我是靠谱客的博主 如意棒棒糖,这篇文章主要介绍lora发射和接收原理_LoRa 的扩频技术LoRa 的扩频技术扩频概念及原理传输速率和距离 为什么使用扩频,现在分享给大家,希望可以做个参考。

LoRa 的扩频技术

LoRa 是一种基于扩频的调制方式,通过扩频把信号扩展到带宽较宽的噪声中,获得扩频增益。

扩频概念及原理

扩频通信(SSC),即扩展频谱通信技术(SpreadSpectrumCommunication),它的基本特点是其传输信息所用信号的带宽远大于信息本身的带宽。增加信号带宽可以降低对信噪比的要求,当带宽增加到一定程度,允许信噪比进一步降低。扩频通信
就是用宽带传输技术来换取信噪比上的好处,这就是扩频通信的基本思想和理论依据。

扩频技术即是将信息信号的带宽扩展很多倍进行通信的技术。传输信号带宽远大于信息信号的带宽。例如,传输一个64Kbps 的数据流,其基带带宽只有64KHz 左右,但用扩频技术传送时,它所占据的信道带宽可以被扩展到5MHz,10MHz,甚至更大。与此同时,发射到空间的无线电功率谱(单位带宽内具有的功率),也将大大的降低。

常规的数字数据通信原理是使用与数据速率相适应的尽可能小的带宽。这是因为带宽数是有限的,而且有很多的用户要分享。扩频通信的原理是尽可能使用最大带宽数,同样的能量在一个大的带宽上传播。这里扩频带宽的很小部分与常规无线信号相干扰,但常规无线信号不影响扩频信号,这是因为两者相比常规信号带宽很窄。

扩频通信,即扩展频谱通信技术(Spread Spectrum Communication),它的基本特点是其传输信息所用信号的带宽远大于信息本身的带宽。除此以外,扩频通信还具有如下特征:

  1. 是一种数字传输方式;
  2. 带宽的展宽是利用与被传信息无关的函数(扩频函数)对被传信息进行调制实现的;
  3. 在接收端使用相同的扩频函数对扩频信号进行相关解调,还原出被传信息。

根据香农(C.E.Shannon)在信息论研究中总结出的信道容量公式,即香农公式: C = W×Log2(1+S/N)
式中:C--信息的传输速率S--有用信号功率W--频带宽度N--噪声功率
由式中可以看出:
为了提高信息的传输速率 C,可以从两种途径实现,即加大带宽W 或提高信噪比S/N。换句话说,当信号的传输速率C 一定时,信号带宽W 和信噪比S/N 是可以互换的,即增加信号带宽可以降低对信噪比的要求,当带宽增加到一定程度,允许信噪比进一步降低,有用信号功率接近噪声功率甚至淹没在噪声之下也是可能的。扩频通信就是用宽带传输技术来换取信噪比上的好处,这就是扩频通信的基本思想和理论依据。
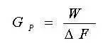
扩频通信系统由于在发送端扩展了信号频谱,在接收端解扩还原了信息,这样的系统带来的好处是大大提高了抗干扰容限。理论分析表明,各种扩频系统的抗干扰性能与信息频谱扩展后的扩频信号带宽比例有关。一般把扩频信号带宽W 与信息带宽△F 之比称为处理增益GP,即:

ac1cc16d73b11f52172ead0444c10f59.png

它表明了扩频系统信噪比改善的程度。除此之外,扩频系统的其他一些性能也大都与GP 有关。因此,处理增益是扩频系统的一个重要性能指标。
系统的抗干扰容限 MJ 定义如下:

1c906e19aa47f082d38166359c11816f.png


式中:(S/N)。= 输出端的信噪比,LS = 系统损耗

由此可见,抗干扰容限MJ 与扩频处理增益GP 成正比,扩频处理增益提高后,抗干扰容限大大提高,甚至信号在一定的噪声湮没下也能正常通信。通常的扩频设备总是将用户信息(待传输信息)的带宽扩展到数十倍、上百倍甚至千倍,以尽可能地提高处理增益。

