快慢指针
快慢指针中的快慢指的是移动的步长,即每次向前移动速度的快慢。例如可以让快指针每次沿链表向前移动2,慢指针每次向前移动1次。
快慢指针的应用
(1)判断单链表是否存在环
如果链表存在环,就好像操场的跑道是一个环形一样。此时让快慢指针都从链表头开始遍历,快指针每次向前移动两个位置,慢指针每次向前移动一个位置;如果快指针到达NULL,说明链表以NULL为结尾,没有环。如果快指针追上慢指针,则表示有环。代码如下:
bool HasCircle(Node *head)
{
if(head == NULL)
return false;
Node *slow = head, *fast = head;
while(fast != NULL && fast->next!=NULL)
{
slow = slow->next; //慢指针每次前进一步
fast = fast->next->next;//快指针每次前进两步
if(slow == fast) //相遇,存在环
return true;
}
return false;
}
(2)在有序链表中寻找中位数
快指针的移动速度是慢指针移动速度的2倍,因此当快指针到达链表尾时,慢指针到达中点。
程序还要考虑链表结点个数的奇偶数因素,当快指针移动x次后到达表尾(1+2x),说明链表有奇数个结点,直接返回慢指针指向的数据即可。
如果快指针是倒数第二个结点,说明链表结点个数是偶数,这时可以根据“规则”返回上中位数或下中位数或(上中位数+下中位数)的一半。
while (fast && slow)
{
if (fast->next==NULL)
return slow ->data;
else if (fast->next!= NULL && fast->next->next== NULL)
return (slow ->data + slow ->next->data)/2;
else
{
fast= fast->next;
fast= fast->next;
slow = slow ->next;
}
}
(3) 输出链表中的倒数第K个节点(即正数第K-1个节点)
可以定义两个指针,第一个指针从链表的头指针开始遍历向前走k-1步,第二个指针保持不动;从第K步开始,第二个指针也开始从链表的头指针开始遍历。由于两个指针的距离保持在k-1,当第一个指针到达链表的尾节点时候,第二个指针正好是倒数第K个节点,代码如下:
// 查找单链表中倒数第K个结点
ListNode * RGetKthNode(ListNode * pHead, unsigned int k) // 函数名前面的R代表反向
{
if(k == 0 || pHead == NULL) // 这里k的计数是从1开始的,若k为0或链表为空返回NULL
return NULL;
ListNode * pAhead = pHead;
ListNode * pBehind = pHead;
for(int i=0;i<k-1;i++){
pAhead=pAhead->next;
if(pAhead==null) return null;//当链表长度小于k时候,返回Null
}
while(pAhead->next != NULL) // 前后两个指针一起向前走,直到前面的指针指向最后一个结点
{
pBehind = pBehind->next;
pAhead = pAhead->next;
}
return pBehind; // 后面的指针所指结点就是倒数第k个结点
}
(4) 判断链表是否存在环,如果存在,找到环入口
有一个单链表,其中可能有一个环,也就是某个节点的next指向的是链表中在它之前的节点,这样在链表的尾部形成一环。
如何判断一个链表是否存在环?设定两个指针slow,fast,均从头指针开始,每次分别前进1步、2步。如存在环,则两者相遇;如不存在环,fast遇到NULL退出。
如果链表存在环,如果找到环的入口点?当fast若与slow相遇时,slow肯定没有走遍历完链表或者恰好遍历一圈。于是我们从链表头与相遇点分别设一个指针,每次各走一步,两个指针必定相遇,且相遇第一点为环入口点。
node* findLoopPort(node *head) {
node *fast, *slow;
fast = slow = head;
while (fast && fast->next) {
//第一步:判断链表是否存在环
slow = slow->next;
fast = fast->next->next;
if (slow == fast) { //链表存在环
break;
}
}
if ((fast == NULL) || (fast->next == NULL)) { //链表不存在环
return NULL;
}
//第二步:寻找环的入口点
slow = head; //让slow回到链表的起点,fast留在相遇点
while (slow != fast) { //当slow和fast再次相遇时,那个点就是环的入口点
slow = slow->next;
fast = fast->next;
}
return slow;
}
(5) 判断两个单链表是否相交,如果相交,找到他们的第一个公共节点
判断两个单链表是否相交,如果相交,给出相交的第一个点(假设两个链表都不存在环)。
思路:
首先利用快慢指针判断链表是否存在环。
(1)如果都不存在环,则如果两个单向链表有公共节点,也就是两个链表从某一节点开始,他们的p_next都指向同一个节点,每个节点只有一个p->next。因此从第一个公共节点开始,之后它们所有节点都是重合的。因此,首先两个链表各遍历一次,求出两个链表的长度L1、L2,然后可以得到它们的长度差L。然后现在长的链表上遍历L个节点,之后再同步遍历,于是在遍历中,第一个相同的节点就是第一个公共的节点。此时,若两个链表长度分别为M,N,则时间复杂度为O(M+N).
