·选用教材
工程经济学第五版 李南
·课程目标
工程经济学这门课程是软件工程专业学生的必修课,其主要目的需要我们学生(1)掌握工程经济学的基本概念、基本原理和基本方法;(2)能够运用工程经济学的基本原理、方法和技能,研究、分析和评价各种技术实践活动(如:投资方案的经济评价、设备更新的经济分析、价值工程分析等),为决策层选择能够获得满意的经济效益的技术方案提供科学依据。
第三章 资金的时间价值与等值计算
1.资金的时间价值
不同时间发生的等额资金在价值上的差别,称为资金的时间价值,如利润、利息。投资者看——资金增值;消费者看——对放弃现期消费的补偿
影响资金时间价值的因素:1)投资收益率2)通货膨胀率 3)项目风险
资金等值:在利率的作用下,不同时点发生的、绝对值不等的资金具有相等的经济价值。
2.利息、利率及其计算
在经济社会里,货币本身就是一种商品。利(息)率是货币(资金)的价格。
利息是使用(占用)资金的代价(成本),或者是放弃资金的使用所获得的补偿,其数量取决于
1)使用的资金量
2)使用资金的时间长短
3)利率
大量货币交易时,长的时间周期,高的利率,对资金价值的估计十分重要。
利率是银行根据国家的政治、经济形势及政策方针确定的,它可以反映国家在一定经济发展时期的经济状况及特色。利率的经济含义是每单位本金经过一个计息周期后的增值额。
2.1 单利法
仅对本金计息,利息不生利息。

2.2 复利法
当期利息计入下期本金一同计息,即利息也生息。

2.3 名义利率与实际利率
名义利率是计息周期的利率与一年的计息次数之乘积。
当利率的时间单位与计息周期不一致时,若采用复利计息,会产生名义利率与实际利率不一致问题。
名义利率r:计息期利率与一年内计息次数的乘积,则计息期利率为r/n。

例 本金1000元,年利率12%
每年计息一次,一年后本利和为
F=1000(1+12%)=1120
每月计息一次,一年后本利和为
F=1000(1+0.12/12)^12=1126.8
计算年实际利率
F=(1126.8-1000)/1000*100%=12.68
2.4 间断计息和连续计息
1.间断计息 可操作性强
计息周期为一定的时段(年、季、月、周),且按复利计息的方式称为间断计息。
2.连续计息 可操作性差

3.资金的等值计算
资金等值是指在考虑了时间因素之后,在不同时刻发生的数值不等的资金可能具有相等的价值。
1.决定资金等值的三要素
1)资金数额;2)资金发生的时刻;3)利率
2.几个术语
折现(贴现):把将来某一时点的资金金额换算成现在时点(基准时点)的等值金额的过程
现值:折现到计算基准时点(通常为计算期初)的资金金额
终值(未来值):与现值相等的将来某一时点上的资金金额现值和终值是相对的。两时点上的等值资金,前时刻相对于后时刻,为现值;后时刻相对于前时刻,为终值。
折现率:等值计算的利率(假定是反映市场的利率)
3.1 一次支付(整付)类型公式
整付:分析期内,只有一次现金流量发生;现值P与将来值(终值)F之间的换算
1.整付终值计算公式
已知期初投资为P,利率为i,求第n年末收回的本利和(终值)F。


2.整付现值计算公式
已知未来第n年末将需要或获得资金F ,利率为i,求期初所需的投资P 。


3.2 等额分付类型
“等额分付”的特点:在计算期内
1)每期支付是大小相等、方向相同的现金流,用年值A表示;
2)支付间隔相同,通常为1年;
3)每次支付均在每年年末。
1.等额分付终值计算公式
已知一个投资项目在每一个计息期期末有年金A发生,设收益率为i,求折算到第n年末的总收益F 。


2.等额分付偿债基金公式
已知F ,设利率为i,求n年中每年年末需要支付的等额金额A 。


3.等额分付现值计算公式
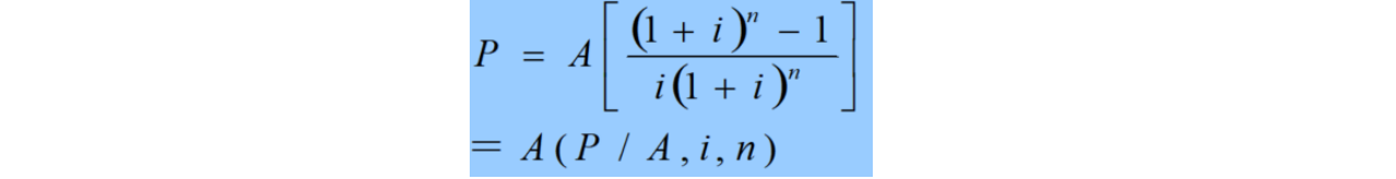
如果对某技术方案投资金额P,预计在未来的n年内,投资人可以在每年年末获得相同数额的收益A ,设折现率为i,问P是多少?


4.等额分付资本回收计算公式
已知一个技术方案或投资项目期初投资额为P,设收益率为i,求在n年内每年年末可以回收的等额资金A 。


最后
以上就是魁梧爆米花最近收集整理的关于工程经济学99分速成复习——第三章 资金的时间价值与等值计算的全部内容,更多相关工程经济学99分速成复习——第三章内容请搜索靠谱客的其他文章。
发表评论 取消回复