频谱的扩展是用数字化方式实现的。在一个二进制码位的时段内用一组新的多位长的码型予以置换,新码型的码速率远远高出原码的码速率,由傅立叶分析可知新码型的带宽远远高出原码的带宽,从而将信号的带宽进行了扩展。这些新的码型也叫伪随机(PN)码,码位越长系统性能越高。通常,商用扩频系统PN 码码长应不低于12 位,一般取32 位,军用系统可达千位。

目前常见的码型有以下三种:

  1. M 序列,即最长线性伪随机系列;
  2. GOLD 序列;
  3. WALSH 函数正交码。

当选取上述任意一个序列后,如M 序列,将其中可用的编码,即正交码,两两组合,并划分为若干组,各组分别代表不同用户,组内两个码型分别表示原始信息"1" 和"0"。系统对原始信息进行编码、传送,接收端利用相关处理器对接收信号与本地码型相关进行相关运算,解出基带信号( 即原始信息)实现解扩,从而区分出不同用户的不同信息。微波无线扩频通信的原理见图1:

0317b883ffb839ad5815a326af20e117.png

扩频通信原理

由图可见,一般的无线扩频通信系统都要进行三次调制。一次调制为信息调制,二次调制为扩频调制,三次调制为射频调制。接收端有相应的射频解调,扩频解调和信息解调。根据扩展频谱的方式不同,扩频通信系统可分为:直接序列扩频(DS)、跳频(FH)、跳时(TH)、线性调频以及以上几种方法的组合。

所谓直接序列扩频(DS-Direct Scquency),就是用高码率的扩频码序列在发端直接去扩展信号的频谱,在收端直接使用相同的扩频码序列对扩展的信号频谱进行解调,还原出原始的信息。直接序列扩频的频谱扩展和解扩过程见下面2 图所示:

602483adf065fd298db080cfb49d4723.png

信息的频谱扩展过程

b03907a3665b49692267221a7fe34bd6.png

扩频信号的解扩过程

在图上我们可以看出:
在发端,信息码经码率较高的 PN 码调制以后,频谱被扩展了。在收端,扩频信号经同样的PN 码解调以后,信息码被恢复;
信息码经调制、扩频传输、解调然后恢复的过程,类似于PN 码进行了二次"模二相加"的过程。
在以下的图 4 中我们还可以用能量面积图示概念看出:
待传信息的频谱被扩展了以后,能量被均匀地分布在较宽的频带上,功率谱密度下降;
扩频信号解扩以后,宽带信号恢复成窄带信息,功率谱密度上升;
相对与信息信号,脉冲干扰只经过了一次被模二相加的调制过程,频谱被扩展,功率谱密度下降,从而使有用信息在噪声干扰中被提取出来。

传输速率和距离

传输速率是系统设计中一个关键的可变因素,它将决定整个系统整体性能的很多属性。无线传输距离由接收机灵敏度和发射机输出功率共同决定,两者之间的差值我们称之为链路预算。输出功率受限于标准规范,所以只有通过提高灵敏度来增加距离,而灵敏度又受数据速率非常重要的影响。对所有的调制方式来说,越低的速率,接收机的带宽越窄,接收灵敏度就越高。在现今高性价比无线收发机中应用最广泛的调制方式是FSK 或者GFSK。要进一步减小FSK 系统的接收机带宽,唯一可行的办法就是提高参考晶体的精确度。虽未经检验过但可以预见,这很容易就会产生比接收机带宽更宽的频率偏差。低成本的晶体一般只有20ppm 的精度,这将限制使用载波频率为868MHz 或915MHz 系统的最大数据传输速率在20kbps,灵敏度在-112dBm。使用温补晶振可以获得更高的灵敏度,但是温补晶振的价钱将是普通晶体的三倍。