(2)如果一个存在环,另外一个不存在环,则这两个链表是不可能相交的。
(3)如果利用快慢指针发现两个链表都存在环,则判断任意一个链表上快慢指针相遇的那个节点,在不在另外一个链表上,如果在,则相交,不在,则不相交。
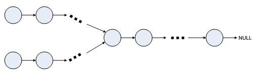
下面讨论两个没有环的链表如果是相交于某一结点的情况:
相交的链表示意图如下所示:

方法一:
两个没有环的链表如果是相交于某一结点,如上图所示,这个结点后面都是共有的。所以如果两个链表相交,那么两个链表的尾结点的地址也是一样的。程序实现时分别遍历两个单链表,直到尾结点。判断尾结点地址是否相等即可。时间复杂度为O(L1+L2)。
如何找到第一个相交结点?判断是否相交的时候,记录下两个链表的长度,算出长度差len,接着先让较长的链表遍历len个长度,然后两个链表同时遍历,判断是否相等,如果相等,就是第一个相交的结点。
void Is_2List_Intersect(LinkList L1, LinkList L2) {
if (L1 == NULL || L2 == NULL) {
exit(ERROR);
}
LinkList p = L1;
LinkList q = L2;
int L1_length = 0;
int L2_length = 0;
int len = 0;
while (p->next) {
L1_length ++;
p = p->next;
}
while (q->next) {
L2_length ++;
q = q->next;
}
printf("p: = %dn", p);
printf("q: = %dn", q);
printf("L1_length: = %dn", L1_length);
printf("L2_length: = %dn", L2_length);
if (p == q) {
printf(" 相交n");
/*p重新指向短的链表 q指向长链表*/
if (L1_length > L2_length) {
len = L1_length - L2_length;
p = L2;
q = L1;
}
else {
len = L2_length - L1_length;
p = L1;
q = L2;
}
while (len) {
q = q->next;
len--;
}
while (p != q) {
p = p->next;
q = q->next;
}
printf("相交的第一个结点是:%dn", p->data );
}
else {
printf("不相交 n");
}
}
方法二:
另外一个方法则是将一个链表首尾相接,然后判断另外一个链表是否有环,如果有环,则两个链表相交。那么求第一个交点则求出有环的的那个链表的环结点即是。
int Is_ListLoop(LinkList L) {
LinkList fast, slow;
if (L == NULL || L->next == NULL) {
exit(ERROR);
}
fast = slow = L;
while (fast->next != NULL && fast->next->next != NULL) {
slow = slow->next;
fast = fast->next->next;
if (fast == slow) {
return True;
}
}
return False;
}
int Find_Loop(LinkList L) {
LinkList fast, slow;
if (L == NULL || L->next == NULL) {
exit(ERROR);
}
fast = slow = L;
while (fast->next != NULL && fast->next->next != NULL) {
slow = slow->next;
fast = fast->next->next;
if (fast == slow) {
break;
}
}
slow = L;
while (fast != slow) {
slow = slow->next;
fast = fast->next;
}
printf("%dn", slow->data );
return TRUE;
}
void Is_2List_Intersect2(LinkList L1, LinkList L2) {
if (L1 == NULL || L2 == NULL) {
exit(ERROR);
}
LinkList p = L1;
LinkList q = L2;
while (p->next) {
p = p->next;
}
p->next = L1->next;
if(Is_ListLoop(L2)){
printf("相交n");
printf("相交的第一个结点是:");
Find_Loop(L2);
}
else{
printf("不相交n");
}
}
参考链接:
https://blog.csdn.net/a1091220321/article/details/47706711
https://www.cnblogs.com/hxsyl/p/4395794.html
https://blog.csdn.net/zwhlxl/article/details/45745825
最后
以上就是灵巧招牌最近收集整理的关于快慢指针应用总结快慢指针的全部内容,更多相关快慢指针应用总结快慢指针内容请搜索靠谱客的其他文章。
发表评论 取消回复