽概念不是指单一载波上的带宽,比如802.11n,802.11ac里面的20M,40M,80M带宽概念,由于采用的是ofdm技术,是指通信的时候所有子载波总共所需的频谱带宽。带宽越大,子载波数目越多。但是单个子载波的带宽又是固定的。
最后
以上就是舒适大炮最近收集整理的关于网络原理考点之信道容量与最大信号传输率、最大数据传输率的全部内容,更多相关网络原理考点之信道容量与最大信号传输率、最大数据传输率内容请搜索靠谱客的其他文章。
发表评论 取消回复