扩频调制方式在其他领域应用了很多年,之前未使用于低成本的传感网络方案。在等同的数据速率条件下,商用的低成本扩频调制方式可以获得比传统FSK 调制方式高8-10dB 的灵敏度。升特(Semtech)公司将推出一款新的收发机,这款收发机集成了一种名为LoRa 的扩频调制方式和传统的GFSK 调制方式。图中展示了在GFSK 调制和LoRa 扩频调制两种系统中灵敏度相对数据速率的关系曲线。

bb4d5ff758940a63396345f2acd6bfbd.png

在 GFSK 调制和LoRa 扩频调制两种系统中灵敏度相对数据速率的关系曲线。

有些扩频调制方式对晶体引起的频率偏差更不敏感,这类接收机在125kHz 的带宽下使用低成本的20ppm 的晶体时获得接近-140dBm 的灵敏度。与FSK 系统相比,使用同样低成本的晶体时这种新的扩频方式在灵敏度上改善了30dB,理论上相当于增加了5 倍的传输距离。通过降低速率获得最大传输距离和要求最长的电池寿命之间是相互冲突的。数据速率决定了空中传输时间,越高的传输速率,系统发射或接收将花费越少的时间。100kbps 的系统大约只需要50kbps 的系统的传输时间的一半。更快的速率可以使更多的节点在无竞争冲突下在同一区域共存,但这将降低接收灵敏度和传输距离。每一种接收机都会提供多种工作和休眠的模式,且不同模式下的功耗是不同的。各节点收发占空比将决定哪些模式会对功耗产生最大的影响。例如,如果一个节点频繁地处于接收状态,那接收电流就非常重要。同理,如果一个节点每天只发射一次,那睡眠电流就是最重要的因素。

为什么使用扩频

使用扩频可以减少误码率,即信噪比。就是扩频时的数据每一位都和扩频因子相乘。例如有一个1 bit需要传送,当扩频因子为1 时,传输的时候数据1 就用一个1 来表示,扩频因子为6 时(有6 位)111111,这111111 就来表示1,这样乘出来每一位都由一个6 位的数据来表示,也就是说需要传输总的数据量增大了6 倍。
这样扩频后传输可以降低误码率也就是信噪比,但是在同样数据量条件下却减少了可以传输的实际数据,所以,扩频因子越大,传输的数据数率(比特率)就越小。扩频因子越小,传输速率越大。
扩频因子还有另一个用途,那就是正交码(OVSF:OrthogonalVariableSpreadingFactor,正交可变扩频因子),通过OVSF 可以获得正交的扩频码,扩频因子为4 时有4 个正交的扩频码,正交的扩频码可以让同时传输的无线信号互不干扰,也就是说,扩频因子为4 时,可以同时传输4 个人的信息。
语音和数据业务传输的数率要求不一样,所以他们扩频因子不一样。

扩频因子 SpreadingFactor(SF)

扩频因子用途(信道代码:OVSFcodes)

上行:在同一 UE 进行多码道传输时,区分不同的物理信道;

下行:区分同一小区下的不同物理信道;

例如:
采用 LoRa 扩频传输技术433MHz 模块SX127x,传输距离与穿透能力相比于传统FSK,GFSK 等有0.5-0.8 倍的提升,每种可选速率选用不同的扩频因子,扩频因子降1,速率降低约一半。带宽增加一倍,速率相应增加约一倍,但扩频因子、速率、占用带宽并非完全线性比例关系:
可选速率/扩频因子/占用带宽:0.81K/10/125K,1.46K/9/125K,2.6K/8/125K,4.56K/7/125K,9.11K/7/250K,18.23K/7/500K。

dba793736d12c3e6805021ab9a964254.png

扩频通信的优点:1.发射功率密度低,不易对其他设备造成干扰。
2.保密性高,被截获的可能性极低。
3.抗干扰能力强,对同频干扰及各种噪声具有极强的抑制能力。
4.具有极好的抗多径衰落性能。

最后

以上就是如意棒棒糖最近收集整理的关于lora发射和接收原理_LoRa 的扩频技术LoRa 的扩频技术扩频概念及原理传输速率和距离 为什么使用扩频的全部内容,更多相关lora发射和接收原理_LoRa内容请搜索靠谱客的其他文章。

本图文内容来源于网友提供,作为学习参考使用,或来自网络收集整理,版权属于原作者所有。
点赞(188)

评论列表共有 0 条评论

立即
投稿
返回
顶部